【导读】对于很靠近的两个色环电感之间的互感进行实验测量。发现了大体他们之间的互感系数在0.3左右。但令人感到奇怪的是,无论两个色环电感相互的极性如何,互感总是正的。具体现象见博文内容,但其中的道理何在呢?
§01 串联色环电感
在昨天的 色环电感外部磁场泄露[1] 测试中,初步探讨了使用色环电感作为天线放大器扼流圈负载的情况下,如何避免由于漏感引起的放大器磁耦合自激振荡的情况。在留言区中 佟超 给出了 一个非常有趣的建议:那就是利用两个色环电感局部电气串联在一起,但结构上并联在一起,并且极性相反,如此构成一个局部准磁环的结构,可以大大减少外漏的磁场量,同时在一定程度上也提高了电感的电感量。下面通过具体测量来检验这种连接方式对于两个电感最终的电感量、漏磁场的影响。

参与实验的两个色环电感
测试所使用的两个色环电感的参数,使用 NanoVNA[2] 测量电感在150kHz下的参数:
◎ 电感1的参数(@150kHz):
电感(uH):4158.6
串联电阻(Ω):213.16
品质因子Q:18.39
◎ 电感2的参数(@150kHz):
电感(uH):4116.91
串联电阻(Ω):212.17
品质因子Q:18.29
1.电感串联
将两个电感进行串联,在空间上它们可以呈现不耦合(相距很远),并行放在一起同相耦合和反向耦合。
(1)不耦合
◎ 串联电感的参数(@150kHz):
电感(uH):8479.51
串联电阻(Ω):648.05
品质因子Q:12.33

两个电感不耦合
(2)同相耦合
◎ 串联电感的参数(@150kHz):
电感(uH):11069.5
串联电阻(Ω):804.99
品质因子Q:12.96

两个电感串联同相耦合
(3)反向耦合
◎ 串联电感的参数(@150kHz):
电感(uH):10501.16
串联电阻(Ω):579.53
品质因子Q:17.08

两个电感串联,反向耦合
2.电感并联
(1)不耦合
◎ 串联电感的参数(@150kHz):
电感(uH):2029.75
串联电阻(Ω):75.46
品质因子Q:25.35

两个电感并联不耦合
(2)同相耦合
◎ 串联电感的参数(@150kHz):
电感(uH):1617.11
串联电阻(Ω):66.48
品质因子Q:22.92

两个电感并联,同相耦合
(3)反向耦合
◎ 串联电感的参数(@150kHz):
电感(uH):1640.01
串联电阻(Ω):62.91
品质因子Q:24.56

两个电感并联,反向耦合
3.结果总结
(1)电感测量表格
将上面的测量结果总结在下面的表格中。

(2)测量互感
根据 有互感的电感的串并联[3] 考虑带有互感的电感
串联,互感
,串联的电感为:
串联的电感为:

那么上面的测量结果来看,当两个电感靠在一起的时候,无论是他们的极性是相同,还是相反,所获得串联电感都是增加的。同样,对于并联,并联在一起,如果耦合在一起对应的电感也是降低了。因此,这里其中相互耦合M都是大于零的。
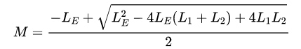
根据上面的测量值,可以测量在不同耦合下对应的两个电感之间的互感。串联互感计算公式:
并联互感计算公式:


可以看到放在一起的两个色环电感,他们之间的互感总是大于零的。这一点是很奇怪的。他们之间的互感系数大体在0.3左右。
※ 总结讨论 ※
通过实验验证了原来一直想知道的,当两个色环电感靠近在一起他们之间的互感大体为0.3左右。令人想不到的是, 无论两个电感的方向如何,他们之间的互感总是正的,而且大体在0.3左右。 。

靠近的两个电感之间的磁场
关于为什两个靠近的工字型的电感之间的互感总是正的?这一点还有点进一步的理解、探讨。谁能告诉我其中的道理呢?
参考资料
[1]色环电感外部磁场泄露: https://zhuoqing.blog.csdn.net/article/details/116858591
[2]NanoVNA: https://zhuoqing.blog.csdn.net/article/details/116295857
[3]有互感的电感的串并联: https://zhuoqing.blog.csdn.net/article/details/113498649
免责声明:本文为转载文章,转载此文目的在于传递更多信息,版权归原作者所有。本文所用视频、图片、文字如涉及作品版权问题,请联系小编进行处理。
推荐阅读:





