桃花源qm花论坛(品茶),凤楼阁论坛官网入口网址,一品楼品凤楼论坛最新动态,风楼阁全国信息2024登录入口

你的位置:首页 > 电源管理 > 正文

开关电源应用中,新技术是怎么游刃有余的?

发布时间:2015-10-14 责任编辑:echolady

【导读】电子技术快速腾飞,人们环保意识的逐渐加重,促使电源产品逐渐走向尺寸越来越小,效率越来越高,可靠性越来越高,寿命越来越长,舒适度越来越强。传统的开关电源已经再也无法满足要求,本文讲述的是在70W-500W交流-直流电源中,开关电源采用LLC谐振变换技术,效率要比传统的拓扑开关电源要高得多。

下图所示为一个典型的半桥LLC谐振变换器电路:

开关电源应用中,新技术是怎么游刃有余的?

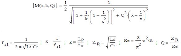
其等效电压传输关系为:
开关电源应用中,新技术是怎么游刃有余的?

fr1为谐振腔的谐振频率

x为开关频率相对谐振频率的归一化值

k为变压器励磁电感量与谐振电感量的比值

Zr为谐振腔特征阻抗

Re为等效的负载交流阻抗

Q为品质因数

根据电压传输关系公式可以画出在不同变量条件下的电压传输关系曲线:

开关电源应用中,新技术是怎么游刃有余的?

参考以上LLC谐振变换器的电压传输比曲线,可以总结出LLC变换器具有以下特点:

1.当变换器设计工作在蓝色区域(ZVS-零电压开关)时,LLC变换器一次侧开关管在全负载范围内实现零电压开通,开关管的开关损耗降至几乎为零。同时,二次侧的整流二极管可以实现零电流开关,几乎不存在反向恢复的问题,从而减少了损耗和对EMI的影响。

2.配合前级PFC电路,LLC变换器可以在宽负载范围内通过调节开关频率来可靠地稳定输出电压。同时,LLC变换器还可以依靠其电压增益调节能力的优势,在不增加输入电解电容容量的前提下,提供更长的保持时间。

3.由于LLC谐振变换器能够实现开关元器件的软开关,开关损耗低,为提高开关频率,减小磁性器件体积创造条件,进而可以保持效率高的前提下,实现开关电源的小型化,高功率密度化,在无风扇散热设计条件下,保持元器件的低温升,从而确保了电源的寿命和可靠性。

开关电源应用中,新技术是怎么游刃有余的?
上图显示的是TDK-Lambda的基于LLC谐振变换技术的全新CUS350M系列电源,无风扇自然冷却式、350W交流-直流医疗电源,其满载效率最高可达94.7%,与传统拓扑的同类电源相比,约有5%左右的提升。

此外,CUS350M系列凭借新技术的应用,实现了1U高度的扁薄紧凑型设计,在自然冷却条件下达到8.7瓦/立方英寸的高功率密度,在业界处于领先水平,其小型化的设计使其适于更多的设备安装需求,自然冷却可以减少粉尘堆积造成的侵蚀,无风扇噪音为使用者营造安静、舒适的应用体验。

相关阅读:

LED开关电源的EMI干扰源就这些了!
制服开关电源适配器的输出电源噪声,两招就搞定!
别小看了开关电源对LED显示屏的作用!

要采购开关么,点这里了解一下价格!
特别推荐
技术文章更多>>
技术白皮书下载更多>>
热门搜索

关闭

?

关闭