桃花源qm花论坛(品茶),凤楼阁论坛官网入口网址,一品楼品凤楼论坛最新动态,风楼阁全国信息2024登录入口

你的位置:首页 > 电源管理 > 正文

如何绕制2.2uH高频线圈?

发布时间:2021-09-14 来源:卓晴 责任编辑:wenwei

【导读】首先选择适合通过高频大电流的Litz线,建议选择大于100股以上的Litz线。然后选择高频低损耗磁环,体积能够容得下绕制电感所需要的匝数。
 
01 如何自行绕制高频线圈
 
昨天有参加 全国大学生智能汽车竞赛[1] 中 无线节能赛题组[2] 的同学在公众号(TSINGHUAZHUOQING)提问:
 
问题1: 卓大大,为什么我们的 LCC[3] 充电把电容充满要一分半(90秒)?桌大大这是为什么?。?/div>
 
如何绕制2.2uH高频线圈?
▲ 图1 车模储能法拉电容
 
如何绕制2.2uH高频线圈?
▲ 图2 LCC补偿回路与接收线圈
 
如何绕制2.2uH高频线圈?
▲图3 接收线圈中的LCC补偿回路
 
问题2: 卓大大,如何自己绕一个2.2uH的线圈?
 
02 充电时间
 
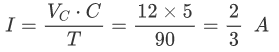
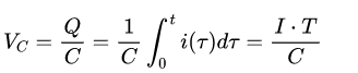
针对第一个问题,电容充电时间。根据电容特性可知,电容上的电压等于电容电荷Q除以电容容量:
 
如何绕制2.2uH高频线圈?
 
如果使用恒流如何绕制2.2uH高频线圈?充电,那么充电时间就等于如何绕制2.2uH高频线圈?。
 
根据所使用的电容,是由五个25F(2.7V)的电容串联形成5F(13.5V)的电容。如果充满电666需要一分半钟(90s),那么可以求得充电电流平均为:
 
如何绕制2.2uH高频线圈?
 
如何绕制2.2uH高频线圈?
▲ 储能电容为5个25F的电容串联
 
这说明充电电流太小了。如果使用在 火中取栗[4] 推文中的LCC补偿方案,达到5A的充电电流,则充满12V的电只需要12秒左右。
 
所以主要问题出现在你所制作的LCC的网络补偿中。
 
03 LCC补偿网络
 
从发送过来的照片来看,你使用了 粘贴铜箔制作了建议的实验电路[5] ,这是对的,不使用面包板[6] 进行测试是因为面包板不适合做大电流,高频率的电路测试。
 
那么影响LCC接收效果的主要原因可能包括:
 
●    LCC网络的参数计算;
●    制作LCC的器件容量,包括串联电感如何绕制2.2uH高频线圈?
●    肖特基整流桥器件,以及整流形式;
●    电路板的制作
 
首先,根据【图2】所显示的整流滤波电路,你采用的还是以前的 无线节能组[7] 的接收板,采用 倍压整流[8] 方式对接收电能进行整流。比起全桥整流来讲,倍压整流效率低,这个结论在 火中取栗[9] 中的测量结果得到验证。所以建议将接收电路修改成全桥整流。
 
第二部分就是检查LCC网络器件的的参数是否符合设定的150kHz下计算出的参数。如果参数不对,不仅会增加静态功耗,也会降低输出电流。建议根据 经过标定后的ESP32对于节能信标组充电过程测量[10] 设计方案给出的计算过程进行计算:
 
【表3-1 设计条件】
如何绕制2.2uH高频线圈?
【表3-2 参数计算】
如何绕制2.2uH高频线圈?
 
【表3-3 实际参数】
如何绕制2.2uH高频线圈?
 
04 绕制LCC电感
 
首先选择适合通过高频大电流的Litz线,建议选择大于100股以上的Litz线。然后选择高频低损耗磁环,体积能够容得下绕制电感所需要的匝数。
 
如何绕制2.2uH高频线圈?
▲ 用于测试的T106-2磁环
 
剩下就是需要确定绕制多少圈Litz。
 
根据 环形电感计算公式[11] :
 
如何绕制2.2uH高频线圈?
 
 ◎ 其中参数:
 
如何绕制2.2uH高频线圈?:电感量(H)
如何绕制2.2uH高频线圈?:感应系数
如何绕制2.2uH高频线圈?:匝数
 
感应系数如何绕制2.2uH高频线圈?本可以从购买到的高频电感数据手册中查到。如果没有查到,也可以通过实际测试获得。
 
比如使用多股软铜丝线先在磁环上绕制若干圈如何绕制2.2uH高频线圈?(比如10圈),然后测量对应的电感量:如何绕制2.2uH高频线圈?。那么该磁环的感应系数就可以计算出来:
 
如何绕制2.2uH高频线圈?
 
请注意,如果绕制的匝数不多,实际电感量还与绕制线圈在磁环上的分布密集与松散的情况有关系。
 
总结
 
制作一个良好的无线电能收割装置,需要从器件的参数、性能、制作工艺等各方面降低损耗,才能够将无线电能服服帖帖的装进储能法拉电容。
 
参考资料
 
[1]全国大学生智能汽车竞赛:
https://zhuoqing.blog.csdn.net/article/details/110253008
[2]无线节能赛题组:
https://zhuoqing.blog.csdn.net/article/details/115416126
[3]LCC:
https://zhuoqing.blog.csdn.net/article/details/113770750
[4]火中取栗:
https://mp.weixin.qq.com/s?__biz=MzA5NjQyNjc2NQ
&mid=2452239091&idx=1&sn=549a0cea01aa16bd8d16e86b3fad6235&chksm=876edc91b0195587e5efd4995c7e4dfd01f43442c05439e21c0c02aad9a431b45911ef37cb3b&token=723737018&lang=zh_CN#rd*
[5]粘贴铜箔制作了建议的实验电路:
https://zhuoqing.blog.csdn.net/article/details/112150112
[6]面包板:
https://zhuoqing.blog.csdn.net/article/details/106269740
[7]无线节能组:
https://zhuoqing.blog.csdn.net/article/details/104120694
[8]倍压整流:
https://baike.baidu.com/item/%E5%80%8D%E5%8E%8B%E6%95%B4%E6%B5%81/8610322?fr=aladdin
[9]火中取栗:
https://zhuoqing.blog.csdn.net/article/details/115434834
[10]经过标定后的ESP32对于节能信标组充电过程测量:
https://zhuoqing.blog.csdn.net/article/details/115437782
[11] 环形电感计算公式:
https://wenku.baidu.com/view/61d340583b3567ec102d8a9b.html
 
 
免责声明:本文为转载文章,转载此文目的在于传递更多信息,版权归原作者所有。本文所用视频、图片、文字如涉及作品版权问题,请联系小编进行处理。
 
推荐阅读:
 
LDO噪声揭秘
全球开启炙烤模式,没有“避暑三件套”电子设备该么办?
贸泽电子推出全新动态新闻中心
具备低电阻与轻薄特点的双电层电容器(EDLC/超级电容器)
高稳定性的汽车应用,为什么要选 WFM 系列检流电阻?

关闭

?

关闭