【导读】电感在开关电源中发挥着重要作用,本文ROHM将为大家介绍电感的选型方法。
电感:L1
电感L1如电路图所示,由输出电容器C5和LC滤波器共同组成。L1电感值的设置要使设备在不连续模式下工作。这是因为如果以连续模式工作,二极管的反向恢复时间、trr间的反向电流会导致二极管的损耗増加,而且该反向电流还会成为MOSFET导通时的峰值电流,因此MOSFET的损耗也会増加。为了避免这种问题而选择不连续模式。

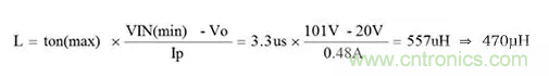
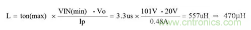
电感值的计算
首先计算电感值。设VIN为101V。假设90VAC条件下,峰值电压为1.41倍,余量为20%。
设 VIN = 90VAC×1.41×0.8 = 101V ,则:

Iomax取20%左右的余量,得出:Iomax = 0.2A×1.2 = 0.24A。
设临界点(峰值) Ip = Iomax×2 = 0.48A ,则:

根据该计算结果,选择标准值470µH。
电感电流的计算
接下来计算电感电流,以确定电感的容许电流。
输入电压最大时,电感电流最大。最大输入电压为264VAC时,电源IC开关(MOSFET)的导通时间为IC的最小导通时间。根据输出电压和电感的电感值等条件,该最小导通时间约为0.6~1.5µs。
假设最大输入电压264VAC时的最小导通时间为1µs,则:

因此,应该选择电感值470µH、电感电流0.8A以上的电感。必须要注意的是,一定要通过实际装机来确认电感电流,确保是电感不饱和的。


