【导读】电源系统设计的挑战之一是电流检测。在降压转换器中,一种流行的“无开销”方法是DCR电流检测。但这种电路精度很低,尤其是使用小型、低ESR电感器时,因此将被其它方法取代,如电流检测电阻器,或功率链路器件。
降压转换器是最常见的电源拓扑,电源工程师深知其优点和缺点。电源系统设计的挑战之一是电流检测。在降压转换器中,一种流行的“无开销”方法是 DCR 电流检测。说它“无开销”,是因为这种方法不会使电源设计增加额外的成本或功耗,但人所共知的是,这种电路精度很低,尤其是使用小型、低ESR电感器时,更是这样。
先来看看DCR检测电路的组成。这种电路足够简单:给输出电感器增加一个RC网络,生成差分信号就行了。RC网络将电感器电流转换成C1两端的电压。

图1:DCR电流检测电路。
RC值的计算足够简单,RC=L/DCR,其中:
L = L1的电感值; DCR = 电感器L1的DC电阻; R = 图1原理图中的R2(或者,如果有R3存在,就是R2和R3的并联); C = 图1原理图中的C1。
请注意,在图1中,如果ISENSE峰值信号的幅度使差分放大器饱和,那么就增加R3,以降低该峰值信号幅度,使其处于差分放大器的规定范围内。
“无开销”总是受欢迎的,但常言说得好,“便宜无好货,好货不便宜”。这种电路的精度非常差。
首先,电感器的DCR有很宽的容限范围,± 7%甚至±10%是很常见的。

图2:电感器DCR的典型规格。
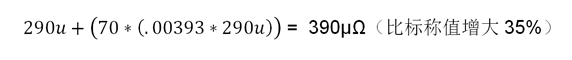
如果初始容限为10%,那么图1所示的180nH电感器的DCR可能低至261mΩ或高达319mΩ。雪上加霜的是,电感器会发热,铜线绕组的温度系数为3930PPM/ºC或0.393%/ºC。如果应用的温度上升至比环境温度高35ºC,电感器本身发热使温度再上升35ºC,那么标称DCR就可能升至:

最差情况的上限为:

最差情况的下限为:

(标称值增大15%。总误差会低些,因为铜线的正系数补偿了电感器的低初始值。)
从工程设计的角度来看,这确实很糟糕,因为过流标记和过流停机都是基于这些电阻设定的。如果电路太敏感,就会在没有达到需要?;某潭染屯;?。这不是我们想要的结果。如果电路不敏感,就会有电感器和功率FET压力过大的风险。这更不是我们想要的结果。
情况能糟糕到什么程度?
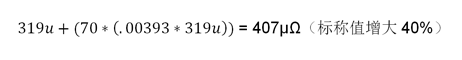
假定正在设计一个能在1V时提供最大35A的电路(目前对一个切合实际的单相降压转换器而言,这个数值是合乎情理的)。如果电感器DCR处在容限低端,那么输出得到35A时,控制器认为提供了40A。这意味着,OCP不能设定为低于40A,否则电源会在标称负载时停机。反过来,当OCP设定为40A,电感器DCR增大10%时,情况会变得多糟糕?
在这种情况下,实际负载电流为40A,但DCR为407µΩ,因此控制器认为输出电流是65A。这意味着,OCP需要设定为65A,如果不设定为这个数值,就有在不到40A时就出现OCP?;姆缦铡U馑坪醪荒芙邮?,可一旦OCP设定为65A,电路就必须设计成,在偶尔准确报告电流的情况下,也得连续提供这么大的电流。
这意味着输出电感器和功率FET严重过度设计,电源必须提供35A,但却必须按照能够连续提供65A来设计。而且,使情况更糟的是,电感器中的电流除了有DC分量,还存在峰值至峰值纹波。这个纹波有多大呢?对纹波电流而言,通常的设计原则是20%。这意味着,逐周期限流值必须设定为高于65A,因此?;な涑鯢ET的能力就变得非常成问题了。猜猜看,如果针对30%纹波电流来设计,会发生什么情况?
然后,你会意识到,典型的电流检测电压范围为10mV至20mV。如果在一个电源中,有开关节点振铃,有输出电感器产生的杂散磁场,还有电流在旁路电容器和输出电容器中流通,那么就很难得到可以接受的信噪比(SNR)。要想信号质量还有任何希望的话,电流检测连接线必须仔细布置成差分对(因此,所拾取的任何噪声都是共模的),并布置得远离电感器、开关节点和大电流/高频电流回路。这在空间受限的设计中是很难的,一如现在空间受限设计中的一切看起来都很难一样。

图3:开尔文电感器电流检测布线。
我们能做什么?首先,通过使用热敏电阻器或温度检测二极管(通常是小型晶体管中正向偏置的PNP基-射节),可以基于经验估计出电感器的温度。通过这种方式,可以调节铜线绕组电阻的热响应。这太有帮助了。工程师们真是太了不起了。如果我们确实做得非常仔细,那么最好的结果有可能达到±10%。
我们还能做什么?我们可以忽略“无开销”的DCR电路,给输出电感器串联一个昂贵的、温度稳定的电流检测电阻器。这增加了成本,损害了转换器的效率,但是凭借良好的差分信号布线,我们能够以高得多的精度检测输出电流。随着容限累积,我们可以得到±5%或更好的总体电流检测性能。工程师们在设计评审中既证明了这种方案的合理性,又避开了对其设计影响效率和成本的批评,他们的勇气令我钦佩。
使用一个由温度稳定的合金绕组构成的电感器如何?这个想法一露头,我的心就被吓得狂跳不止。
还有其它方法吗?有个东西比电流检测电阻器要好。让功率链路器件报告其电流。这种方法运用设计良好的智能电源状态(SPS),虽然增加了电流检测成本,但是能够提供与标称输出要求非常接近的峰值功率能力,二者功过相抵。结果大大减少了过度设计功率链路元件导致的浪费。对这种电流检测方法我们可以寄予多大期望?就合理的运行区域而言(不要期望输出电流处在零附近时出现奇迹),我们可以得到±1%初始精度,随着老化和温度变化,最差的容限为±2%。
一年又一年,技术的进步为工程师们提供了越来越好的基本构件。让“无开销”的DCR电流检测电路随风而去吧。
本文转载自电子技术设计。
推荐阅读:



