【导读】SEPIC是一种流行的结构,常用于输出电压必须小于或大于输入的应用,不会像采用Buck-Boost转换器那样损失极性。SEPIC可采用耦合或非耦合电感工作在连续导通模式(CCM)或非连续导通模式(DCM)。[9]中谈讨了耦合电感的好处,这里不作讨论。
03 工作于DCM的带耦合电感的SEPIC
SEPIC是一种流行的结构,常用于输出电压必须小于或大于输入的应用,不会像采用Buck-Boost转换器那样损失极性。SEPIC可采用耦合或非耦合电感工作在连续导通模式(CCM)或非连续导通模式(DCM)。[9]中谈讨了耦合电感的好处,这里不作讨论。
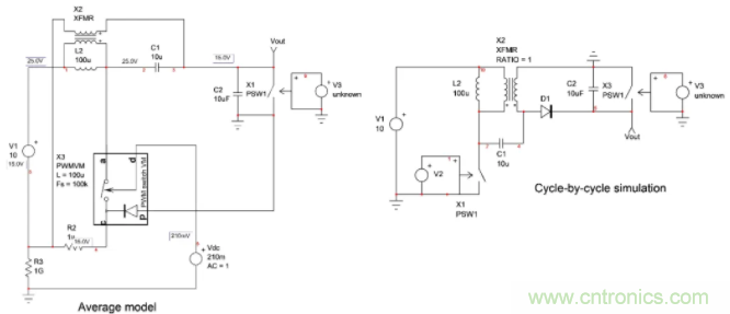
我们的兴趣在于确定耦合电感的SEPIC 在工作于DCM时的输出到控制的传递函数。图11代表[10]中所述的自动切换电压控制模式的PWM开关和采用一个SEPIC配置的连接。特意减少载荷以强制实施DCM。在启动序列完成后施加一个临时步骤。在类似的工作条件下捕获并仿真一个逐周期电路。

图11:第一个SEPIC采用平均模型,而右边第二个实施逐周期法。
Cycle-by-cycle simulation:逐周期仿真
Average model:平均模型
运行一个仿真来比较两个电路的输出响应。如图12所示,两个电路的响应非常相近。曲线的左边描述了启动序列,右边部分显示了两个模型对负载阶跃的响应。在这一阶段具有相同的响应第一次表明平均大信号模型正确地仿真SEPIC内部,我们可进行小信号版本。
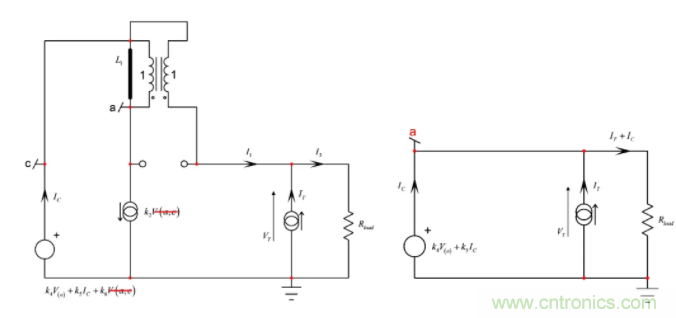
DCM PWM开关的大信号模型由(10)中推导出的小信号版本所代替,与[5]中描述的不同。两个模型得出了相同的分析,但Vorpérian博士在[5]中考虑的是一个常见的配置(C端是接地的),而我为了建立一个自动切换的DCM-CCM模型,保留了原普通无源配置。采用DCM PWM开关的小信号模型更新的电路图如图13所示。右边的参数列表计算分析所需的所有系数k。

图12:平均模型与逐周期模型的瞬态响应完全符合。

图13:这是工作在DCM模式的SEPIC的小信号模型。节点d1是占空比偏差和注入点。所有小信号系数都自动出现在参数窗口。
Parameters:参数
04 确定准静态增益
为了确定准静态增益,您需要照图2使所有电感短路,所有电容开路。这正是SPICE在计算工作偏置点时所做的工作。然后重新排列所有的源和组件以简化电路,使其更易于分析。
当您做这工作时,我建议您始终运行一个全面的检查,确定新电路的动态响应与图13完美匹配。任何偏差都表明您出了错,或者简化中的假设过于乐观:重复该做法直到幅值和相位完美匹配为止。组合出图14的电路。

图14:这是用来确定准静态增益H0的最终的直流电路。
几行代数将使我们得到输出电压表达式:
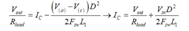
(20)
(21)将(20)中的Ic代入(21)并求解Vout。您应该得出
(22)该小信号准静态增益简单地表示为
(22)05 时间常数的确定
我们将采用FACTs并单独确定电路的时间常数,而不是用图13的完整原理立刻求解整个传递函数。这种方法提供了一个优势,以处理您通过对单个草图的SPICE仿真获得的结果。这大大有助于逐步前进和跟踪错误,而不至于在大量的工作时间后才发现最终的结果是错误的!
为了确定时间常数,将激励源减为0(请检查图2)。在此,由于我们想要控制到输出的传递函数,激励源是d1。将其减为0有助于简化电路,如图15所示。

图15:将激励源减为0有助于简化电路。在此我们从驱动电感L1的阻抗开始。
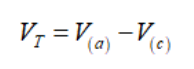
我们可以用几个公式来描述这个电路,我们知道IC=IT:
(26)
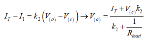
(27)您将(26)代入(27)然后解出V(c)。替代(26)中的V(c)解得V(a)。然后可写:
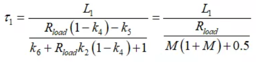
(28)如果您重新排列和由图13的定义替换系数k,得出时间常数t1的定义:
(29)二阶时间次常数指的是从C2端看到的阻抗,而L1是短路的。新的电路如图16所示。由于L1短路,a和c端在一起,简化更新的电路为右边的图片。

图16:使电感短路真正简化电路。
再一次,几个简单的方程会很快地让您得出结果:
(30)将(30)代入(31),然后解得VT并重新整理。您应该发现:
(31)如果您知道试图确定涉及C3的三阶时间常数,变压器配置(完美耦合)使其两端电压等于0V:在动态传递函数中电容器不起作用。因此第一个系数b1定义为
(32)参考文献
1. R. D. Middlebrook, Methods of Design-Oriented Analysis: Low-Entropy Expressions, Frontiers in Education Conference, Twenty-First Annual conference, Santa-Barbara, 1992.
2. R. D. Middlebrook, Null Double Injection and the Extra Element Theorem, IEEE Transactions on Education, Vol. 32, NO. 3, August 1989.
3. V. Vorpérian, Fast Analytical Techniques for Electrical and Electronic Circuits, Cambridge University Press, 2002.
4. C. Basso, Linear Circuit Transfer Functions – An Introduction to Fast Analytical Techniques, Wiley, 2016.
5. V. Vorpérian, Simplified Analysis of PWM Converters Using the Model of the PWM Switch, Parts I and II, Transactions on Aerospace and Electronics Systems, vol. 26, no. 3, May 1990.
6. D. Feucht, Design-Oriented Circuit Dynamics, http://www.edn.com/electronics-blogs/outside-the-box-/4404226/Design-oriented-circuit-dynamics
7. D. Peter, We Can do Better: A Proven, Intuitive, Efficient and Practical Design-Oriented Circuit Analysis Paradigm is Available, so why aren''t we using it to teach our Students?,
http://www.icee.usm.edu/ICEE/conferences/asee2007/papers/1362_WE_CAN_DO_BETTER__A_PROVEN__INTUITIVE__E.pdf
8. C. Basso, Fast Analytical Techniques at Work with Small-Signal Modeling, APEC Professional Seminar, Long Beach (CA), 2016, http://cbasso.pagesperso-orange.fr/Spice.htm
9. J. Betten, Benefits of a coupled-inductor SEPIC, slyt411, application note, Texas-Instruments.
10. C. Basso, Switch-Mode Power Supplies: SPICE Simulation and Practical Designs, McGraw-Hill, 2nd edition, 2014.
11. D. Maksimovic, R. Erickson, Advances in Averaged Switch Modeling and Simulation, Power Electronic Specialist Conference Professional Seminar, Charleston, 1999
推荐阅读:


