【导读】越来越多的应用要求数据采集系统必须在极高环境温度下可靠地工作,例如井下油气钻探、航空和汽车应用等。虽然这些行业的最终应用不尽相同,但某些信号调理需求却是共同的。这些系统的主要部分要求对多个传感器进行精确数据采集,或者要求高采样速率。
此外,很多这样的应用都有很严格的功率预算,因为它们采用电池供电,或者无法耐受自身电子元件发热导致的额外升温。因此,需要用到可以在温度范围内保持高精度,并且可以轻松用于各种场景的低功耗模数转换器 (ADC) 信号链。这类信号链见图1;该图描绘了一个井下钻探仪器。
虽然额定温度为175°C的商用IC数量依然较少,但近年来这一数量正在增加,尤其是诸如信号调理和数据转换等核心功能。这便促使电子工程师快速可靠地设计用于高温应用的产品,并完成过去无法实现的性能。虽然很多这类IC在温度范围内具有良好的特性化,但也仅限于该器件的功能。显然,这些元件缺少电路级信息,使其无法在现实系统中实现最佳性能。
本文中,我们提供了一个新的高温数据采集参考设计,该设计在室温至175°C温度范围内进行特征化。该电路旨在提供一个完整的数据采集电路构建块,可获取模拟传感器输入、对其进行调理,并将其特征化为SPI串行数据流。该设计功能非常丰富,可用作单通道应用,也可扩展为多通道同步采样应用。由于认识到低功耗的重要性,该ADC的功耗与采样速率成线性比例关系。该ADC还可由基准电压源直接供电,无需额外的电源轨,从而不存在功率转换相关的低效率。这款参考设计是现成的,可方便设计人员进行测试,包含全部原理图、物料清单、PCB布局图和测试软件。

图1. 井下仪器数据采集信号链。

图2. 数据采集电路简化原理图。
电路概览
图1所示电路是一个16位、600 kSPS逐次逼近型模数转换器系统,其所用器件的额定温度、特性测试温度和性能保证温度为175°C。很多恶劣环境应用都采用电池供电,因此该信号链针对低功耗而设计,同时仍然保持高性能。
本电路使用低功耗(600 kSPS时为4.65 mW)、耐高温PulSAR® ADCAD7981,它直接从耐高温、低功耗运算放大器AD8634驱动。AD7981 ADC需要2.4 V至5.1 V的外部基准电压源,本应用选择的基准电压源为微功耗2.5 V精密基准源ADR225 ,后者也通过了高温工作认证,并具有非常低的静态电流(210°C时最大值为60 μA)。本设计中的所有IC封装都是专门针对高温环境而设计,包括单金属线焊。
模数转换器
本电路的核心是16位、低功耗、单电源ADC AD7981,它采用逐次逼近架构,最高支持600 kSPS的采样速率。如图1所示,AD7981使用两个电源引脚:内核电源 (VDD) 和数字输入/输出接口电源 (VIO)。VIO引脚可以与1.8 V至5.0 V的任何逻辑直接接口。VDD和VIO引脚也可以连在一起以节省系统所需的电源数量,并且它们与电源时序无关。图3给出了连接示意图。
AD7981在600 kSPS时功耗典型值仅为4.65 mW,并能在两次转换之间自动关断,以节省功耗。因此,功耗与采样速率成线性比例关系,使得该ADC对高低采样速率——甚至低至数Hz——均适合,并且可实现非常低的功耗,支持电池供电系统。此外,可以使用过采样技术来提高低速信号的有效分辨率。

图3. AD7981应用图。
AD7981有一个伪差分模拟输入结构,可对IN+ 与IN− 输入之间的真差分信号进行采样,并抑制这两个输入共有的信号。IN+ 输入支持0 V至VREF的单极性、单端输入信号,IN− 输入的范围受限,为GND至100 mV。AD7981的伪差分输入简化了ADC驱动器要求并降低了功耗。AD7981采用10引脚MSOP封装,额定温度为175°C。
ADC驱动器
AD7981的输入可直接从低阻抗信号源驱动;然而,高源阻抗会显著降低性能,尤其是总谐波失真 (THD)。因此,推荐使用ADC驱动器或运算放大器(如AD8634)来驱动AD7981输入,如图4所示。在采集时间开始时,开关闭合,容性DAC在ADC输入端注入一个电压毛刺(反冲)。ADC驱动器帮助此反冲稳定下来,并将其与信号源相隔离。
低功耗(1 mA/放大器)双通道精密运算放大器AD8634适合此任务,因为其出色的直流和交流特性对传感器信号调理和信号链的其他部分非常有利。虽然AD8634具有轨到轨输出,但输入要求从正供电轨到负供电轨具有300 mV裕量。这就使得负电源成为必要,所选负电源为 –2.5 V。AD8634提供额定温度为175°C的8引脚SOIC封装和额定温度为210°C的8引脚FLATPACK封装。

图4. ADC前端放大器电路。
ADC驱动器与AD7981之间的RC滤波器衰减AD7981输入端注入的反冲,并限制进入此输入端的噪声带宽。不过,过大的限带可能会增加建立时间和失真。因此,为该滤波器找到最优RC值很重要。其计算主要基于输入频率和吞吐速率。
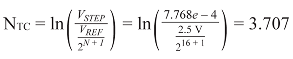
由AD7981数据手册可知,内部采样电容CIN = 30 pF且tCONV = 900 ns,因此正如所描述的,对于10 kHz输入信号而言,假定ADC工作在600 kSPS且CEXT = 2.7 nF,则用于2.5 V基准电压源的电压步进为:

因此,在16位处建立至½ LSB所需的时间常数数量为:

AD7981的采集时间为:

通过下式可计算RC滤波器的带宽:

这是一个理论值,其一阶近似应当在实验室中进行验证。通过测试可知最优值为REXT = 85 Ω和CEXT = 2.7 nF (f–3dB = 693.48 kHz),此时在高达175°C的扩展温度范围内具有出色的性能。
在参考设计中,ADC驱动器采用单位增益缓冲器配置。增加ADC驱动器增益会降低驱动器带宽,延长建立时间。这种情况下可能需要降低ADC吞吐速率,或者在增益级之后再使用一个缓冲器作为驱动器。
基准电压源
ADR225 2.5 V基准电压源在时210°C仅消耗最大60 μA的静态电流,并具有典型值40 ppm/°C的超低漂移特性,因而非常适合用于该低功耗数据采集电路。该器件的初始精度为±0.4%,可在3.3 V至16 V的宽电源范围内工作。
像其他SAR ADC一样,AD7981的基准电压输入具有动态输入阻抗,因此必须利用低阻抗源驱动,REF引脚与GND之间应有效去耦,如图5所示。除了ADC驱动器应用,AD8634同样适合用作基准电压缓冲器。
使用基准电压缓冲器的另一个好处是,基准电压输出端噪声可通过增加一个低通RC滤波器来进一步降低,如图5所示。在该电路中,49.9 Ω电阻和47 μF电容提供大约67 Hz的截止频率。

图5. SAR ADC基准电压缓冲器和RC滤波器。
转换期间,AD7981基准电压输入端可能出现高达2.5 mA的电流尖峰。在尽可能靠近基准电压输入端的地方放置一个大容值储能电容,以便提供该电流并使基准电压输入端噪声保持较低水平。一般而言,采用低ESR——10 μF或更高——陶瓷电容,但对于高温应用来说会有问题,因为缺少可用的高数值、高温陶瓷电容。因此,选择一个低ESR、47 μF钽电容,其对电路性能的影响极小。
数字接口
AD7981提供一个兼容SPI、QSPI和其他数字主机的灵活串行数字接口。该接口既可配置为简单的3线模式以实现最少的I/O数,也可配置为4线模式以提供菊花链回读和繁忙指示选项。4线模式还支持CNV(转换输入)的独立回读时序,使得多个转换器可实现同步采样。
本参考设计使用的PMOD兼容接口实现了简单的3线模式,SDI接高电平VIO。VIO电压是由SDP-PMOD转接板从外部提供。转接板将参考设计板与ADI系统开发平台 (SDP) 板相连,并可通过USB连接PC,以便运行软件、评估性能。
电源
本参考设计的 +5 V和 −2.5 V供电轨需要外部低噪声电源。由于AD7981是低功耗器件,因此可通过基准电压缓冲器直接供电。这样便不再需要额外的供电轨——节省电源和电路板空间。通过基准电压缓冲器为ADC供电的正确配置如图6所示。如果逻辑电平兼容,那么还可以使用VIO。就参考设计板而言,VIO通过PMOD兼容接口由外部供电,以实现最高的灵活性。

图6. 从基准电压缓冲器为ADC供电。
175°C时,整个数据采集解决方案的典型总功耗可计算如下:
ADR225: 30 µA × 5 V = 0.15 mW
AD8634:(1 mA × 2个放大器)× 7.5 V = 15 mW
AD7981: 4.65 mW @ 600 kSPS
总功耗 = 19.8 mW
IC封装和可靠性
ADI公司高温系列中的器件要经历特殊的工艺流程,包括设计、特性测试、可靠性认证和生产测试。专门针对极端温度设计特殊封装是该流程的一部分。本电路中的175°C塑料封装采用一种特殊材料。
耐高温封装的一个主要失效机制是焊线与焊垫界面失效,尤其是金 (Au) 和铝 (Al) 混合时(塑料封装通常如此)。高温会加速AuAl金属间化合物的生长。正是这些金属间化合物引起焊接失效,如易脆焊接和空洞等,这些故障可能在几百小时之后就会发生,如图7所示。

图7. 195°C下500小时后铝垫上的金球焊。
为了避免失效,ADI公司利用焊盘金属化 (OPM) 工艺产生一个金焊垫表面以供金焊线连接。这种单金属系统不会形成金属间化合物,经过195°C、6000小时的浸泡式认证测试,已被证明非??煽?,如图8所示。

图8. 195°C下6000小时后OPM垫上的金球焊。
虽然ADI公司已证明焊接在195°C时仍然可靠,但受限于塑封材料的玻璃转化温度,塑料封装的额定最高工作温度仅为175°C。除了本电路所用的额定175°C产品,还有采用陶瓷FLATPACK封装的额定210°C型号可用。同时有已知良品裸片 (KGD) 可供需要定制封装的系统使用。
对于高温 (HT) 产品,ADI公司有一套全面的可靠性认证计划,包括器件在最高工作温度下偏置的高温工作寿命 (HTOL)。数据手册规定,HT产品在最高额定温度下最少可工作1000小时。全面生产测试是保证每个器件性能的最后一步。ADI高温系列中的每个器件都在高温下进行生产测试,确保达到性能要求。
无源元件
应当选择耐高温的无源元件。本设计使用175°C以上的薄膜型低TCR电阻。COG/NPO电容容值较低常用于滤波器和去耦应用,其温度系数非常平坦。耐高温钽电容有比陶瓷电容更大的容值,常用于电源滤波。本电路板所用SMA连接器的额定温度为165°C,因此,在高温下进行长时间测试时,应当将其移除。同样,0.1" 接头连接器(J2和P3)上的绝缘材料在高温时只能持续较短时间,因而在长时间高温测试中也应当予以移除。对于生产组装而言,有多个供应商提供用于HT额定连接器的多个选项,比如Micro-D类连接器。
PCB布局和装配
在本电路的PCB设计中,模拟信号和数字接口位于ADC的相对两侧,ADC IC之下或模拟信号路径附近无开关信号。这种设计可以最大程度地降低耦合到ADC芯片和辅助模拟信号链中的噪声。AD7981的所有模拟信号位于左侧,所有数字信号位于右侧,这种引脚排列可以简化设计?;嫉缪故淙隦EF具有动态输入阻抗,应当用极小的寄生电感去耦,为此须将基准电压去耦电容放在尽量靠近REF和GND引脚的地方,并用低阻抗的宽走线连接该引脚。本电路板的元器件故意全都放在正面,以方便从背面加热进行温度测试。完整的组件如图9所示。关于其它布局布线建议,参见AD7981数据手册。

图9. 参考设计电路组件。
针对高温电路,应当采用特殊电路材料和装配技术来确??煽啃浴R4是PCB叠层常用的材料,但商用FR4的典型玻璃转化温度约为140°C。超过140°C时,PCB便开始破裂、分层,并对元器件造成压力。高温装配广泛使用的替代材料是聚酰亚胺,其典型玻璃转化温度大于240°C。本设计使用4层聚酰亚胺PCB。
PCB表面也需要注意,特别是配合含锡的焊料使用时,因为这种焊料易于与铜走线形成铜金属间化合物。常常采用镍金表面处理,其中镍提供一个壁垒,金则为接头焊接提供一个良好的表面。此外,应当使用高熔点焊料,熔点与系统最高工作温度之间应有合适的裕量。本装配选择SAC305无铅焊料,其熔点为217°C,相对于175°C的最高工作温度有42°C的裕量。
性能预期
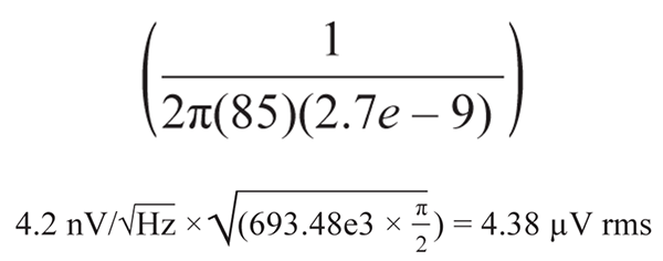
采用 1 kHz 输入正弦信号和 5 V 基准电压时,AD7981 的额定 SNR 典型值为 91 dB。然而,当使用较低基准电压(比如 2.5 V,低功耗/低电压系统常常如此),SNR 性能会有所下降。我们可以根据电路中使用的元件规格计算理论 SNR。由 AD8634 放大器数据手册可知,其输入电压噪声密度为4.2 nV/Hz,电流噪声密度为 0.6 pA/Hz。由于缓冲器配置中的 AD8634 噪声增益为 1,并且假定电流噪声计算时可忽略串联输入电阻,则 AD8634 的等效输出噪声贡献为:
RC滤波器之后的ADC输入端总积分噪声为:

AD7981的均方根噪声可根据数据手册中的2.5 V基准电压源典型信噪比(SNR,86 dB)计算得到。

整个数据采集系统的总均方根噪声可通过AD8634和AD7981噪声源的方和根 (RSS) 计算:

因此,室温 (25°C) 时的数据采集系统理论SNR可根据下式近似计算:

测试结果
电路的交流性能在25°C至185°C温度范围内进行评估。使用低失真信号发生器对性能进行特性化很重要。本测试使用Audio Precision SYS-2522。为了便于在烤箱中测试,使用了延长线,以便仅有参考设计电路暴露在高温下。测试设置的功能框图如图10所示。

图10. 特性测试设置。
由前文设置中的计算可知,室温下我们期望能达到大约86 dB的SNR。该值与我们在室温下测出的86.2 dB SNR相当,如图11中的FFT摘要所示。

图11. 1 kHz输入信号音、580 kSPS、25℃时的交流性能。
评估电路温度性能时,175°C时的SNR性能仅降低至约84 dB,如图12所示。THD仍然优于 −100 dB,如图13所示。本电路在175°C时的FFT摘要如图14所示。

图12. SNR随温度的变化(1 kHz输入信号音、580 kSPS)。

图13. THD随温度的变化(1 kHz输入信号音、580 kSPS)。

图14. 1 kHz输入信号音、580 kSPS、175℃时的交流性能。
小结
本文中,我们提供了一个新的高温数据采集参考设计,表述了室温至175°C温度范围内的特性。该电路是一个完整的低功耗 (
参考电路
Arkin, Michael, Jeff Watson, Michael Siu, and Michael Cusack. “用于极高温度环境的精密模拟信号调理半导体。” 高温电子网络汇刊 (Proceeding from the High Temperature Electronics Network), 2013.
AD7981.
Digilent Pmod 规格.
Harman, George. 微电子的线焊. McGraw Hill,2010年2月。
Phillips,Reggie等人。"适合深井应用的高温陶瓷电容 (High Temperature Ceramic Capacitors for Deep Well Applications)。"CARTS 2013 国际会议论文集(CARTS International 2013 Proceedings)。2013年3月。Houston, TX.
Siewert, Thomas, Juan Carlos Madeni, and Stephen Liu. “电子制造业APEX研讨会论文集无铅焊料和铜基体之间界面的金属间化合物的形成和生长.” Proceedings of the APEX Conference on Electronics Manufacturing, Anaheim, California, April, 2003年4月
Walsh, Alan. “精密SAR模数转换器的前端放大器和RC滤波器设计.” Analog Dialogue,模拟对话,第46卷第4期,2012年。
Walsh, Alan. “精密逐次逼近型ADC的基准电压源设计.” Analog Dialogue,模拟对话,第47卷第2期,2013年。
Watson, Jeff and Gustavo Castro. “高温电子器件给设计和可靠性带来挑战.” 模拟对话,第46卷第2期,2012年。
Zední?ek, Tomas, Zdeněk Sita, and Slavomir Pala. “适用于扩展工作温度范围的钽电容技术.”
推荐阅读:




