【导读】作为工程师要了解功率二极管这个电子元器件的所有方面是很必须的,特别是作为菜鸟级别的工程师。本文就将依次介绍了功率二极管的基础,二极管的发热和温度计算,功率二极管功耗的全计算过程。
功率二极管基础
二极管电流公式:

注意的参数:

Forward-bias(正向偏置恢复时间)

影响条件:
正向电流(电流越大反向时间越长)
反向电压(电压越小反向时间越长)
电流变化速度,速度越快减小恢复时间却会加长存储时间
结温越高同时增加恢复时间和存储时间
[page]
reverse-bias(反向偏置)

影响条件:
正向电流(电流越大正向电压越大)
电流脉冲上升时间(脉冲越陡正向电压越大)
温度影响不大
综合整个过程

计算结温过程(对于脉冲电流的计算方法)


精确计算二极管发热和温度
博主注:这些计算都是有适用条件的(大电流的功率二极管一定要算,一般的二极管就不用算了),所以还没有深入浅出的搞清楚计算的界限。
拟合用的是Mathcad。
计算二级管的散热情况
在设计功率电源的时候,二级管一般损耗比较大,而且为了能够更加精确的去分析,我们来看一下一般的计算过程。
Losses due to forward voltagedrop(正向功耗)
P.f=V.f*I.o
V.f:正向导通电压
I.o:输出电流
Losses due to diode leakage current(反向功耗)
P.r=V.r*I.r
V.r:反向电压
I.r:反向电流
我们假设电路为:

然后把参数罗列出来计算

然后可以计算出来:

我们可以得到什么结论呢:二级管烧掉了。这种逻辑在于,结温直接从85度环境温度上升到半导体的极限150摄氏度。

这里我们假设二级管直接按照最大的热阻和最大功耗,这是有问题和值得思量的,现在我们换种思路:

我们可以发现,二级管其实并不会坏。问题就集中在于二级管的模型没有建立好。
[page]
建立模型很重要,如果按照单个最大值来分析,我们面临的问题是把它的范围放得很大,对于比较临界的问题来说,基本把可以用的元器件排斥在外了。

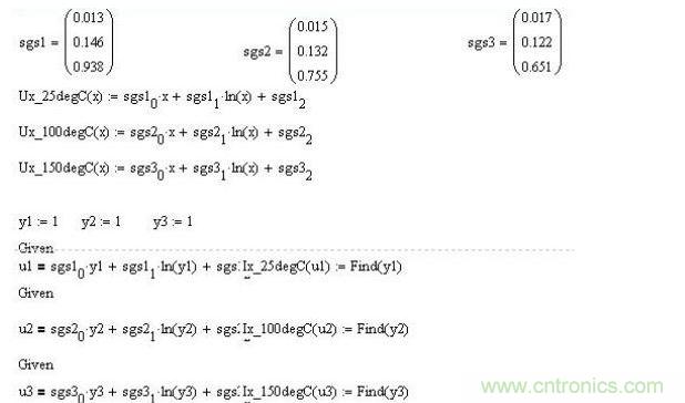
因此我们需要仔细建立模型,正向电压的过程如下:
蓝色为从图中抓取的数据,红色为我们知道的PN结模型,下面一个红色的为曲线拟合过程:


结果如下:

反向电流也是同样地:

这些做完以后我们可以很精确的知道,温度,电压这些对于管子的实际影响了。
功率二极管的功耗计算
前面关于功率二极管,基础,热阻,正向压降都已经涉及到了。在这里需要补充全计算过程:


正向压降功耗:
算法1:
P.f=V.f*I.o
V.f:正向导通电压
I.o:输出电流

算法2:
Vf=Vo+If*Rs
Pf=Vo*If+Rs*If^2

反向电流功耗:
这个值不太好估计,因为Vr也在变化,因此我建议以实测为主:

实测:

然后可测得电压下降波形进行计算。
漏电流功耗:
P.r=V.r*I.r V.r:反向电压 I.r:反向电流





