【导读】对可穿戴设备来说,最大的挑战是如何恰当、方便地为它们持续供电。目前很多手环和手表的设计,都需要用户先把它们脱下来,插到有线充电器上才能充电。我们需要有一种不易被人察觉的方式来对这些设备充电并使用它们。
随着物联网和5G的飞速发展,我们日常使用的智能设备的数量正变得越来越多。现在我们每个人都会用到多种设备,而所有这些设备几乎都需要充电并对电源进行维护。
目前可穿戴市场主要由手环和智能手表所组成。对可穿戴设备来说,最大的挑战是如何恰当、方便地为它们持续供电。对于目前很多的手环和手表设计来说,用户都必须先把它们脱下来,插到有线充电器上才能充电(这也是我不愿再用这类设备的原因)。即使是采用了电磁感应式充电解决方案——比如苹果的iWatch,用户也仍然需要把它们脱下来,放到充电器上去充电。
在我们进化出更多手臂、手指和耳朵等等之前,我们需要有一种不易被人察觉的方式来对这些设备充电并使用。让我们用感觉不到的新方式来为可穿戴设备供电,而让这些不断演进、让人眼前一亮的技术更方便使用吧。
本文将介绍这一领域中的一些最新开发成果,来为大家参考。希望这些成果有助于设计人员开发出业内迫切需要的创新解决方案。
无线供电(尼古拉·特斯拉会赞成)
现在我们几乎所有设备都需要单独充电,因此无线供电肯定会是赢家,也是我在这类应用中的第一选择。
服装级的感应式输电
可穿戴服装可能包含多个智能设备,用它作为配电骨干会很有前途(这方面还有许多研究工作要做)。另外,服装与服装之间的电能传输可以采用双向感应输电技术。参考文献“Garment level power distribution for wearables using inductive power transfer”中选择了基于LCL-LCL拓扑而不是串-串(SS)拓扑的电路,因为SS拓扑负载电流会随着负载(比如电池)变化而变化(见图1)。

图1:无线输电(WPT)设计中所用补偿电路拓扑有四种,这里是其中两种:(a)SS拓扑,(b)LCL-LCL拓扑。
上述电路工作在99kHz,可在智能设备之间实现双向电能交换。
在多个设备之间进行双向电能共享很有意义。某个设备(比如智能手机)的电池容量可能比一些小体积的设备(比如健身追踪器)更大,因此可以用来给这些更小的设备供电。这样,穿戴者可以在给智能手机方便充电的同时,延长那些更小设备的使用时间。
这种方法成功的关键是,这些可穿戴背心或服装是以最不易让人察觉的方式设计。采用用柔性材料制造的馈电线圈来设计是种好方法,见图2和图3。

图2:馈电线圈的理想电路图(a)及其等效电路(b)。

图3:上方是用铜带制作的柔性馈电线圈;下方是早期用24号硬线做的馈电线圈原型。
现在双向输电电路可以基于LCL逆变器来构建,其中,两个反相方波分别输入到四MOSFET逆变器的1号和2号输入端,见图4。

图4:双向感应式电能传输电路。
整个系统构建完成后,图5就是完整的电能共享系统。

图5:完整的电能共享系统原理图。左边是发射器,中间是馈电线圈,右边是接收线圈。
能量采集
保持可穿戴设备始终充电并长久运行的另外一种好方法是射频能量采集。这一领域正在研究中,对于可能的设计解决方案,一个例子是毫米波喷墨能量采集方法,可以用在可穿戴设计的柔性电路中(参考文献“Millimeter-wave Ink-jet Printed RF Energy Harvester for Next Generation Flexible Electronics”)。
这种设计使用了喷墨印制的毫米波整流天线,该整流天线可以将电磁能量转换为直流电能。
这种设计先通过天线捕获24GHz信号,然后将信号送到整流器——该整流器前面有一个输入匹配网络,用于最大程度地将电能传输给谐波端接网络(HTN)。例如,谐波端接网络(HTN)对二极管在奇次谐波下提供开路阻抗,在偶次谐波下提供短路阻抗。谐波端接网络还能将射频分量从直流分量隔离。无过孔直流返回通路取消了信号到地的过孔,因此不会产生毫米波频率下可能产生的严重寄生问题,详见图6。

图6:整流天线开发概念框图。
整个系统是由柔性液晶聚合物(LCP)基板和用Dimax FujiFilm DMP-2831喷墨打印机打印出来的银纳米粒子墨水制作的微带线实现的。
天线采用平面2x2贴片阵列设计,4个贴片通过一个带3个T型结点的公共馈电网络连接,这3个T型结点都在同一层上,作为50Ω的输入馈线,见图7。

图7:天线版图。天线尺寸可以在前述参考文献中找到。
在这个设计的实验中,LED灯被空中传过来的24GHz信号成功点亮。
一些有趣的元器件解决方案和技术
Powercast公司的PowerHarvester IC
我最近和Powercast公司的首席运营官/首席技术官Charles Greene博士谈论了该公司的可穿戴设备供电解决方案。这家公司的解决方案让我非常感兴趣,详见图8。

图8:Powercast公司的无线再充电解决方案。
可穿戴设备设计人员可以将Powercast公司的Powerharvester IC嵌入到可穿戴设备中,为一个或多个设备提供一定距离的无线充电。通过收集ISM频段的射频能量,这种IC可以向可穿戴设备的电池提供涓流充电。这种方法支持可水洗的密封设备。
这种解决方案的外形尺寸很小。Powerharvester芯片提供频繁和透明的再充电,允许使用更小的电池,从而支持更小更薄的设备。
在壁橱或梳妆台抽屉中可以安装类似手机发射器的小功率射频发射器。这种发射器可以为可穿戴服装提供充电区域。不管可穿戴设备是在壁橱里还是在抽屉里,这些设备的电池都能自动接收涓流充电。这种方法与接收器需要依赖一定频率范围内的随机射频信号的场景不相干。图9给出了射频电源种类。

图9:Charles Greene博士在2017年美国传感器博览会上的演讲中提到的射频电源种类。
这种创新解决方案成功的关键是采用了极其高效的射频至直流转换器设计,接下来看看这家公司管理他们系统的方式。
系统设计
我真的很喜欢Powercast的方法,因为只依靠环境中的射频能源会很难预测。通过提供其自己的射频能源,系统就能获取稳定的能量流。虽然在没有电的偏远地区,环境能源可能是一种更好的解决方案,但我相信大部分市场,特别是可穿戴设备市场,可以使用专门、可靠的无线发射器。
图10是距离可以从几英寸到超过100英尺的典型专用射频能量广播方案。发射功率范围可以从几微瓦到几毫瓦。

图10:Powercast系统可以为支持的设备提供自动充电,参数可以根据特定设计需求进行控制。这些参数有功率等级、频率、发射/接收天线增益和发射器数量、距离、设备工作周期以及系统成本。
频率的重要性
用弗里斯传输公式可以计算在发射天线增益为G2、距离为r、工作频率为f或波长为λ的条件下,从增益为G1的接收天线收到的功率。Greene博士的设计就是从弗里斯公式开始的。
注:以下公式假设是远距离工作(随着r趋向于0,接收到的功率将趋向于无限大,因此这些公式使用有限制)。
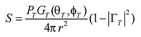
事实上,单位为W/m2的功率密度(S)与频率不相关:

其中: PT是发射功率; r是天线范围或距离; ΓT是发射器反射系数; GT(θT,ΦT)是与角度有关的发射器增益。
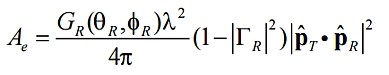
天线的有效面积(Ae)与频率的平方成反比:


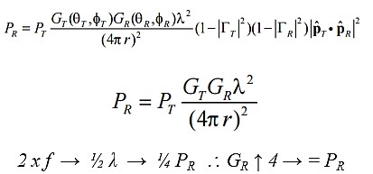
因此,如果特定设备允许的话,增加天线尺寸会使信号在较高频率下方向性更好。下面是基于雷达公式的计算:

其中: PR是接收到的数据功率; GR是最大的接收器增益。
相反,频率越低,信号就越具有全向性,一般也允许更大的吞吐量。天线尺寸自然而然取决于接收设备的尺寸(例如,游戏控制器用915MHz双极子天线,或助听器等类似设备用2.4GHz或5.8GHz双极子天线)。
发射器
Powercaster TX 91501发射器采用免许可ISM频段的915MHz中心频率,并采用直接序列扩频(DSSS)技术对功率进行调制——DSSS是一种将原始数据信号乘以伪随机噪声扩展编码的扩频技术。扩展编码具有更高的码片速率(编码比特率),支持宽带连续时间加扰信号。军方使用这种技术来有效对抗特别是窄带干扰/人为干扰信号,而使信号更不容易被潜在黑客发现。
数据则是采用幅移键控(ASK)数字调制方案,即给正弦信号赋予两个或多个与数字信息所采用的电平个数相对应的离散幅度电平。已调波形一般看起来像是一串正弦信号。
接收器
接收器侧也是大批量OEM设计和参考设计用PCC110射频至直流转换器IC和PCC210升压转换器IC,见图11。

图11:接收侧电源用Powerharvester芯片。
另外还有基于PCC110和PCC210 IC的P1110和P2110模块,见图12。

图12:Powercast模块是射频进、直流出的、具有高射频至直流转换效率(关键参数之一)的器件。它们设计用于50Ω天线,支持840MHz-960MHz范围内的多个频段。
一些应用

图13:降压式涓流充电案例。

图14:消费类电子设备可以在晚上不使用时通过图中央的PowerSport发射器进行充电。
德州仪器可穿戴设备用电源管理参考设计
TI推出了一种可行、可扩展的可穿戴设备用电源解决方案,可以用于手表、手环等可穿戴设备(见参考文献“Power Management Reference Design for a Wearable Device with Wireless Charging Using the bq51003 and bq25120”)。与这种方案类似的参考设计使设计人员能够发挥他们的智慧和创造性,为可穿戴设备提供创新的供电技术,见图15。

图15:TI可穿戴设备用无线供电解决方案框图。
凌力尔特公司(现ADI公司的一部分)的医疗用可穿戴设备和可扩展电源解决方案
凌力尔特公司有一种基于LTC3107的能量采集解决方案,可用于给无线系统网络和充电电池进行供电,见图16。

图16:采用热电发生器供电的能量采集设计可以延长原电池的寿命。
凌力尔特还有一款LTC3331,用来将来自多种能源的能量转换给可穿戴设备供电,见图17。

图17:LTC3331有一个全波桥式整流器,用于接收来自压电(交流能量)、太阳能(直流能量)和磁能(交流能量)等能源的输入。
一些激励设计者创新活动的其他构想
可穿戴设备用麦克风唤醒与监听
Vesper公司有一种非常好的节能解决方案,可以用于可穿戴设备的语音控制,请参考“Wake up and listen: Vesper quiescent-sensing MEMS device innovation”这篇文章。
可穿戴设备采集信息对降低功耗提出挑战
我不敢肯定Intel对这项业务会坚持多久,但他们已经用他们的14nm工艺开发出了一款低功耗的“始终运行”(Always-on)芯片——对于关键字识别,功耗仅为2mW。该公司基于其Quark SE SoC还开发了其Curie??椤ntel公司新业务部门副总裁兼总经理Jerry Bautista表示,他们认为数据特别有价值,而可穿戴设备有助于收集特别是生物识别方面的更多信息??纱┐魃璞甘粲诒咴瞪璞福窃谑占绞莺?,将其送入到大的数据流中,发送给云服务器进行分析。对于Intel公司,降低这类设备的功耗至关重要。
我兴奋并乐观地预测,下一代可穿戴设备用创新电源解决方案对用户来说实际上将会是看不见的。如果梦想成真,那也是我重新戴上智能手表的时候。
本文转载自电子技术设计。
推荐阅读:



