【导读】近年来越来越流行感应无线电力传输,许多手机制造商都采用感应电力传输的无线充电功能,而这项技术基本应用于便携设备中。本文详解了低成本分立式的无线充电器解决方案。
基本理论
基于感应电源的无线电力传输的基本理论非常简单。众所周知,交流电场将产生磁场,交流磁场也将产生电场。在发射机中,直流电源转换为交流电,并产生交流电场。在接收机处,线圈拾取来自交流磁场的电源,并将交流电转换成直流电作为输出负载。
发射线圈和接收线圈彼此分离,泄漏电感大且耦合系数小。因此,传输效率非常低。为提高传输效率,必须采用一个补偿电路。常用方法就是在发送机侧和接收机侧分别放置一个补偿电容,形成一个带有发送线圈和接收线圈的谐振电路,用于改善电源传输。图1显示了两个补偿电路方法的拓扑结构。通常情况下,在发送机侧放置一个电容以形成带有发送线圈的串联谐振电路,而在接收机侧有两种不同的拓扑结构。一种是形成带有接收线圈的串联谐振电路的电容,另一种是形成带有接收线圈的平行谐振电路的电容。

图1:两个谐振电路拓扑结构。
电压传输函数如下所示:

[page]
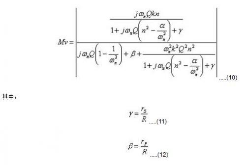
Cp和Lp为发射机侧发送线圈的串联电容值和电感值,而Cs和Ls为接收机侧接收线圈的串联或平行电容值和串联电感值。M为互感系数。ω0为谐振频率。ωn为标准化工作频率。n为两个线圈电感的比率。Q为品质因子。K为耦合系数。α为发射串联电容与接收电容的比率。R为输出负载。

图2:带有电感串联电阻的串联谐振电路。
在方程式2中,没有考虑线圈的串联电阻。如果变更电路模型,如图2所示,串联谐振电路的电压传输函数亦会发生变更,如下所示。

而且,平行谐振电路的方程式相似。
有些参数对无线充电器系统产生影响。在无线充电器应用中,大多数系统接收机使用串联谐振电路。因此,下文将仅讨论串联谐振电路。
(1)品质因子:
在方程式6中,Q被称为品质因子。发射线圈或输出电阻的变更会影响Q值。在无线充电器系统中,工作点被设定在谐振频率处。发射谐振频率和接收谐振频率总是相同。所以,我们感兴趣的是谐振频率的电压传递函数值(ωn=1)。图3显示了Q值的系统电压传输函数变化。

图3:具有不同质量因子的电压传输函数。
从该图可以看出,当Q值变小时,在谐振频率点的电压传输函数曲线变得更明显。在这种情况下,电压传输函数对频率非常敏感,且输出不易于保持稳定。另一方面,当Q值变大时,谐振频率处的曲线变化变慢,但电压传输函数变得非常低。为了得到相同的输出电压,必须在导致极低效率的发射机处施加更大的输入电压和电流。因此,需要慎重选择合适的Q值。通常,Q值范围从4到6.
(2)耦合系数
在方程式7中,K被称为耦合系数。众所周知,发射机产生磁通。到达接收机的磁通越多,说明线圈耦合得越好。耦合系数用来测量该耦合级别。耦合系数取值在0和1之间,其中0表示发射线圈和接收线圈独立,1表示发射线圈和接收线圈完全耦合。当线圈完全耦合时,发射线圈产生的磁通完全被接收线圈搜集。

图4:具有不同耦合系数的电压传输函数。
图4显示了耦合系数如何影响电压传输函数曲线。从该图中可以发现,有一个k值,在此处电压传输函数达到峰值,这表示已实现最佳性能。因此,良好的线圈耦合对获得更好的系统性能非常重要。
[page]
WPC无线充电器标准
无线充电联盟成立的宗旨是建立一个关于短距离移动装置无线电力传输的标准,该标准被称为「Qi」标准。WPC标准定义了低功率无线装置中的感应耦合工作方法,以及电力发射机与接收机之间的通讯协议。它还规定,从发射机到接收机的最大功率为5瓦,发射线圈与接收线圈之间的典型距离为5毫米?;鞠低呈疽馔既缤?所示。WPC标准下的任何装置均可与其他符合WPC标准的任何装置一起使用。在Qi标准V1.1中,增加了异物侦测(FOD)功能。

图5:基本系统。
(1)电力发射机
在WPC标准中,有三种电力发射机类型:引导定位、移动线圈自由定位及线圈矩阵自由定位,如图6所示。

图6:三种电力发射机定位类型。
对于引导定位,接收线圈中心必须与发射线圈中心对准。否则,传输电源和传输效率均将显著降低。因此,发射线圈和接收线圈使用两个磁体对齐并汇聚磁力线。
自由定位发射机是一款很好的发射机类型,因为它可让一般使用者的无线充电更加便捷。有两个子类型来实现这一功能。一个是移动发射线圈,另一个是发射线圈矩阵。在第一类型中,当接收机位于发射机表面上时,发射机移动线圈以对齐接收线圈,然后进行电力传输。在第二类型中,发射线圈由线圈矩阵形成。当接收机位于发射机上时,接收线圈周围的一个或多个线圈将被启动,并将电力传输到接收机。
电力发射机有一个直流-交流区块。例如,一个半桥被连接到一个串联谐振电路。对于不同的发射机,Cp和Lp参数及输入电压会有所不同。直流-交流切换开关的操作频率在110 KHz时正常,但有可能会变化至205 KHz以进行电力控制。谐振回路也用于优化电力传输。
电力发射机还有一个通讯区块,用于解调从接收机收到的电力传输控制信息。该通讯区块由电压或电流感测电路形成。
(2)电力接收机
电力接收机通常是一款便携设备,其硬件设计比发射机更加简化。它通常包括四个部份:电力拾取区块、全桥整流电路、电压调节区块和通讯控制区块。
电力拾取区块由包含一个接收线圈(Ls)和一个串联谐振电容(Cs)的串联谐振电路组成。谐振回路用于优化电力接收。平行电容提供一个平行谐振电路,用于侦测接收机。
全桥整流器用作交流至直流转换电路,该电路将接收到的波转换成稳定电压。电压调节区块是一条直流-直流电路,用于将接收到的较高电压转换为负载所需的电压。通讯控制区块用于到电力发射机的传输电力控制信息(例如,控制错误包),以调整电力发射机的电力传输操作点或其他状态。
(3)通讯
根据WPC标准,发射机和接收机之间的通讯是单向通讯。通讯方向是从接收机到发射机。电力接收机通过变更阻抗(例如,电阻或电容)调整功率量,此操作会引起发射线圈电流或线圈电压的周期性变化。发射机可侦测用于解调通讯信息的线圈电流或线圈电压的变化。该标准定义了逻辑高电平和逻辑低电平之间发射线圈电流或线圈电压振幅的最小振幅差,分别为15mA和200mV.
WPC标准还定义了通讯中的数据格式。在每次数据传输中,将传输一个数据报。数据报由一个位同步前导码(>11位1)、一个表示数据报类型的字节讯息头、讯息信息(1…… 27个字节)和一个总合检查字节组成。一个数据字节是一个11位串行格式。此格式由1位起始位、8个数据位、1个奇偶校验位和1位停止字节成。起始位是一个0.数据位的顺序是最低位最先。奇偶校验位是奇数,停止位是一个1.数据位按差分双相代码格式编码,且其速度为2Kbps.数据格式如图7所示。

图7:数据格式。
(4)电力传输系统控制从电力发射机到电力接收机的电力传输包括WPC标准所定义的四个阶段,分别是选择阶段、Ping测试阶段、识别和组态阶段以及电力传输阶段。各阶段之间的关系如图8所示。

图8:系统控制流程。
[page] A.选择
在此阶段中,电力发射机检测其表面物体的放置或移除情况。电力发射机可通过多种方法实现这个功能。如果电力发射机侦测到一个或多个物体,它将尝试定位这些物体并区分潜在的电力接收机和异物。在一些情况下,电力发射机应尝试选择一个原电池和一个电力接收机,用于电力传输。如果电力发射机选择一个原电池和一个电力接收机,它应进入ping测试阶段。另一方面,如果电力发射机无法识别潜在的电力接收机或逾时,它将进入操作的待命模式。
B. Ping测试
在ping测试阶段,电力发射机应执行一次数字讯号ping测试,检查潜在的电力接收机是否为电力接收机或该接收机是否需要电力传输。因此,电力发射机在65ms的最大时期内在初级线圈提供电力。电力接收机必须在该时间内通过负载调变的方式进行回复。完成ping测试阶段后,系统将进入下一阶段,即识别和组态阶段。如果没有完成ping测试阶段,系统将返回前一阶段,即:选择阶段。
C.识别和组态
在识别和组态阶段中,电力发射机将识别电力接收机,且电力接收机将传输组态信息,如电力接收机的基本装置标识符、电力接收机期望提供到整流器输出端的最大功率量以及提供到电力发射机的最大功率量。电力发射机接收此信息,并调整工作点,然后进入电力传输阶段。如果电力发射机不能从电力接收机处正确接收识别和组态信息,无论何种原因,如电力接收机可能没有发送数据报或电力发射机可能没有解调所需信息,电力发射机都将返回到前一阶段,即:选择阶段。
D.电力传输
在电力传输阶段,电力发射机将向电力接收机提供连续电力,并调整电力传输工作点,以响应从电力接收机收到的控制数据。在电力传输阶段,电力发射机应监测电力传输参数。如果任何参数超出限定值,它将中断电力传输并返回到选择阶段。最后,电力发射机从电力接收机处收到结束传输包时将结束电力传输。例如,当电池充满时,电力接收机不需要再对电池充电。此时,它应发送结束电力传输包信息到电力发射机,以结束电力传输。然后,系统将返回到选择阶段。系统将保持在前三个阶段,直到新的电力接收机放置于电力发射机上或组态信息变更。
分立式无线充电器解决方案
我们可以使用一些分立式装置轻松设计出符合上述Qi标准的无线充电器系统。图9显示了无线充电器分立式解决方案之一。

图9.分立式无线充电器解决方案。
在发射机侧,微控制器单元(MCU)用于控制整个发射机的功能。该MCU产生一个脉宽调变(PWM)波来驱动闸极驱动器。PWM的频率和占空比由MCU控制。MCU根据从接收机收到的错误控制包控制这两个参数。FAN73932是一款半桥闸极驱动器,它把收到的矩形波转换成两个非重迭讯号,以驱动低端和高端MOSFET产品。直流-交流功能通过该装置和两个N信道MOSFET产品实现。发射线圈由交流波驱动。串联电容用于形成一个带有发射线圈的串联谐振电路,以实现更好的电力传输性能??赏ü庵址绞酱涞缌Α?br />
FAN8303是一个为MCU电源提供5V电压的直流-直流转换器。其他部分用于通讯。电容用于捕捉来自线圈的电压,并将该电压送到MCU ADC,以获取通讯信息。我们也可使用一个感应电阻和一个电压放大器,以检查发射线圈的电流变化。
在接收机侧,也使用一个MCU来控制接收机的所有动作。带有接收线圈的串联谐振电路由一个电容形成。当接收线圈位于发射线圈上时,可以在该串联谐振电路末端获得交流电压。交流-直流功能通过具有两个N信道MOSFET产品和两个二极管的全桥整流器实现。直流电压在该电路输出端实现。该电压可通过稳压电容实现稳定。此电压通过直流-直流转换器(FAN8303)实现转换,并在FAN8303装置的输出端可获得用于MCU电源的5V稳定电压。当MCU上电时,它控制两个MOSFET产品与发射机进行通讯。整个无线系统通过这种方式进行组态。完成正确组态后,MCU将打开输出开关。输出电压也可用于为便携设备充电。充电电流和输出电压由MCU监测,以获知何时需要结束充电。
在软件方面,图10显示了无线充电器发射机和接收机的简要流程图。

图10:软件流程图。
通过这种无线充电器系统,系统可获得效率约为69%的5W充电电源。
相关阅读:
深度挖掘无线充电,这些盲点你必须知道!
无线充电要想普及,必须攻克的“三大难点”
无线充电各种原理和方案的比较





