【导读】开关电源和Class D功放,因为电路工作在开关状态,大大降低了电路的功率损耗,在当今的电子产品中得到了广泛的应用。由于寄生电感和寄生电容的存在,电路的PWM开关波形在跳变时,常常伴随着振铃现象。这些振铃常?;岽戳钊朔衬盏腅MC问题。本文对振铃进行探讨,并采用snubber电路对PWM开关信号上的振铃进行抑制。
振铃现象
在开关电源和Class D功放电路中,振铃大多是由电路的寄生电感和寄生电容引起的。寄生电感和寄生电容构成LC谐振电路。 LC谐振电路常常用两个参数来描述其谐振特性:振荡频率(
),品质因数(Q值)。谐振频率由电感量和电容量决定:
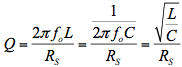
。品质因数可以定义为谐振电路在一个周期内储存能量与消耗能量之比。并联谐振电路的Q值为:
,其中RP是并联谐振电路的等效并联电阻。串联谐振电路的Q值为:
,其中RS为串联谐振电路的等效串联电阻。
在描述LC电路的阶跃跳变时,常用阻尼系数(
)来描述电路特性。阻尼系数跟品质因数的关系是:
或
。在临界阻尼(
=1)时,阶跃信号能在最短时间内跳变到终值,而不伴随振铃。在欠阻尼(
<1)时,阶跃信号在跳变时会伴随振铃。在过阻尼(
>1)时,阶跃信号跳变时不伴随振铃,但稳定到终值需要花费比较长的时间。在图一中,蓝,红,绿三条曲线分别为欠阻尼(
<1),临界阻尼(
=1),过阻尼(
>1)时,对应的阶跃波形。

图一 不同阻尼系数对应的阶跃信号(从左至右分别为欠阻尼,临界阻尼,过阻尼时对应的阶跃信号)
我们容易得到并联LC谐振电路的阻尼系数:
。在我们不改变电路的寄生电感和寄生电容值时,调整等效并联电阻可以改变谐振电路的阻尼系数,从而控制电路的振铃。
阶跃信号因振铃引起的过冲跟阻尼系数有对应的关系:
。OS(%)定义为过冲量的幅度跟信号幅度的比值,以百分比表示。表一列出了不同阻尼系数对应的过冲OS(%)。

图二 过冲图示

表一: 不同阻尼系数对应的过冲OS(%)
振铃的危害
对于振铃,我们直观感受到的是示波器屏幕上的电压的波动。实际带来问题的通常是电路的电流的谐振。在图三所示的电路里面,当PWM开关信号V1在0V和12V切换时,流过电感L1和电容C1的谐振电流可以达到安培量级,如图四所示。在高频(图三所示电路的谐振频率为232MHz,开关电源和Class D电路里常见的振铃频率在几十兆到几百兆Hz之间),安培量级的电流,通过很小的回路,都可能造成辐射超标,使产品无法通过EMC认证。
注:10米处电场强度计算公式为:121212,单位为伏特/米。其中f为电流的频率(MHz),A为电流的环路面积(CM2 ),Is为电流幅度(mA)。

图三 LC谐振电路

图四 电容C1两端的电压和流过电容C1的谐振电流
避免测量引入的振铃
为了提高电路的效率,开关电源和Class D功放的PWM开关信号的上升/下降时间都比较短,常常在10ns量级。测量这样的快速切换信号,需要考虑到示波器探头,特别是探头的接地线对测量结果的影响。在图五的测量方法中,示波器探头的地线过长,跟探头尖端的探针构成很大的回路。捕获到的信号出现了很大的振铃,如图六所示。

图五 示波器探头上长的地线会影响PWM开关信号的测量结果

图六 图五测量方法对应的测试结果
为了降低示波器探头对测量结果的影响,我们在电路板上焊接测量接地探针,并去除示波器探头上的地线,如图七所示。通过这种方法,我们可以大大降低示波器探头地线对测量引入的振铃。图八是使用这种方法捕获到的PWM开关信号的前后沿波形。

图七 通过在PCB上焊接接地点改善测量结果

图 八 图七测量试方法对应的测试结果
开关电源和Class D功放电路中的谐振电路
在开关电源和Class D功放电路中,芯片退耦电容到芯片电源引脚之间的PCB走线,芯片电源引脚到内部硅片之间的邦定线可以等效成一个寄生电感。在功率MOSFET截止时,功率MOSFET电极之间的电容 (Cgs,Cgd,Cds) 可等效成一个寄生电容。如图九所示。这些寄生电感和寄生电容构成了LC谐振电路。图九中的高端MOSFET导通,低端MOSFET截止时,可以等效成图十所示的LC谐振电路。为了提高电路的效率,当今芯片内部集成的功率MOSFET的
都做得比较小,常常在几十毫欧到几百毫欧之间。这意味着谐振电路的阻尼系数可能很小。造成的结果是在PWM开关切换时,伴随着比较大的振铃。

图九 开关电源和D类功放电路里的寄生电感和电容

图十 图九中高端MOSFET导通,低端MOSFET截止时的等效电路
利用Snubber抑制振铃
上面对LC谐振电路的振铃做了介绍。下面介绍利用snubber电路对振铃进行抑制。如图十一中虚线框内的电路所示,Snubber电路由一个小阻值的电阻
和一个电容
串联构成。其中电阻
用来调节LC谐振电路的阻尼系数。电容
在振铃频率(即LC谐振频率)处呈现很低的容抗,近似于短路。在PWM开关频率又呈现出较高的容抗。如果没有电容
的存在,PWM信号会一直加在电阻
两端,电阻
会消耗过多的能量。
下面给
选取合适的电阻值,让PWM开关信号能快速稳定到终值,而又不产生振铃(临界阻尼)。我们以图十一的电路为例。其中L1是电路的寄生电感,C1是电路的寄生电容, 是电路的等效并联电阻。


图十一 snubber电路
整理得到:

用snubber改善振铃实例
下面以一个实例介绍snubber电路元件值的选取。图十二a 是一款降压DC-DC在PWM开关引脚处测到的波形。在PWM信号开关时,伴随着振铃现象。通过示波器测量到的振铃频率为215.5MHz。我们可以构建第一个方程:

为了得到L1和C1的值,我们需要构建另外一个方程。我们给电容C1并联一个小电容:在PWM引脚临时对地焊接一个56pF的电容。这时,振铃频率变为146.2MHz,如图十二b。据此,我们构建另一个方程:
通过上面两个方程,可以很快计算出C1=47.7pF,L1=11.4nH。
然后,我们根据过冲量来计算等效并联电阻
。从图十三读出过冲OS(%)为28%,对应的阻尼系数(
)值为0.37。
,得到
,得到
十三 阶跃信号过冲
我们得到了电路的L1,C1和
的值,带入我们前面得到的公式
,计算得到
??梢匝∪?8欧姆的电阻。
,计算得到电容
的选择:
元件值的选取原则是,在LC谐振频率(振铃频率)处,容抗要远小于
的阻值。对PWM开关信号,又要呈现出足够高的容抗。图十四是
采用560pF的电容,
采用18欧姆电阻时,PWM开关信号的前沿波形。对比图十二a中的波形,振铃得到了很大的改善。

图十四 加入snubber电路后的PWM前沿波形
Snubber电路的能量消耗
Snubber电路中能量消耗在电阻
上,而能量消耗的多少又取决于电容
的容量,跟电阻
的值无关。这是因为:PWM信号给电容
充电时,电路给snubber电路提供的能量为
,而电容只得到了其中的一半(
),另一半被
消耗掉。改变
的电阻值,只是改变了电容充电的速度和
消耗能量的速度,而不改变充电一次
所消耗的总能量。
放电时,电容储存的能量被
消耗。
在一个PWM开关周期的能量消耗为
。
功率消耗为:
,其中
为PWM开关频率,V为snubber两端的电压幅度峰峰值。
有些应用场合对电路的效率有很高的要求,对snubber电路消耗的功率也需要进行限制。遇到这种情况,可以适当调整snubber电路的元件值,在PWM信号的振铃和功率消耗之间取得平衡。
降低snubber功耗的另外一个有效办法是降低电路的寄生电感:把退耦电容尽量靠近芯片放置,加粗退耦电容到芯片之间PCB走线的宽度。从前面提到的公式(
)可以看出,降低了寄生电感L1,在其他电路参数不改变的情况下,要保持同样的阻尼系数,需要更小的电阻值。同时,寄生电感降低后,电路的振铃频率会提高。这都允许我们选用更小容值的
电容,从而可以降低snubber电路引入的功率损耗。
)可以看出,降低了寄生电感L1,在其他电路参数不改变的情况下,要保持同样的阻尼系数,需要更小的电阻值。同时,寄生电感降低后,电路的振铃频率会提高。这都允许我们选用更小容值的总结
我们讨论了开关电源和Class D功放电路里PWM信号的振铃现象,振铃带来的危害,振铃引起的过冲和电路的阻尼系数的对应关系。然后介绍了如何用snubber对振铃进行抑制。最后通过一个实例介绍了snubber电路里元件值的选取。在介绍过程中,引入了一些简单的数学公式。这些数学公式有助于加深我们对概念的理解。
参考文献
“Radio-Frequency Electronics Circuits and Applications” by Jon B. Hagen
“EMC for Product Designers” Forth Edition by Tim Williams
“基于运算放大器和模拟集成电路的电路设计 (第3版) ” Sergio Franco 著,刘树棠 朱茂林 荣玫 译
本文来源于Maxim 。
推荐阅读:



