【导读】以下将主要讨论如何在保证产品性能的前提下,减小开关电源电感的尺寸(所占据的PCB面积和高度),以及在对开关电源进行布局布线时应注意的问题和遵循的原则。
开关电源(SMPS, Switched-Mode Power Supply)是一种非常高效的电源变换器,其理论值更是接近100%,种类繁多。按拓扑结构分,有Boost、Buck、Boost-Buck、Charge-pump等;按开关控制方式分,有PWM、PFM;按开关管类别分,有BJT、FET、IGBT等。本次讨论以数据卡电源管理常用的PWM控制Buck、Boost型为主。
开关电源的主要部件包括:输入源、开关管、储能电感、控制电路、二极管、负载和输出电容。目前绝大部分半导体厂商会将开关管、控制电路、二极管集成到一颗CMOS/Bipolar工艺的电源管理IC中,极大简化了外部电路。
其中储能电感作为开关电源的一个关键器件,对电源性能的好坏有重要作用,同时也是产品设计工程师重点关注和调试的对象。随着像手机、PMP、数据卡为代表的消费类电子设备的尺寸正朝着轻、薄、小巧、时尚的趋势发展,而这正与产品性能越强所要的更大容量、更大尺寸的电感和电容矛盾。因此,如何在保证产品性能的前提下,减小开关电源电感的尺寸(所占据的PCB面积和高度)是本文要讨论的一个重要命题,设计者将不得不在电路性能和电感参数间进行折中(Tradeoff)。
任何事物都具有两面性,开关电源也不例外?;档腜CB布局布线设计不但会降低开关电源的性能,更会强化EMC、EMI、地弹(grounding)等。在对开关电源进行布局布线时应注意的问题和遵循的原则也是本文要讨论的另一重要命题。
一、开关电源占空比D、电感值L、效率η公式推导
Buck型和Boost型开关电源具有不同的拓扑结构,本文将使用如图1-1、1-2所示的电路参考模型[1]:

参考电路模型默认电感的DCR(Direct Constant Resistance)为零。

Buck/Boost型开关电源,伴随开关管的开和关,储能电感的电流波形如图1-3所示:

从图中可以看到,电感的电流波形等价于在直流I(DC)上叠加一个I(P-P)值为ΔI的交流。因而,I(DC)成为输出电流I(O),主要消耗在负载上;交流ΔI则消耗在负载电容的ESR(Equation Serial Resistance)上,成为输出纹波V(ripple)。
所以,

下面以Buck型开关电源为例推导占空比、电感值和效率公式。

在一个连续模式的周期内,开关管闭合,对电感进行充电,根据基尔霍夫定律有:

dt近似为:D/f(D:一个振荡周期T内开关管ON/OFF的状态的比例关系,T=1/f,dt=D*T=D/f); D:占空比是高电平所占周期时间与整个周期时间的比值)
展开:

其中:iV为输入电压,SWV为开关管电压,oV为输出电压,SWf为开关频率,D为占空比。
在一个连续模式的周期内,开关管打开,电感放电,根据基尔霍夫定律有:

r也叫电流纹波比,是纹波电流与额定输出电流之比。对于一个给定Buck型开关电源,
此值一般为常量。从(5)式可以得到:电感值越大,I?就越小,因此r就越小。但这往往导致需要一个很大的电感才能办到,所以绝大部分的Buck型开关电源选择r值在0.25~0.5之间。
将(6)代入(5)式,得到:

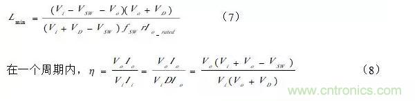
至此,我们推导出了Buck型开关电源的
从(4)式可以看到,占空比只与V(i)、V(o)、V(sw)和V(D)相关,可以很容易搭建电路计算出D,这也是开关电源控制器的核心电路之一,但对开关电源的应用者来说,我们可以不关心。
从(8)式可以看出,开关电源的效率也只与V(i)、V(o)、V(sw)和V(D)相关。事实上V(sw)和V(D)是开关频率f(sw)的函数,所以也是f(sw)的函数,但并不能保证f(sw)越高,就越高。
而对于一个给定的Buck型开关电源,其SWf是确定的,所以也就是定值,尤其在忽略V(sw)和V(D)后,值为1。很明显这与实际情况不符,根本原因就在于“参考模型假定储能电感为理想电感”。
把(5)式代入(1)式,可以得到:

所以,可以通过选用大电感,低ESR大容量输出电容的方法减小输出纹波电压。
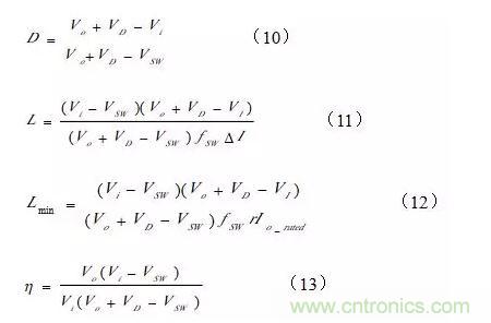
同理,可以推导出了Boost型开关电源的D、L、minL,如下所示:

二、电感最小值选取
公式(7)、(12)分别给出了通用的Buck和Boost型开关电源的电感最小值选取公式。
对像手机、PMP、数据卡这类的消费类电子用到的低功率开关电源,V(sw)和V(D)都在0.1V~0.3V之间,因此可对公式(7)、(12)进行简化,得到:

以PM6658的Buck电源MSMC为例,V(i)为3.8V,V(o)为1.2V,r为0.3,f(sw)为1.6MHz,I(o_rated)为500mA则L(min)为3.08uH。若选用的电感容差为20%,1.25*L(min)=3.85uH。据计算值最近的标准电感值为4.7uH,所以PM6658 spec推荐的最小电感值就是4.7uH。
三、电感参数选取
除了上面讲的感值和容差(Tolerance)外,电感还有以下重要参数:自激频率
(Self-resonant frequency,f(o)),R(DC),饱和电流(Saturation current,I(sat))和均方根电流(RMS current,I(RMS))。尽管参数很多,但准则只有一条:尽量保证f(sw)下电感的阻抗最小,让实际电路和理想模型吻合,降低电感的功耗和热量,提高电源的效率。
3.1 自激频率f(o)
理想模式的电感,其阻抗与频率呈线性关系,会随频率升高而增大。实际电感模型如图3-1-1所示,由电感L串联R(DCR)和寄生电容C并联而成,存在自激频率f(o)。频率小于f(o)时呈感性,大于f(o)时呈容性,在f(o)处阻抗最大。

经验值:电感的自激频率f(o)最好选择大于10倍开关频率f(sw)。
3.2 直流电阻R(DCR)
电感的直流电阻R(DCR)自身会消耗一部分功率,使开关电源的效率下降,更要命的是这种消耗会通过电感升温的方式进行,这样又会降低电感的感值,增大纹波电流和纹波电压,所以对开关电源来讲,应根据芯片数据手册提供的DCR典型值或最大值的基础上,尽可能选择DCR小的电感。
3.3 饱和电流I(SAT)和均方根电流I(RMS)(电感烧毁问题)

电感的饱和电流I(SAT)指其感值下降了标称值的10%~30%所能通过的最大电流。如图3-3-2所示,4.7uH电感下降为3.3uH时的电流约为900mA,因此其I(SAT)(30%)是900mA。

电感的均方根电流I(RMS)指电感温度由室温25℃上升至65℃时能通过的均方根电流。
I(SAT)和I(RMS)的大小取决于电感磁饱和与温度上升至65℃的先后顺序。
当标称输出电流大于I(SAT)时,电感饱和,感值下降,纹波电流、纹波电压增大,效率降低。因此,电感的I(SAT)和I(RMS)中的最小值应高于开关电源额定输出电流的1.3以上。
四、电感类型选取
在明确了最小电感值的计算和电感参数的选取后,有必要对市面上一些流行的电感类型
做比较分析,下面会围绕:大电感和小电感、绕线电感和叠层电感、磁屏蔽电感和非屏蔽电感进行对比说明。
4.1 同尺寸下的大电感和小电感
这里“同尺寸”指电感的物理形状大致相同,“大小”指标称容量不同。一般小容量的电感具有如下优势:
较低的DCR,因此在重载时会有更高的效率和较少的发热;
更大的饱和电流;
更快的负载瞬态响应速度;
而大容量的电感具有较低的纹波电流和纹波电压,较低的AC和传导损失,在轻载时有较高的效率。图4-1-1所示是Taiyo Yuden三种 2518封装不同容量大小的电感负载电流跟效率的关系曲线。

4.2 绕线电感和叠层电感
相比于绕线电感,叠层电感具有如下优势:
较小的物理尺寸,占用较少的PCB面积和高度空间;
较低的DCR,在重载时有更高的效率;
较低的AC损失,在轻载时有更高的效率;
但是,叠层电感的SATI也较小,因此其在重载时会有较大的纹波电流,导致输出的纹波电压也相应增大。图4-2-1所示是Taiyo Yuden的两种绕线电感与三星的两种叠层电感负载电流和效率的关系曲线。

4.3 磁屏蔽电感和非屏蔽电感
非屏蔽电感会有较低的价格和较小的尺寸,但也会产生EMI。磁屏蔽电感会有效屏蔽掉EMI,因此更适合无线设备这样EMI敏感的应用,此外它还具有较低的DCR。
五、电感选取总结
根据前面几节内容的介绍,我们可以按照以下步骤选择适合的电感:
(1) 计算L(min)和推荐电感参数:f(o)、R(DC)、I(SAT)、I(RMS);
(2) 在保证(1)的前提下,依据物理尺寸要求和性价比,折中选择:大电感还是小电感,叠层电感还是绕线电感,磁屏蔽电感还是非屏蔽电感。
六、开关电源布局

以Buck电路为例,不管开关管是由闭合-打开还是打开-闭合,电流发生瞬变的部分都如图(c)所示,它们是会产生非常丰富的谐波分量的上升沿或下降沿。通俗的讲,这些会产生瞬变的电流迹线(trace)就是所谓的“交流”(AC current),其余部分是“直流”(DC current)。当然这里交直流的区别不是传统教科书上的定义,而是指开关管的PWM频率只是“交流”FFT变换里的一个分量,而在“直流”里这样的谐波分量很低,可忽略不记。所以储能电感属于“直流”也就不奇怪,毕竟电感具有阻止电流发生瞬变的特性。因此,在开关电源布局时,“交流”迹线是最重要和最需要仔细考虑的地方。这也是需要牢记的唯一基本定律(only basic rule),并适用于其它法则和拓扑。下图表示了Boost电路电流瞬变迹线,注意它和Buck电路的区别。

1inch长,50mm宽,1.4mil厚(1盎司)的铜导线在室温下的电阻为2.5mΩ,若流过电流为1A,则产生的压降是2.5mV,不会对绝大部分IC产生不利影响。然而,这样1inch长的导线的寄生电感为20nH,由V=L*dI/dt可知,若电流变化快速,可能产生很大的压降。典型的Buck电源在开关管由开-关时产生的瞬变电流是输出电流的1.2倍,由关-开是产生的瞬变电流是输出电流的0.8倍。FET型开关管的转换时间是30ns,Bipolar型的是75ns,所以开关电源“交流”部分1inch的导线,流过1A瞬变电流时,就会产生0.7V的压降。0.7V相比于2.5mV,增大了近300倍,所以高速开关部分的布局就显得尤为重要。
尽可能地把所有外围器件都紧密地放在转换器的旁边,减少走线的长度会是最理想的布局方式,但限于极其有限的布局空间,实际往往做不到,因此有必要根据瞬变压降的严重程度按优先级顺序进行。对Buck电路,输入旁路电容须尽可能靠近IC放置,接下来是输入电容,最后是二极管,采用短而粗的迹线将其一端与SW相连,另一端与地相连。而对Boost电路布局来说,则是按输出旁路电容,输出电容和二极管的优先级顺序进行布局。




