桃花源qm花论坛(品茶),凤楼阁论坛官网入口网址,一品楼品凤楼论坛最新动态,风楼阁全国信息2024登录入口

你的位置:首页 > 电源管理 > 正文

移动电源设计如何通过EMI测试?

发布时间:2020-11-11 责任编辑:lina

【导读】设计一个移动电源的一个关键设计挑战是通过EMI测试,电子工程师经常担心EMI测试失败。若电路EMI测试多次失败,这将是一场噩梦。您将不得不夜以继日地在EMI实验室工作来解决问题,避免产品推出延迟。
   
设计一个移动电源的一个关键设计挑战是通过EMI测试,电子工程师经常担心EMI测试失败。若电路EMI测试多次失败,这将是一场噩梦。您将不得不夜以继日地在EMI实验室工作来解决问题,避免产品推出延迟。对于诸如移动电源的消费类产品,设计周期短,而EMI认证限制又严格,因此您想添加足够的EMI滤波器顺利通过EMI测试。但您又不想增加空间,也不想在电路方面增加过多成本,这似乎很难兼顾两者。
 
TIdesign低辐射EMI升压转换器参考设计(PMP9778)提供了这样一个解决方案。它可以支持2.7-4.4V输入电压、5V/3A、9V/2A和12V/1.5A的输出功率,且只适合移动电源应用程序。通过布置和布局的优化,此TI设计能获得的裕量比在EN55022和CISPR22B级辐射测试中高出6分贝。让我们来看看设计过程。
 
确定关键电流通路
 
EMI从电流变化(di/dt)循环的高瞬时速率开始。因此,我们应在设计之初就区分高di/dt关键路径。为了实现这些目标,了解开关电源中的电流传导路径和信号流是重要的。
 
图1所示为升压转换器的拓扑结构和临界电流路径。当S2闭合,S1打开时,交流电流流经蓝色环路。当S1闭合,S2打开时,交流电流流经绿色环路。因此,电流流经输入电容器Cin,且电感器L是一个连续电流,而电流流经S2、S1,且输出电容器Cout是脉动电流(红色环路)。因此,我们定义红色环路为临界电流路径。此路径具有最高的EMI能量。我们在布置期间,应尽量减少由它包围的区域。
 
移动电源设计如何通过EMI测试?
(图1.升压转换器的临界电流路径)
 
最小化高di/dt路径的环路面积
 
图2所示为TPS61088的引脚配置。图3所示为TPS61088临界电流路径的布局示例。NC引脚表示设备内部没有连接。因此,他们可连接到PGND。从电气角度讲,将两个NC引脚连接到PGND接地平面有利于散热,并能降低返回路径的阻抗。从EMI角度讲,将两个NC引脚连接到PGND接地平面使得TPS61088的VOUT和PGND平面更接近彼此。这使得输出电容的布置变得更容易。从图3可以看出,将一个06031-UF(或04021-UF)高频陶瓷电容COUT_HF尽可能靠近VOUT引脚可导致高di/dt环路的面积最小。
 
移动电源设计如何通过EMI测试?
(图2.TPS61088引脚配置)
 
移动电源设计如何通过EMI测试?
(图3.TPS61088关键路径布局示例)
 
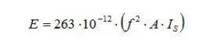
来自距接地平面10米距离的高di/di回路的最大电场强度可通过下面的公式计算:
 
移动电源设计如何通过EMI测试?
 
图4所示为使用和不使用COUT_HF的辐射EMI结果。在相同的测试条件下,辐射EMI通过COUT_HF改善了4dBuV/m。
 
(图4.带/不带COUT_HF的辐射EMI结果)
 
将一个接地平面置于关键路径下
 
高跟踪电感导致辐射EMI差。因为磁场强度与电感成正比。将固定接地平面置于临界跟踪的下一层上可以解决此问题。
 
表1给出了不同PCB板上的给定跟踪电感。我们可以看到,对于信号层和接地平面之间0.4mm绝缘厚度的四层PCB来讲,其跟踪电感比1.2毫米厚的2层PCB的跟踪电感小得多。因此将距离最短的固定接地平面置于关键路径是降低EMI的最有效的途径之一。
 
表1.跟踪电感(走线长度=5cm)
 
PCBh(mm)Wg(mm)L(nH)单层PCB----522层PCB1.2103.64层PCB0.4101.2
 
图5所示为2层PCB和4层PCB的辐射EMI结果。根据相同的布局和相同的试验条件,辐射EMI通过4层PCB可改善10dBuV/m。
 
移动电源设计如何通过EMI测试?
(图5.一个2层PCB和一个4层PCB的辐射EMI结果)
 
添加RC缓冲器
 
若辐射水平仍超过要求水平且布局不能再提高,则在TPS61088SW引脚添加一个RC缓冲器和电源接地有助于降低辐射EMI水平。RC缓冲器应放在尽可能接近开关节点和电源接地(图6)的位置。它可以有效地抑制SW电压环,这意味着在振铃频率条件下,辐射EMI得以改善。
 
移动电源设计如何通过EMI测试?
(图6.RC缓冲器的布置)
 
通过上述简单而有效的优化方式,良好的EMI性能在移动电源设计中成为可能。
 
 
免责声明:本文为转载文章,转载此文目的在于传递更多信息,版权归原作者所有。本文所用视频、图片、文字如涉及作品版权问题,请电话或者邮箱联系小编进行侵删。
 
 
推荐阅读:
交流输入端EMI滤波电路常见的组件
利用双向电源转换器和 PFC 来提高 HEV、BEV 和电网的能效
探索经济实用的低功耗蓝牙的优点
高速信号回流环路实际分析
如何解决电源常见应用问题--机壳开关电源篇
要采购缓冲器么,点这里了解一下价格!
特别推荐
技术文章更多>>
技术白皮书下载更多>>
热门搜索

关闭

?

关闭