【导读】估计很多人已经等不及了,什么时候可以开始环路的分析。为了尽快进入到大家关心的部分,这一讲我们正式进入环路分析的部分——传递函数。
估计很多人已经等不及了,什么时候可以开始环路的分析。为了尽快进入到大家关心的部分,这一讲我们正式进入环路分析的部分——传递函数。
传递函数,简单的理解就是输入和输出之间的关系。为了方便我们仅仅对开关电源传递函数进行分析,传递函数的其他细节这里不做展开,我们只需要知道传递函数所表达的含义就行。
1.为什么要研究传递函数?
很多人可能会有疑问,研究环路稳定性研究传递函数干嘛,为什么要研究传递函数?
可以这样理解,通过传递函数可以知道这个系统对不同频率信号响应,而这些响应通过画出传递函数的波特图又能知道传递函数在某点频率的相位和增益。一个系统要稳定可靠,那就需要一定的相位裕度和增益裕度。所以呢,传递函数是我们用来分析开关电源环路是否稳定的工具。

从上面这个逻辑框图可以看出,只有传递函数可以将环路是否稳定不用仪器测量,单独靠计算就能得出结果的手段。
举个例子,在公司评定一个研发人员的技能水平的高低。这个比较抽象,但是公司有一套任职的机制,你符合这个机制,就能做对应的事,所以要把技能和岗位之间建立起联系就需要一个可以操作的,可以看得到的行为,那就是任职评审。

同理,开关电源环路稳定是否,我没法用眼睛看出来,除非是用仪器测试,但是我在不测试的情况下,判断是否稳定就需要计算整个传递函数的增益和相位。而传递函数的波特图刚好就能提供这两个参数,因此,就需要研究传递函数。
2.如何求解传递函数?
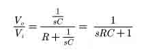
根据定义求解传递函数非常简单,比如简单的RC电路。

对单个简单的电路求传递函数在s域,使用电路基本定律就可以求解。分析这个电路是否稳定也比较简单,直接分析它的波特图,很明显是稳定的,这里就不做仿真了。

可是我们分析的开关电源并不是上面那么简单。电压控制模式的框图如下:

对于这样复杂的系统显然分析方法和前面的RC电路不一样,那我们怎么分析呢?
现在存在一个复杂的系统,内部包含了很多个环节,类似我们的开关电源系统。
分析这样复杂的系统有两种方法:
种是把系统当做黑盒处理,直接求解输出和输入的关系,这种思路在以前的学习中用的比较多,已知x点和y点的坐标数值,让我们求解x和y的关系,我们通过假定x和y存在某种函数关系,代入数值就能解出他们之间关系的表达式。
另外一种方法是把系统当做白盒处理,分析系统中每个部分,然后将每个部分进行叠加,这种方法相对复杂,但也是解决问题的一种思路。
因此,分析开关电源环路稳定性的精要所在就是求出开关电源系统的传递函数,直接求解没有思路,只能的求解,然后得到从输入到输出的传递函数。
针对上面的框图,传递函数可以表示成:

3.开关电源传递函数
要求开关电源系统的传递函数,需要先将整个系统划分为几个部分。按照上面分析的思路,求解每个部分的传递函数,整合就是终的传递函数。

针对电压控制模式的开关电源,我们按照电路的功能将其分为三个部分,分别是功率级,反馈级,控制级。下面的重点任务就是分析每个级的传递函数。这部分内容将在下篇文章中进行详细的讨论。
免责声明:本文为转载文章,转载此文目的在于传递更多信息,版权归原作者所有。本文所用视频、图片、文字如涉及作品版权问题,请联系小编进行处理。
推荐阅读:
复杂电源系统中的明星:数字化多路电源??榻唇嘎锻方?/span>





