桃花源qm花论坛(品茶),凤楼阁论坛官网入口网址,一品楼品凤楼论坛最新动态,风楼阁全国信息2024登录入口

你的位置:首页 > 电源管理 > 正文

移动电源电路的三种设计方案,哪个技高一筹?

发布时间:2015-01-23 责任编辑:echolady

【导读】便携产品的普及使得移动电源面临着挑战。移动电源是便携产品的衍生品,同时也是必需品。随着锂离子电池的发展,移动电源也面临着体积越来越小,容量越来越大,续航能力越来越强的挑战。这就对移动电源电路的设计要求越来越苛刻,本文主要讲解了移动电源设计的三种方案。

移动电源电路的三种设计方案,哪个技高一筹?
图1 Charger IC + Boost IC 方案。
移动电源电路的三种设计方案,哪个技高一筹?
图2 MCU + Charger IC + Boost IC 方案。
移动电源电路的三种设计方案,哪个技高一筹?
图3 MCU + Combo IC 方案。

电路方案

目前移动电源的电路方案大致上可分为三种,第一种方案是Charger IC + Boost IC,此种方案利用Charger IC对移动电源的锂电池充电,Boost IC对移动装置放电,如图1所示。第二种方案是MCU + Charger IC + Boost IC,除了第一种方案的部分外,多了MCU对锂电池及输入输出电压作侦测,此种方案目前比较常见,如图2所示。第三种方案则是MCU + Combo IC,此种方案是将Charger IC及Boost IC整合成一颗IC,可以减少零件的数量,节省PCB空间,如图3所示。而本文将针对目前比较常见的第二种方案做详细介绍。
[page]
移动电源电路

这几年,随着便携式产品不断成长,移动电源的需求也持续增加,轻薄小巧、快速充电、转换效率高及高安全性等也成为消费者购买移动电源时的首要考虑,为了满足消费者的需求,许多公司都推出移动电源解决方案,在此我们以沛亨半导体所开发的AIC6511及AIC3420作为设计范例,提供给读者参考。

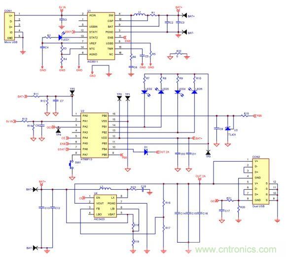
从上一节可以得知,一个完整的移动电源电路包含了电池充电管理IC、升压转换器IC及MCU,每个部分都会影响移动电源的整体效能,所以选用适当的IC是非常重要的。图4所示为本文所要介绍的移动电源电路,主要由AIC6511锂离子电池充电转换器、AIC3420升压转换器及MCU所组成。底下将针对所提出的移动电源电路做详细的说明。

移动电源电路的三种设计方案,哪个技高一筹?
图4 移动电源电路。

A. 锂离子电池充电转换器


锂离子电池是目前应用最广泛的可重复充电式电池,可将单颗锂电池用于低功率产品,也可以将多颗锂电池串并联得到更高电压与容量,例如移动电源就是将多颗锂电池并联来获得高容量。锂电池具有能量密度高、自放电率低、无记忆效应、寿命长、重量轻等优点,非常适合做为便携式产品的电力来源。

锂电池充电IC分为线性式及切换式两种,线性式充电IC的成本低,IC接脚数较少,只需要少数的被动组件。然而线性式充电IC有较大的功率损耗,若设计不好?;岬贾翴C温度过高,且一般移动电源大多使用散热较差的塑料外壳,使得线性式充电IC无法提供较大的充电电流,因此线性式充电IC通常比较适合低容量锂离子电池应用。若希望在短时间之内将电池充饱,则必须要提高充电电流,此时可以考虑应用切换式充电IC。切换式充电IC利用开关的高频切换来达到能量的传递,可提供较大的充电电流,且具有高转换效率不会有过热现象,适合高容量电池的充电应用。

充电过程中,当电池电压上升到4.2V时,要立即停止充电,以避免电池过充而产生危险,而当电池放电时,电池电压如果降至2.5V以下,要立即停止放电,以免电池过放而减少电池的使用寿命。除此之外,锂电池在应用上,还会加上短路?;さ缏?,防止锂电池因短路而造成危险。

锂电池对充电要求很高,需要精密的充电电路以保证充电的安全,尤其要求终止充电电压精度在额定值的±0.5%之内。目前锂电池充电最常采用三段充电法,即预先充电模式(Trickle Charge Mode)、定电流充电模式(Constant Current Charge Mode)、定电压充电模式(Constant Voltage Charge Mode)。充电IC在充电前会侦测电池的状态,若电池电压大于3V,将以定电流充电模式充电;若电池电压低于3V,则以预先充电模式(约10%的定电流充电模式充电电流) 充电,到接近终止电压时,改为定电压模式充电,此时电池电压几乎不变,但充电电流会持续下降,当充电电流降到某一值时(约10%的定电流充电模式充电电流),充电电流会被关闭,完成充电。图5所示为采用三段充电法的锂电池充电特性曲线。

移动电源电路的三种设计方案,哪个技高一筹?
图5 采用三段充电法的锂电池充电特性曲线。
 
[page]  
B. 锂离子电池充电转换器

AIC6511是一个高度整合的切换式锂离子电池充电管理IC,具有高精度的电流及电压调节能力,适合使用在单颗锂电池的充电应用,当电池电压接近输入电压时,将会进入责任周期为100%的工作模式持续对电池进行充电,而其本身高达1.6MHz的切换频率,将有助减少外部零件的尺寸。此外,其也具备提供充电状态指示及电池移除侦测机制,支持USB mode及AC Adapter mode两种输入模式,最大可以输出2A的充电电流,充电电流可由外部电阻来决定。预先充电电流(Trickle Charge Current)可以由下列公式计算:
移动电源电路的三种设计方案,哪个技高一筹?
定电流充电电流(Constant Current Charge Current)可由下列公式计算:
移动电源电路的三种设计方案,哪个技高一筹?
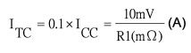
当使用USB电源做为输入时,则可对输入电流做限制使输入电流可以低于USB电源所能提供的电流,避免USB电源进入过流保护,输入电流限制设定值的计算公式如下:
移动电源电路的三种设计方案,哪个技高一筹?
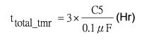
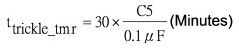
此外,安全定时器(Safety Timer),可避免因电池损坏时充电时间过长,造成危险。只要充电时间达到设定的安全计时时间,即便电池还未达到终止电压,充电IC也会关闭充电电流,停止充电。安全计时时间可以透过电容C5来设定,预先充电(Trickle Charge)模式下之安全计时时间可由下列公式计算:
移动电源电路的三种设计方案,哪个技高一筹?
定电流充电(Constant Current Charge) 模式下之安全计时时间则可由下列公式计算:
移动电源电路的三种设计方案,哪个技高一筹?
为避免电池高温充电,并提高安全性,IC透过负温度系数(NTC, Negative Temperature Coefficient)热敏电阻来侦测电池温度,当温度过高或过低时,IC会马上终止充电,只有在电池温度维持在安全范围内(通常是0~45℃)时,才会对电池进行充电。而为了防止电池放电到输入端,内建的休眠模式(Sleep Mode)功能,当输入端电压低于电池电压时, P-channel MOSFET Power Switch将会关闭以防止电池对充电IC或输入端进行放电。

另外,短路?;?Short Circuit Protection)功能、过电流?;?Over Current Protection)功能及过温度保护(Over Temperature Protection)功能,当输出发生短路时,短路保护功能启动,电感电流会被限制住且切换频率也会降低以减少损失;IC本身也会侦测流经内部功率开关的电流,当功率开关的电流过大时,过电流?;すδ芷舳?,限制住功率开关的电流不再往上增加,以?;つ诓康那谢豢兀淮送?,当IC结面温度达到150oC时,过温度?;すδ芙崞舳琁C会停止充电,直到IC温度降至120oC,才回复充电。

C. 升压转换器与MCU

AIC3420是一个具轻载高效率的同步升压DC-DC转换器IC,最低输入启动电压为0.9V,可以使用单颗锂电池做为输入电源,最大输出电流可达2.1A,适合较大电流的应用。当负载操作在轻载时,IC会切换至PSM (Pulse Skipping Mode) 模式降低待机的功率损失,提升轻载效率。True Shutdown功能,使IC 进入Shutdown模式时,输出电压降为0V。而零电流侦测(Zero Current Detection)功能让电感电流不会有倒灌现象,可大幅改善轻载效率,最高效率可达94%,对移动电源来说可以更有效率的放电。

另外,柔性启动(Soft Start)功能以限制启动时输出电压的过冲(Overshoot)及涌浪电流(Inrush Current),避免IC及零件的损坏。而AIC3420本身也具有短路?;ぁ⒐缌鞅;?、过温度保护及过电压?;すδ?。

本文所介绍的移动电源电路中,MCU的主要功能为输入电压侦测、输出电压侦测、电池电量状况显示以及输出过电流?;さ?。电路中,LED将显示电池的电量,可以让使用者知道电池的电量状况。而当输入及输出电压过高或过低时,MCU会送出讯号关闭IC;另外,当发生输出过电流时,MCU也会关闭IC来?;さ绯丶癐C。

相关阅读:

选购必知:移动电源购买指引和使用建议
移动电源方案哪种强?串联还是并联?
移动电源市场水有多深?一看你便知

要采购转换器么,点这里了解一下价格!
特别推荐
技术文章更多>>
技术白皮书下载更多>>
热门搜索

关闭

?

关闭