桃花源qm花论坛(品茶),凤楼阁论坛官网入口网址,一品楼品凤楼论坛最新动态,风楼阁全国信息2024登录入口

你的位置:首页 > 电源管理 > 正文

如何实现高精度、快速建立的大电流源!

发布时间:2020-05-15 责任编辑:lina

【导读】电压控制型电流源(VCCs)广泛用于医疗器械、工业自动化等众多领域。VCCs 的直流精度、交流性能和驱动能力在这些应用中至关重要。本文分析了增强型 Howland 电流源(EHCS)电路的局限性,并阐述了如何利用复合放大器拓扑进行改进,以实现高精度、快速建立的±500 mA电流源。
 
电压控制型电流源(VCCs)广泛用于医疗器械、工业自动化等众多领域。VCCs 的直流精度、交流性能和驱动能力在这些应用中至关重要。本文分析了增强型 Howland 电流源(EHCS)电路的局限性,并阐述了如何利用复合放大器拓扑进行改进,以实现高精度、快速建立的±500 mA电流源。
 
增强型Howland电流源
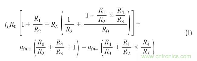
图1所示为传统的Howland电流源(HCS)电路,而公式1显示了如何计算输出电流。如果R2足够大,输出电流将保持恒定。 
 
如何实现高精度、快速建立的大电流源! 
图1.Howland电流源电路

如何实现高精度、快速建立的大电流源!
 
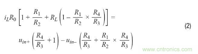
虽然较大的R2会降低电路速度与精度,但在反馈路由中插入一个缓冲器,形成一个增强型Howland电流源可以解决这一问题,如图2所示。所有通过R0的电流都流入RL。输出电流由公式2计算。
 
如何实现高精度、快速建立的大电流源!
图2.增强型 Howland 电流源电路。
 
如何实现高精度、快速建立的大电流源!
 
如果R1/R2 = R3/R4 = k,则该公式变为公式3。输出电流与负载无关,仅受输入电压控制。这是一个理想的VCCS。
 
如何实现高精度、快速建立的大电流源!
 
性能分析
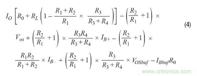
公式3基于一个理想系统。图3显示了EHCS的直流误差分析模型。VOS和IB+/IB–是主放大器的输入失调电压和偏置电流。VOSbuf和IBbuf是缓冲器的输入失调电压和偏置电流。总输出误差可以通过公式4计算。
 
如何实现高精度、快速建立的大电流源!
图3.失调电压计算。
 
如何实现高精度、快速建立的大电流源!
 
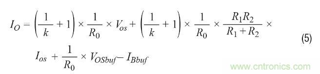
忽略增益电阻的不匹配,并考虑R1/R2 = R3/R4= k,R1//R2= R3//R4。输出失调电流取决于放大器的失调和偏置电流,如公式5所示。
 
如何实现高精度、快速建立的大电流源!
 
考虑R1/R2和R3/R4的不匹配,RL将会影响输出失调电流。最差相对误差如公式6所示。这个误差取决于RL/R0和k。减小负载电阻并提高k将减少失调误差。
 
如何实现高精度、快速建立的大电流源!
 
我们还可以计算电路的温度漂移,它来自放大器和电阻。放大器的失调电压和偏置电流随工作温度而变化。对于大多数CMOS输入放大器而言,温度每升高10℃,偏置电流便增加一倍。不同类型电阻的漂移变化很大。例如,碳膜电阻的TC约为1500 ppm/℃,而金属膜和体金属电阻的TC可能是1 ppm/℃。
 
选择精密放大器有利于输出电流的直流精度。然而,精密放大器的选择也存在许多局限性。其驱动能力和交流性能都不够好。表1列出了一些常见的精密放大器。
 
如何实现高精度、快速建立的大电流源!
表1.精密放大器参数
 
我们希望构建一个±500 mA的电流源,建立时间为1 μs。对于电流源,我们需要高驱动能力。对于还要具有快速建立时间的电流源,我们需要出色的交流性能。一般来说,精密放大器无法提供这两个规范的组合,因为其压摆率和带宽不够好。这需要从其他类型的放大器中进行选择。
 
EHCS 实现
ADA4870 是一款高速、高电压、高驱动能力的放大器。它可提供10 V至40 V电压,输出电流限制为1.2 A。大信号下的带宽超过52 MHz和压摆率高达2500 V/μs。所有这些规格使它很适合快速建立和大电流源。图4显示了基于ADA4870的EHCS电路,它通过10 V输入可生成一个±500 mA输出电流源。
 
如何实现高精度、快速建立的大电流源!
图4. 基于ADA4870的EHCS电路。
 
在交流规格中,我们更关心建立时间、压摆率、带宽和噪声。如图5 所示,建立时间约为60 ns,带宽约为18 MHz。输出电流压摆率可以 通过测量上升阶段和下降阶段的斜率来计算。正负压摆率分别为 +25 A/μs和–25 A/μs。输出噪声密度曲线显示了噪声性能,在1 kHz时 大约为24 nV/√Hz。
 
如何实现高精度、快速建立的大电流源!
图5. 基于ADA4870的EHCS建立时间和频率响应。
 
如何实现高精度、快速建立的大电流源!
图6. 基于ADA4870的EHCS输出噪声密度曲线。
 
由于输入失调电压和偏置电流较大,该电路的直流精度不高。表2显示了不同的直流误差源与贡献。主要的直流误差来自ADA4870的Vos和IB。典型输出电流失调约为11.06 mA,这相当于500 mA全程时2.21%左右的误差范围。
 
如何实现高精度、快速建立的大电流源!
表2. 基于ADA4870的EHCS直流误差
 
复合放大器技术
ADA4870这样的高驱动放大器的直流参数限制了输出电流的精度,而高精度放大器的速度又不够。为此,我们可以利用复合放大器技术在单个电路中集成所有这些特性。图7所示为一个复合放大器增强型Howland电流源(CAEHCS),它由ADA4870和ADA4898-2组成。
 
 
如何实现高精度、快速建立的大电流源!
图7.复合放大器EHCS电路。
 
选择ADA4898-2构成复合放大器是因为它具有出色的交流和直流性能。其-3 dB带宽为63 MHz。它在输出阶跃为5 V时的0.1%建立时间为90ns,压摆率可达55 V/µs。它还具有超低噪声。电压噪声密度为0.9 nV/√Hz,电流噪声密度为2.4 pA/√Hz。至于直流规格参数,它的性能表现也很好。典型输入失调电压为20 µV,温度漂移为1 µV/°C。偏置电流为0.1 µA。表3显示了CAEHCS的直流误差。输出电流失调降低至0.121 mA,这意味着误差范围在0.03%以下。
 
如何实现高精度、快速建立的大电流源!
表3.基于ADA4898的CAEHCS直流误差
 
CAEHCS的交流性能如表4所示。由于复合放大器的环路延迟,其建立时间和带宽均低于EHCS。由于ADA4898-2的电流噪声低,因此CAEHCS的输出噪声远低于EHCS的输出噪声。如数据手册中所标明的,ADA4870的反向输入电流噪声密度为47 pA/√Hz。通过使用几个kΩ级阻值的电阻,它将产生比电压噪声(2.1 nV/√Hz)高很多的噪声。然而,CAEHCS中的输入电流噪声密度为2.4pA/√Hz。它产生的输出噪声要低很多。
 
如何实现高精度、快速建立的大电流源!
表4.CAEHCS的交流规格
 
首先,CAEHCS大大提高了VCCS的直流精度,并具有同等驱动能力和交流性能。此外,可供选择的复合放大器产品很多,以满足不同的需求。表5显示了CAEHCS电路中不同放大器的性能。LT6275的交流性能最好。它的建立时间可达100 ns以内,压摆率高达15 A/µs。ADA4522-2等零漂移放大器非常适合输出电流失调误差约为0.002 mA的高精度应用。
 
如何实现高精度、快速建立的大电流源!
表5.CAEHCS中主放大器的选择
 
测试结果
基于ADA4898的EHCS和CATHCS的性能如表6和图8所示。
 
如何实现高精度、快速建立的大电流源!
表6.EHCS与CAEHCS的比较
 
如何实现高精度、快速建立的大电流源!
图8.ADA4898-2(CH1-输入、CH2-输出)的建立时间。
 
CAEHCS电路具有比EHCS电路好很多的直流规格。其输出电流失调为0.2 mA,而EHCS电路的输出电流失调为10.9 mA。CAEHCS电路也具有很好的交流规格。两者的建立时间均为100 ns。EHCS电路的带宽为18 MHz,而CAEHCS电路的带宽为8 MHz。
 
基于ADA4522-2和LT6275的CAEHCS性能如表7所示。
 
如何实现高精度、快速建立的大电流源!
表7.CAEHCS中不同主放大器的测试结果
 
ADA4522-2版本的输出失调误差更低,低至0.04 mA。LT6275的建立时间约为60 ns,输出电流压摆率高达16.6A/µs(如图9所示)。
 
如何实现高精度、快速建立的大电流源!
图9.LT6275(CH1-输入、CH2-输出)的建立时间。
 
散热考虑
VCCS的输出电流可以达到几百毫安。整体功耗可达几瓦。如果输出效率不高,器件的温度将快速上升。ADA4870不使用散热器时的热阻(θJA)为15.95℃/W。温升可采用公式7计算。
 
如何实现高精度、快速建立的大电流源!
 
R0的取值将影响ADA4870的功耗。表8显示了在±20 V电源电压下选择不同R0值的温升。当选用较大的R0时,温升会大大降低。因此,建议使用较大的R0以降低温升。
 
如何实现高精度、快速建立的大电流源!
表8.ADA4870的功耗和温升与R0的关系(Io = 500 mA)
 
结论
CAEHCS电路将高驱动放大器和高精度放大器相结合,可在VCCS应用中提供出色的交流和直流性能以及大输出容量。建议在此电路中将 ADA4870 与 ADA4898、LT6275和ADA4522结合使用。
如何实现高精度、快速建立的大电流源!

(来源:亚德诺半导体)
 
 
免责声明:本文为转载文章,转载此文目的在于传递更多信息,版权归原作者所有。本文所用视频、图片、文字如涉及作品版权问题,请联系小编进行处理。
 
 
推荐阅读:
干货 | 量子雷达的概要
碳膜电阻器和金属膜电阻器的区别
这款人气爆棚的测温模拟前端,你想不想了解一下?
详解超低功耗MCU+BLE解决方案
晶体管的微缩问题
特别推荐
技术文章更多>>
技术白皮书下载更多>>
热门搜索

关闭

?

关闭