【导读】工作中是一种常用元器件,尤其是在设计方案中经常用到。尤其是6脉冲可控硅整流器和12脉冲可控硅整流器有什么不同之处?本文就有小编带你一起,从原理入手简析6脉冲可控硅整流器和12脉冲可控硅整流器之间的不同之处。
首先要为大家介绍的是6脉冲可控硅整流器的运行工作原理。这里所谓的6脉冲,指的是以6个可控硅组成的全桥整流,由于有6个开关脉冲对6个可控硅分别控制,所以我们一般称之为6脉冲整流。这种6脉冲整流器的基础结构如图1所示。

图1 6脉冲整流器

这里我们以图1所示的6脉冲整流器运行结构为基础,来对它的运行特点进行简要分析。我们暂时忽略三相桥式可控硅整流电路换相过程和电流脉动,假定交流侧电抗为零,直流电感为无穷大,延迟触发角a为零,则交流侧电流傅里叶级数展开可以计公式为:
由上文中的公式,我们可以得出以下一个结论,那就是在6脉冲整流器的电流中,含6K(k为正整数)次谐波,即5、7、11、13...等各次谐波,各次谐波的有效值与谐波次数成反比,且与基波有效值的比值为谐波次数的倒数。

图 2 计算机仿真的6脉冲A相的输入电压、电流波形
依据对上文中两个公式的计算,我们可以得出结论,那就是在12脉冲可控硅整流器运行过程中,两个整流桥产生的5、7、17、19、...次谐波相互抵消,注入电网的只有12k次谐波,即11、13、23、25等各次谐波,且其有效值与与谐波次数成反比,而与基波有效值的比值为谐波次数的倒数。

图3 12脉冲整流器示意图(由2个6脉冲并联组成)
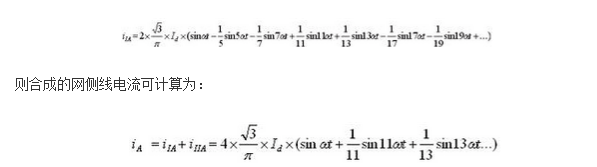
在这种12脉冲的可控硅整流器运行过程中,其本身桥1的网侧电流傅立叶级数展开可得出公式为:

由此可见,在12脉冲的可控硅整流器运行过程中,两个整流桥产生的5、7、17、19、...次谐波相互抵消,注入电网的只有12k(k为正整数)次谐波,即11、13、23、25等各次谐波,且其有效值与与谐波次数成反比,而与基波有效值的比值为谐波次数的倒数。

图4 计算机仿真的12脉冲UPSA相的输入电压、电流波形
以上就是本文针对两种可控硅整流器的运行原理,所进行的简要分析和介绍,希望能够对各位工程师的研发设计工作有所帮助。
相关阅读:
判断可控硅质量的好坏只需4招
造成可控硅调光LED闪烁的几点因素
电路设计:可控硅移相电路的设计



