桃花源qm花论坛(品茶),凤楼阁论坛官网入口网址,一品楼品凤楼论坛最新动态,风楼阁全国信息2024登录入口

你的位置:首页 > 电源管理 > 正文

降低开关模式电源中EMI的常规方法和最新技术有哪些?

发布时间:2021-04-21 来源:德州仪器 责任编辑:lina

【导读】鉴于EMI可能在后期严重阻碍设计进度,浪费大量时间和资金,因此必须在设计之初就考虑EMI问题。开关模式电源(SMPS)是现代技术中普遍使用的电路之一,在大多数应用中,该电路可提供比线性稳压器更大的效率。
  
鉴于EMI可能在后期严重阻碍设计进度,浪费大量时间和资金,因此必须在设计之初就考虑EMI问题??啬J降缭?SMPS)是现代技术中普遍使用的电路之一,在大多数应用中,该电路可提供比线性稳压器更大的效率。但这种效率提高是有代价的,因为SMPS中功率金属氧化物半导体场效应晶体管(MOSFET)的开关会产生大量EMI,进而影响电路可靠性。EMI主要来自不连续的输入电流、开关节点上的快速压摆率以及由电源环路中寄生电感引起的开关边沿额外振铃。
 
图1以降压转换器拓扑为例,说明了不同频带下各个因素的影响。随着设计压力不断提升,通过提高开关频率来降低尺寸和成本,以及通过增大压摆率来提高效率,使EMI问题变得更加严重。因此,有必要采用不影响电源设计、同时具有成本效益且易于集成的EMI缓解技术。
 
降低开关模式电源中EMI的常规方法和最新技术有哪些?
图1:SMPS中的EMI源示例。
 
什么是EMI?
 
在要求电磁兼容性(EMC)的系统中,设计时应降低干扰源组件的干扰性和易受干扰的组件的敏感性。当终端设备制造商集成来自不同供应商的组件时,确保具有干扰性的组件和易受干扰的电路能够互不影响的唯一方法是建立一套共同的规则,其中,具有干扰性的组件的干扰性被限制在一定范围之内,使得易受干扰的电路能够在此范围内降低影响。 
 
这些规则是根据业界通用规范(如适用于汽车行业的国际无线电干扰特别委员会CISPR25和适用于多媒体设备的CISPR32)建立的。CISPR标准决定了任何EMI缓解技术的最终性能,因此对于EMI设计至关重要。由于SMPS是典型的电磁干扰源,因此本白皮书的重点是讨论如何减少此类干扰。
 
除了解给定应用的相应标准之外,了解如何测量EMI也很重要,这将帮助您深入了解如何降低EMI。EMI测量通常分为传导EMI测量和辐射EMI测量,顾名思义,这同时说明了EMI的测量方法和产生机理。尽管传导发射通常与较低的频率(<30MHz)相关,辐射发射通常与较高的频率(>30MHz)相关,但这两者之间的区别并不是那么简单,因为传导频率范围和辐射频率范围有所重叠。
 
传导发射测量旨在量化从器件产生并返回到其电源的EMI。对于许多应用而言,降低这些发射至关重要,因为同一电源线通常都连接着许多其他敏感电路。在现代汽车中,长线束的数量不断增加,因此降低长线束的传导EMI尤为重要。
 
图2显示了用于传导发射的通用测试设置,包括电源、线路阻抗稳定网络(LISN)、EMI接收器、电源线和被测器件(DUT)。LISN扮演着关键角色,可充当低通滤波器,确保EMI测量的可重复性和可比性,并为DUT提供精确的阻抗。图2还说明了将传导发射细分为共模(CM)电流和差模(DM)电流。DM电流在电源线与其返回路径之间流动,是较低频率范围内的主要因素。CM电流在每条电源线与接地之间流动,是较高频率范围内的主要因素。
 
降低开关模式电源中EMI的常规方法和最新技术有哪些?
图2:用于传导发射测量的通用测试设置,其中DM和CM环路分别以青色和红色突出显示。
 
辐射EMI测量的设置与传导EMI测量类似,主要区别在于前者的EMI接收器不是直接连接到LISN,而是连接到附近的天线。SMPS中的辐射能量来自产生磁场的快速瞬态电流环路以及产生电场的快速瞬态电压表面。由于产生辐射磁场的电流环路也产生DM传导发射,并且产生辐射电场的电压表面也产生CM传导发射,因此许多EMI缓解技术都可以降低传导发射和辐射发射,但可能专门针对其中一项。
通常,通过大型无源滤波器来缓解较低频率的发射,会增加解决方案的电路板面积和成本。高频发射在测量、建模和缓解方面面临着不同的挑战,这主要是其寄生性质导致的。常见的高频发射缓解技术包括控制压摆率和减小寄生效应。图3总结了本白皮书中包含的缓解技术、这些技术适用的频带以及CISPR25标准中的频率范围示例。
 
降低开关模式电源中EMI的常规方法和最新技术有哪些?
图3:EMI缓解技术汇总。
 
降低EMI的常规方法
 
当其他系统共享公共物理触点时,由SMPS中不连续电流产生的输入电压纹波可能会传导到这些系统中。如果没有适当的缓解措施,那么过大的输入或输出电压纹波可能会影响电源、负载或相邻系统的运行。过去,您可以使用基于无源电感电容器(LC)的EMI滤波器来显著减小输入纹波,如图4所示。LC滤波器可提供满足EMI规格所必需的衰减。代价是会使系统的尺寸和成本增大(具体取决于所需的衰减),这将降低总功率密度。此外,用于输入EMI滤波器设计的大型电感器会因其自谐振频率较低而在高于30MHz的频率范围内无法衰减,从而需要铁氧体磁珠等附加组件处理高频衰减。
 
降低开关模式电源中EMI的常规方法和最新技术有哪些?
图4:典型的用于降低EMI、基于LC的无源滤波器,以及实现的衰减。
 
缓解EMI的另一种传统方法是使用扩频(或时钟抖动)来调制SMPS的开关频率,这将降低与基本开关频率及其谐波相关的频谱峰值,但代价是使本底噪声增大,如图5所示。
 
降低开关模式电源中EMI的常规方法和最新技术有哪些?
图5:采用扩频技术和未采用扩频技术的SMPS频谱示例。
 
扩频是一项有吸引力的技术,因为它易于实现并且您可以将其与其他EMI降低方法结合使用。但该技术不是万灵药,因为它只能相对降低现有的EMI,并且根据其特性,其性能会在开关频率较低时降低。此外,您通常只能将扩频应用于单个频带,原因将在下一节中说明。
 
为了更大程度地减小滤波电感器的尺寸,您可以为SMPS设计选择更高的开关频率。不过,对于切换器操作,需避免使用敏感频带。例如,以前汽车电源解决方案的推荐开关频率一直处于AM以下频带(约400kHz)。通过选择较高的开关频率来显著减小电感器尺寸,意味着您必须避开整个AM频带(525kHz至1,705kHz),从而在更严格的汽车EMI频带上不会产生基本的开关杂散。
 
德州仪器(TI)开关转换器的开关频率高于1.8MHz,可以满足EMI频带的要求。为降低开关损耗而提高开关频率的措施对开关转换上升和下降时间的要求更为严格。不过,具有很短上升和下降时间的开关节点即使在接近第100次谐波的高频率下,也能保持较高的能量(如图6所示),这再次突出了高效率与低EMI之间的权衡。
 
降低开关模式电源中EMI的常规方法和最新技术有哪些?
图6:具有不同上升时间的方波的EMI图。
 
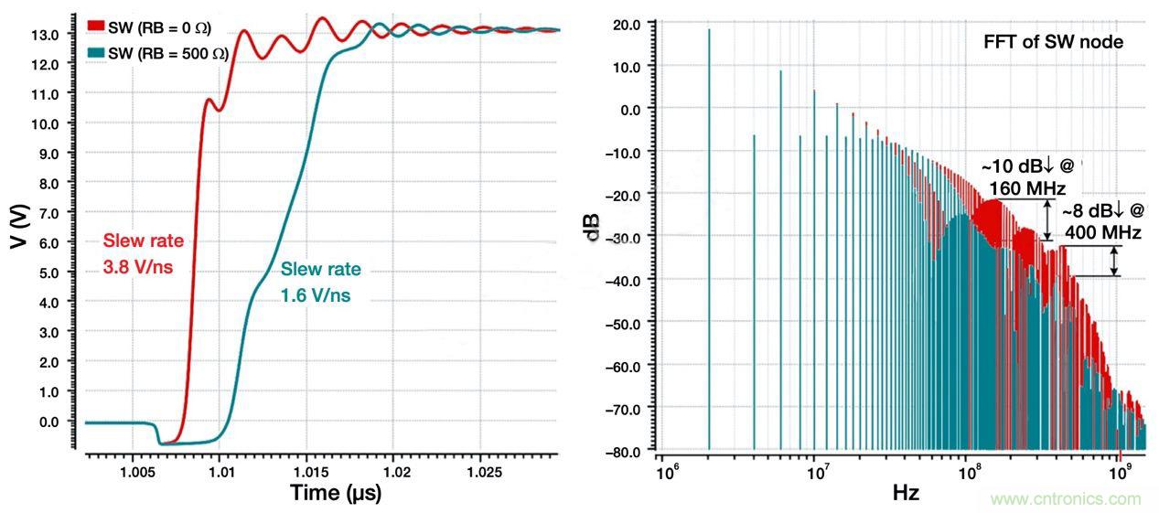
由于直流/直流转换器的电源路径中存在寄生电感,因此高压摆率还会导致高频率开关节点振铃,这进一步增加了振铃频率及更高频率下的发射。图7显示了压摆率和开关节点相关振铃如何影响发射。限制由开关转换引起的EMI发射的传统方法是,通过在开关器件的栅极驱动路径中特意添加电阻来降低EMI发射的速度。这导致转换发生得更慢,从而使发射更快地滚降,并且使发射在振铃频率下降低8至10dB。不过,这种开关边沿的减慢会导致开关转换器的峰值电流效率降低2%至3%。
 
降低开关模式电源中EMI的常规方法和最新技术有哪些?
图7:不同的开关节点压摆率和相关的振铃对高频发射的影响。更低的压摆率会影响30MHz至200MHz频带的EMI滚降,而更低的振铃会在约400MHz的振铃频率下影响EMI。
 
降低低频发射的创新技术
 
我们来看看TI在构建其转换器和控制器时使用的几种技术,这些技术可在效率、EMI、尺寸和成本之间实现基本平衡。
 
扩频
 
扩频技术利用能量守恒原理,通过将能量分散在多个频率上来减小EMI峰值。然而,敏感电路“面临”的峰值能量可能不会降低;它取决于敏感电路带宽和频率调制方式之间的关系。测量EMI时,频谱分析器属于敏感电路,而工业标准规定了分辨率带宽(RBW)。因此,以更有效的方式根据实际标准调制频率非常重要。一般的经验是,使调制频率fm约等于目标RBW,扩展带宽ΔfC约为±5%至±10%。图8在时域和频域中说明了这些参数。
 
降低开关模式电源中EMI的常规方法和最新技术有哪些?
图8:时域和频域中的扩频参数fm和ΔfC。
 
CISPR25等标准中通常将fm设置在9kHz左右以优化低频频带,这也恰好在可闻范围内。为了解决该问题,您可以通过假随机方式进一步实施三角调制,从而传播可闻能量,同时不会对传导和辐射EMI性能造成重大影响。
 
图9在时域和频域中说明了该调制曲线,这是同步降压/升压转换器TPS55165-Q1的一个特性。
 
降低开关模式电源中EMI的常规方法和最新技术有哪些?
图9:在每个调制周期结束时,通过假随机地调制三角波来降低可闻噪声。
 
EMI不限于单个频带(因此不限于单个RBW),而是存在于多个频带中,这就带来一个困境,因为扩频通常只针对单个频带进行改善。一种称为双随机扩频(DRSS)的数字扩频技术为这个问题带来了新的解决方案。DRSS的基本原理是叠加两条调制曲线,每条曲线针对不同的RBW。
 
图10显示了时域中的DRSS调制曲线,其中的三角形包络针对较低的RBW,而叠加的假随机序列针对较高的RBW。
 
降低开关模式电源中EMI的常规方法和最新技术有哪些?
图10:DRSS的时域调制曲线。
 
扩频技术适用于非隔离式和隔离式拓扑,因为两者的EMI源相似,扩频可提供相同的优势。
 
有源EMI滤波
 
为了显著改善低频频谱中的发射,LM25149-Q1降压控制器采用了有源EMI滤波方法。集成有源EMI滤波器通过充当有效的低阻抗分流器,可降低输入端的DM传导发射。图11显示了降压控制器的有源EMI滤波器如何连接到输入线。感应和注入引脚通过各自的电容器连接到输入端。有源EMI滤波器块中的有源元件会放大感应到的信号,并通过注入电容器注入适当的反极性信号来显著降低输入线上的总体干扰。这减轻了所需无源元件的过滤负担,从而减小了这些元件的尺寸、体积和成本。
 
降低开关模式电源中EMI的常规方法和最新技术有哪些?
图11:有源EMI滤波器,其中显示了感应和注入电容器以及用于补偿的组件。
 
图12显示了在400kHz开关频率下工作的降压转换器的EMI测量结果,其中比较了有源和无源EMI滤波方法。为了有效满足CISPR25 5类频谱屏蔽要求,无源EMI滤波器需要一个3.3μH DM电感器和一个10μF DM电容器。有源滤波方法通过一个仅1μH的DM电感器以及100nF的感应和注入电容器,可实现同样有效的衰减。这有助于将无源滤波器的尺寸和体积分别减小到原始值的43%和27%左右。对于大电流转换器,可以通过降低电感器直流电阻来进一步降低成本和提高效率。 
 
 
降低开关模式电源中EMI的常规方法和最新技术有哪些?
图12:针对12V输入、5V/5A输出降压转换器使用无源和有源滤波所实现的EMI衰减,并比较了这两种方法中的滤波用无源电感器。
 
消除绕组
 
与非隔离式转换器不同,跨越隔离边界的额外发射路径是导致隔离式转换器共模(CM)EMI的主要原因。图13显示标准反激式转换器中的隔离变压器存在寄生电容。CM电流可通过与每个开关节点关联的寄生电容从初级侧直接流入大地。CM电流还由于绕组之间的寄生电容而从初级侧流至次级侧,从而导致测量的CM EMI增大。通常,您可以通过在输入电源路径中使用较大的CM扼流圈来降低这种额外的干扰。
 
 降低开关模式电源中EMI的常规方法和最新技术有哪些?
图13:在反激式转换器中产生寄生效应的CM EMI。
 
为了帮助更大程度地减小无源滤波器件的尺寸,用于高功率密度5V至20V交流/直流适配器且采用硅FET的65W有源钳位反激式参考设计针对隔离式转换器采用了消除绕组和屏蔽的方法。如图14所示,一种经改进的内部变压器结构在内部初级层和次级层之间插入了一个额外的辅助绕组层(以黑色显示),以实现CM平衡。辅助CM平衡层屏蔽了内部的半初级层与次级层之间的界面,有助于生成消除CM电压,以消除来自外部半初级层的CM注入。通过均衡从辅助绕组和初级外层到次级层的寄生电容,可帮助消除从外部半初级层注入到次级层的CM电流(通过从消除层注入反相CM电流)。净效应(流入次级层的CM电流几乎为零)降低了CM发射,从而使用超少的CM滤波器件即可让设计满足EMI频谱标准要求。
 
降低开关模式电源中EMI的常规方法和最新技术有哪些?
图14:使用屏蔽和消除绕组来降低反激式转换器中的EMI。
 
降低高频发射的创新技术
 
到目前为止,我们介绍的EMI缓解技术通常可以减低低频发射(<30MHz),同时相应地减少了所需的无源滤波量,以及相关的尺寸、体积和成本。现在,让我们来看看旨在缓解高频发射(>30MHz)的技术。
 
HotRod™封装
 
降低高频发射的主要方法之一是更大程度地减小电源环路电感。HotRod封装翻转硅片并将其直接放置在引线框上,从而更大程度地减小由运行开关电流的引脚上的键合线引起的寄生电感。图15显示了HotRod封装的结构和优势。除改善电源环路电感之外,HotRod式封装还有助于降低电源路径中的电阻,从而提高效率并减小解决方案尺寸。
 
降低开关模式电源中EMI的常规方法和最新技术有哪些?
图15:标准QFN,带接合线,可电气连接至裸片(a);HotRod封装,引线框和裸片之间带有铜柱和倒装芯片互连(b)。
 
采用HotRod封装器件的另一项优势是,这些器件易于实现并行输入路径引脚排列(直流/直流转换器输入电容器的布局布置)。通过优化直流/直流转换器的引脚排列使输入电容器的布局对称,输入电源环路产生的反向磁场就会处于对称环路中,从而更大程度地降低对附近系统的发射。并行输入路径可进一步降低高频EMI,尤其是在更严格的FM频带中。
 
增强型HotRod™ QFN
 
增强型HotRod四方扁平无引线(QFN)封装可提供HotRod封装的所有EMI降低功能,并且具有开关
节点电容更低的额外优势,从而更大程度降低了振铃。与HotRod封装相比,在采用增强型HotRodQFN封装的器件中,输入电压(VIN)和接地(GND)引脚。
 
集成式输入旁路电容器
 
如前所述,由于更高的开关节点振铃,较大的输入电源环路会导致在高频频带上产生更高的发射。在器件封装内集成高频输入去耦电容器有助于更大程度地降低输入环路寄生效应,从而降低EMI。
 
有效的压摆率控制
 
尽管有上述技术,但在某些设计中,高频EMI(60MHz至250MHz)可能仍会超出指定的标准限制?;航夂吞岣咴6纫月阈幸当曜家蟮囊恢址椒ㄊ牵褂靡桓龅缱杵饔肟刈黄鞯淖跃俚缛萜鞔?。使用电阻器可以降低开关边沿的压摆率,从而降低EMI,但也会降低效率。
 
结束语
 
电子产品的快速发展为电源转换器的设计带来了巨大的压力,复杂的系统需要装入电源转换器越来越小的空间。各个敏感系统彼此靠近,难以抑制EMI。在设计电源转换器必须格外小心,以符合标准机构规定的限制,从而确保关键系统可以在充满噪声的环境中安全运行。
(来源:德州仪器,作者:Yogesh Ramadass,Ambreesh Tripathi,Paul Curtis)
 
免责声明:本文为转载文章,转载此文目的在于传递更多信息,版权归原作者所有。本文所用视频、图片、文字如涉及作品版权问题,请电话或者邮箱联系小编进行侵删。
 
 
推荐阅读:
【示波器旅行指南 | 工程师如何开启一场说走就走的旅行?】之二:惬意“乘机”不动怒
HARMAN全新JBL头戴式耳机采用 ams 自适应主动降噪技术,实现出色音频性能 
如何最小化 SEPIC 转换器的辐射干扰?
IP新锐芯耀辉突破多点DDR PHY技术瓶颈
高速ADC模拟输入接口必须考虑的6个条件
特别推荐
技术文章更多>>
技术白皮书下载更多>>
热门搜索

关闭

?

关闭