桃花源qm花论坛(品茶),凤楼阁论坛官网入口网址,一品楼品凤楼论坛最新动态,风楼阁全国信息2024登录入口

你的位置:首页 > 电源管理 > 正文

智能车模电机驱动是否需要加制动电阻?

发布时间:2020-11-24 来源:卓晴 责任编辑:wenwei

【导读】制动电阻也称为动能制动电阻(dynamic braking resistor),它主要是将被制动的机械系统的机械动能耗散在功率电阻上以制动机械系统。为什么在某些伺服电机驱动器上有制动电阻?在智能车模电机驱动上是否也需要加制动电阻?
 
智能车模电机驱动是否需要加制动电阻?
 
制动电阻也称为动能制动电阻(dynamic braking resistor),它主要是将被制动的机械系统的机械动能耗散在功率电阻上以制动机械系统。
 
当由电机驱动的机械系统在制动状态时,此时电机就会转换成发电机,它将机械系统的制动力矩转换成电能。如果电机的驱动系统不具备逆变功能,即将电重新转换成一次能源回馈到电网,或者蓄电池内,那么只能通过功率电阻来消耗掉制动能量。否则这些能量无处可去,就会造成驱动电路内部过压,过流,损坏驱动电路。
 
智能车模电机驱动是否需要加制动电阻?
 
本质上讲,小型车模在减速制动的时候,车模的动能也需要被消耗掉,车模才能够停止。
 
车模动能消耗的途径包括有:模轮胎与地面的摩擦阻力、车模电机到车轮的传动阻力、电机吸收机械能转变成电能消耗在驱动电路中、转变成电能重新反充到车载电池中。
 
在一个车模轮子上增加有一个质量块,来模拟整车运行时惯性质量。通过齿轮上的光码盘可以测量车轮转速。下面通过实验可以看一下车轮减速时的情况。
 
 
智能车模电机驱动是否需要加制动电阻?
 
车模减速最简单的一种情况,就是不再给电机施加驱动电压。即将电机与驱动电路断开。如果电机驱动???/a>有使能端,将使能端至于紧致状态,驱动??槭涑龆丝诔氏指咦枳刺耸毕嗟庇诮缁拥缏分卸峡?。
 
车模的机械动能只能消耗在与地面的摩擦力以及传动系统的阻力中。一般情况下,摩擦阻力与速度无关,是一个常量,所以车轮减速加速度是一个恒定值。车速直线下降。
 
下图显示了电机从驱动电路断开之后,速度下降的情况。
 
智能车模电机驱动是否需要加制动电阻?
 
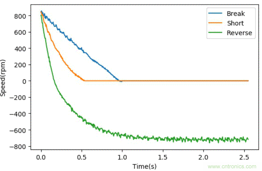
上图显示,电机近似匀速减速,经过大约1秒钟,速度减少到0。这是依靠车模内部机械摩擦力消耗动能,减速过程有点慢。
 
车模减速的第二种情况,就是讲电机驱动电压降至0,此时相当于将电机两端短路。电机转动所产生的反向感应电动势就会通过驱动电路形成回路,产生制动阻尼电磁力矩。
 
此时电机的动能,一部分就通过电机制动力矩转换成电能,消耗在驱动电路中。由于增加了电机制动力矩,车模停止速度就加快了。下图显示了电机驱动电压降低到0时,减速曲线,速度降低到0只需要0.5秒。
 
智能车模电机驱动是否需要加制动电阻?
 
由于电机制动电流与反向感应电动势成正比,也就是与转速成正比,所以电机制动力矩与速度成正比,呈现阻尼特性。速度下降不再是线性下降。
 
这种情况下,电机转子内阻、驱动电路功率管内阻就形成了制动电阻,消耗了所有电机制动发出的电能。由于车模质量比较小,这部分能量还不足以烧坏电机和驱动电路。如果车模质量进一步增大,这种制动方式就会出现危险。
 
好在车模比较小,所以为了进一步加快制动效果,还可以通过反向施加电压来提高电机制动力矩。下面是通过施加相同的反向电压,车模速度的变化情况。
 
智能车模电机驱动是否需要加制动电阻?
 
上图可以看出,车模的速度下降更快,从正转变为反转。如果是为了停止车模,则需要在车轮转速出现反转时停止施加反向电压,及时停止车模。
 
下图对比了以上三种制动方式:电机与驱动电路断开、电机驱动电压为0、施加反向电压。
 
智能车模电机驱动是否需要加制动电阻?
 
反向施加电压减速最快。在同样的转速下,施加反向电压只需要0.2秒左右就完成车模停止。
 
施加方向电压的大小与车模停止时间之间的关系如下图所示。一方面反向电压越大,车模停止时间越小。但当反向电压超过一定数值之后,停止时间就趋向于常数。这是由于电机内部的电感、电阻阻碍了制动电流快速增长的原因。
 
智能车模电机驱动是否需要加制动电阻?
 
上面三种方式制动,车模的动能都会消耗在摩擦阻力、电机内阻和驱动电路内阻中,不会产生再生电能反充到车模电池中。
 
如果希望将车模动能反充到电池中再利用,则需要制动时,将电机两端的驱动电压降低,但不到0,或者反向,此时电机的感应电动势就会通过驱动电路逆变电能,反充到驱动电路母线上。如果母线上有蓄电池,这部分电能将会反充到电池内。
 
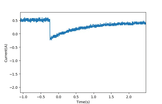
下面动图显示电机电压突然降低时,电机驱动电流变化。
 
智能车模电机驱动是否需要加制动电阻?
 
电机驱动电压突变时,电机电流也会都突变,基本上突变前期都是反向电流。如果电机驱动电压没有突变到0,或者反向,此时反向电流就会形成再生电能,反向回馈到驱动电路母线上。如果机械运动系统动能很大,再生电能就会很可观。
 
将再生电能重新逆变到电网,或者蓄电池中则可以节省能源。
 
智能车模电机驱动是否需要加制动电阻?
 
对于中小功率的伺服电机,为了减少设计成本,一般不包括逆变电路。所以只能将制动再生电能通过电阻消耗掉。
 
对于小型的车模,制动电阻也可以省略掉,直接使用电机内阻和驱动电路板内阻还消耗再生电能。
 
 
推荐阅读:
 
贸泽电子的欧姆定律计算器上线,节约您的设计时间
什么是JESD204标准,为什么我们要重视它?
电源技术创新的关键,贸泽携TI与Littelfuse与你大咖说
解除车企高质量发展“后顾之忧”,打造车载电子系统创新存储解决方案
ADC采样积分方式的BLDC方波无感控制的原理
要采购电机驱动??槊矗阏饫锪私庖幌录鄹?
特别推荐
技术文章更多>>
技术白皮书下载更多>>
热门搜索

关闭

?

关闭