【导读】利用运放反馈与基准电压生成任意大小的直流电流是一个简单、直接的过程。但是,假设须要生成一些任意数量(以N为例)的电流沉/源(current sink/source),而每个电流沉/源的大小任意,可能须要针对不同阶段的一些复杂模拟电路进行偏置。
虽然基准电压的生成仅须一次实施即可,电流沉整个反馈部分的重复进行却使成本与设计空间密集化。那么问题来了:是否可以使用单个反馈源来实现这种偏置网络呢?答案是肯定的,尽管这有些复杂,也须满足某些特定条件。该网络(本文分析中仅以电流沉为例)如图1所示。

图1:灌电流网络
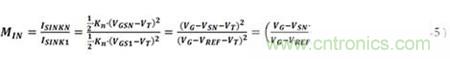
最终MOSFET(金氧半场效晶体管)源电压VS以及RSET电阻决定着各柱上的灌电流(sink current);通过去除来自外部电流沉柱的反馈(即所有N》1),已失去对VSN的直接控制。因此,RSETN必须精心选择以生成预期的任意第N个柱的灌电流,即ISINKN。仔细观察上面的图1,很容易得出定义偏置网络第N个柱电流与第1个柱电流的比值的等式︰

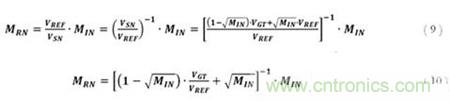
重新调整等式1,得出R1与RN电阻比MRN,等式变为:

那么该偏置网络第N个柱的MOSFET源电压是什么,VSN?考虑到工作在饱和区的NMOS漏极电流等式是:
必须注意的是,这里可以很大程度上忽略通道宽度调制的影响。这是因为任何因漏极电压上升导致的漏极电流的上升会在通过RSET电阻后下降,并导致源电压的上升。为了使MOSFET能维持任何电流,栅极电压必须大于源电压与阈值电压的和。也就是说,给定一个栅极电压,源电压将被限制在至少比栅极电压小一个阈值电压的值,且再大的漏极电压上升也不会提升漏极电流。因此,构建相应运行条件,RSET必须足够大,从而确保在上述限制下可允许作出以下假设:
等式1中的比值可基于等式3和4改写成:

为了简化等式5,可作出如下定义:

利用等式5进行替换与调整后,可导出VSN的等式:

将等式8代入等式2可得出:

那么栅极驱动对阈值电压的差是什么呢,VGT?这最终由偏置网络第1柱的反馈决定;它本质上是维持所需ISINK1电流需要的电压:
重新调整等式11的项,可得出VGT的等式:

将等式13代入等式10可得出:

最后,电阻比MRN可以单纯地写成MIN的函数(加上偏置网络设备的一些物理常数),如下所示:

现在关于RSET电阻比率的等式已导出,接下来可以探究建立任意大小的偏置电流网络的含义与影响。





