【导读】在本文第一部分,我们已说明了由漏电感带来的开关效应:有效占空比的减少,带来在主电源开关关断后次级二极管导通时间的延长和次级端电流的延迟。因此,输出电压低于原来的公式预测,在RCD钳位网络中的功率耗散增加。鉴于漏电感对工作波形的影响,研究其对反激式转换器小信号响应的影响是有趣的。但在我们进行小信号分析前,需要一个好的平均模型。
负载阶跃响应
第一部分介绍的逐周期模型如图1所示,现在包括一个可变负载。在这仿真中,负载范围将从8至6 不等,跨度为10 μs,同时记录输出。转换器运行在开环配置,我们会将漏电感从1 μH增加至50 μH,而其它工作参数保持不变(占空比40%)。

图1:这开环简化的反激式转换器将让我们探索由漏电感带来的影响
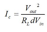
我们已采集图2中不同漏电感的输出电压。垂直刻度是每等分620 mV,对每一波形都相同,但偏移量有所改变以让所有曲线进入图中。第一个注释涉及到振铃。在几乎没有漏电感(1 μH)时,响应振铃和阻尼很轻。但负载电流的步幅不影响输出电压。随着漏电感增加,振铃开始减弱,振荡迅速停止,这时lleak = 50 μH。然而,漏电感越大,输出电压越低(从近20 V至17.6 V),静态电压下降幅度越大:近0 V时无漏电感,达400 mV时漏电感最大。从这快速仿真中,我们可观察到漏电感减弱瞬态响应,影响稳态输出电压(如第一部分所预测),也会降低输出阻抗。为探索漏电感对频率响应的影响,我们需要一个大信号模型然后线性化以给出转换器的小信号表达式。从这小信号模型中,我们应该能分析表达受漏电感影响的反激式转换器的控制-输出传递函数。

图2:不同的漏电感影响开环反激式转换器的几个参数
大信号模型
脉宽调制(PWM)开关本身就能很好地模拟一个反激式转换器。由Dr. Vatché Vorpérian于90年代提出,最简单的模拟一个工作于CCM模式的双开关电压模式DC-DC转换器的大信号响应和固定开关频率如图3 。该原理包括平均两个连接端之间的波形,“a”(有源)、“p”(无源)和“c”(共有的)以描述 一组连续时间的电流/电压等式。Vorpérian表明,配置如图3的电流和电压源相当于考虑将理想的直流变压器连接到终端 a-c-p,受匝数比d、占空比影响。

图3:不可能有比PWM开关模型更简单的了!
模型是不变的,说明它可替代其它DC-DC转换器,所有描述这PWM开关的等式保持不变。图3所示的模型是大信号版本。如果SPICE可提供这模型的小信号响应–因为SPICE是线性求解器,它将在运行仿真前将模型线性化–我们不能使用它的原型来确立控制-输出传递函数。我们需要PWM开关的线性化或小信号版本。如图4所示,您可看到通用架构,并看它如何转化为工作中的SPICE模型。对那些对PWM开关的进一步详细信息感兴趣的,有详尽介绍及大量工作实例。

图4:PWM开关的小信号版本使原型稍微复杂
请注意源包括几个与产品的直流和交流值相关的术语。例如,系列源B3表示为{Vap}除以{D},乘以V(d)。{Vap}代表端子“a”和“p”之间的稳态电压,而{D}是稳态占空比。这些都是固定参数,对应于一个工作点。例如,图3中降压转换器的{Vap}是Vin. d,占空比可以是在0和1 V(0至100%)之间的任意值。
图5显示了如何使用PWM开关模型仿真反激式转换器,它与特定变压器的等效比为1:d。框架电压是由仿真器计算出的偏置点。验证它们在适当的限度内很重要。有时结算器未能确定正确的操作点而是提供一个动态响应。这显然是个错误的结果,必须丢弃它,直到找到一个新的正确的操作点。从第一部分,我们知道CCM反激式转换器理想的(无漏电感)直流传递函数是
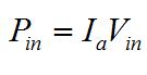
(1)这是原理图显示的整个负载电阻:我们的偏置点是正确的。现在我们有了大信号模型,我们可在图4 的基础上推出小信号应用。为此,我们需要计算几个固定参数,Vap和端子“c”的平均电流Ic。一旦您将PWM开关模型调整到适合反激式转换器结构,在端子“a”和“p”之间的电压Vap变为输入电压Vin减去反射电压Vout/N(忽略次级二极管Vf)。由于这电压是负数,我们有
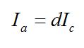
(2)端子“c”的电流是流过初级电感Lp的平均电流。导通或dTsw期间这电流的一部分在端子“a”循环,关断或 (1–d)Tsw期间流过端子“p”。图7显示端子“a”和“c”的典型的瞬时波形。根据图5中的应用原理图,端子“a”的平均电流也在输入源循环以产生Pin:
(3)

图5:PWM开关模型用于CCM反激式转换器的一个实际应用

图6:PWM开关模型的小信号版本仅需几个控制源。
由图7,我们可写
(4)将(4)代入(3),并考虑100%的能效(Pin= Pout),我们有
(5)因此
(6)
图7:端子“c”的电流是初级电感Lp电流。
此表达式按图5中的参数窗口计算出一个参数并传递给受控源(花括号之间的值)。我们现在可仿真并采集一个共用图中的所有曲线。我们在图8中绘制出来,所有曲线(幅值和相位)完全重合。这是一个CCM反激式转换器从占空比输入到输出的典型响应。谐振频率有个峰值,然后等效串联电阻(ESR)rc 降至零,接下来是右半平面(RHP)相位从0开始进一步下降。

图8:从3个不同模型(包括大信号模型、基于变压器的电路和线性化版本)得到的频率响应完全重合。
考虑漏电感
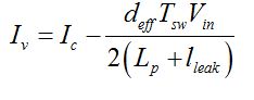
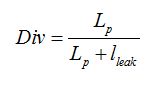
在图5中给出的平均模型,对模型施加的电压是Vin。这电压在dTsw期间偏置初级电感Lp。事实上,按第一部分,考虑漏电感,电压分于漏电感和初级电感之间,形成分压器Div:
(7)该模型的第一次升级是由Vin*Div替代Vin。第二次改变涉及占空比d。我们在第一部分已看到,占空比受漏电感磁化时间d1Tsw影响。平均模型的有效占空比需要反应这一事实,得出
(8)d1取决于漏电感值(忽略次级端二极管压降Vf)和谷底电流Iv
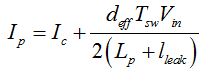
(9)为计算谷底电流,我们可回头看看图7,可看到谷底电流实际上是平均电流Ic减去初级电感纹波的一半:
(10)纹波电流是在ton或dTsw期间在串联的Lp和lleak施加Vin带来的偏移。因而谷底电流为
(11)峰值电流以类似方法得出,只不过这方法是Ic加上而不是减去电感纹波的一半
(12)在钳位网络循环的电流持续d2Tsw,漏电感复位时间。这时间当然取决于lleak,但还有反射电压Vout和钳位电压Vclp的因素。从第一部分我们已确定对应的占空比为
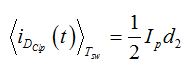
(13)图9代表了导通期间产生影响的各种电流。低边是电源开关电流,其上是漏电感电流。当开关关断,我们已看到电流几乎立即(忽略Clump充电时间)流入钳位网络并迅速降至0。此时,漏电感复位,次级电流达到峰值。

图9:在漏电感复位时间d2Tsw期间,电流在RCD网络循环。
因此在钳位二极管中循环的平均电流只是沿开关周期的小三角表面的平均值:
(14)因为Ip由(12)计算,我们可在(14)建模的电流源连接一个RC网络,将得到一个平均钳位电压。在SPICE中,这电压将用于确定如(13)描述的d2。这等式中的峰值电流取决于负载电阻的输出电压。这电压取决于如第一部分所见的d1。当您运行仿真,SPICE最终解出6-未知的/6-方程的系统,有时可能无法确定正确答案。为使它覆盖到正确的结果,.NODESET报告告知使用什么“种子(seed)”将有效地引导至正确的偏置点。这种子是我们建议在它运行前进行SPICE的钳位电压。最终的大信号模型出现在图10中。附加的指令行是.NODESET V(clp) = 300 V。
现在的工作包括比较从逐周期模型到更新的平均模型的负载阶跃响应。选定几个漏电感值,1 μH, 10 μH 和30 μH。由图11、图12和图13证实,在逐周期模型和平均模型之间的一致性极佳。这些图的左边显示大尺度响应,而右边显示放大版,证实平均模型与开关模型的曲线有多吻合。小的差异出现在钳位电压,特别在直流电平。此参数预测中的任何扩散导致了最终大的差异。图14比较了在两个模型中钳位二极管阴极观察到的电压。两条曲线吻合得很好,虽然小的偏差在这案例中产生了2.5%的误差。这误差随lleak增加而加大,但对于大的lleak值,误差保持在10%以内。

图10:更新的大信号模型现在包括漏电感的影响

图11:漏电感为1-μH时的瞬态响应

图12:漏电感为10-μH时的瞬态响应

图13:漏电感为30-μH时的瞬态响应

图14:平均模型的钳位电压(在钳位二极管的阴极上)与逐周期模型非常吻合(lleak= 1 μH)。
这些试验证实,受漏电感影响的大信号模型与逐周期模型十分吻合,因此可考虑用于线性化应用。
结论
在这第二部分,我们已看到漏电感如何影响反激式转换器工作于CCM的瞬态响应。采用PWM开关模型并考虑漏电感影响,我们能建立一个模拟逐周期模型的平均模型。这有助于证实我们的方案是正确的。它为第三部分作了铺垫,在第三部分中我们将推导出转换器的小信号响应。
免责声明:本文为转载文章,转载此文目的在于传递更多信息,版权归原作者所有。本文所用视频、图片、文字如涉及作品版权问题,请联系小编进行处理。
推荐阅读:


