【导读】本文将探讨了初级峰值电流和VDD电容器的设计,并将用实验结果验证理论分析计算,并根据等式选择了适当的参数,最后通过实验结果验证了该分析。
摘要
UCC28700器件是一款初级控制反激式电源控制器,支持恒压与恒流调整。该器件不仅可针对电压及电流调整提供高分辨率,而且还具有极低的无负载功耗以及良好的启动性能,非常适合低功耗适配器及辅助电源应用。与同类竞争产品相比,UCC28700器件不仅具有更好的性能,而且所需的VDD电容器容量更小。客户可能遇到过UCC28700器件无法启动恒流满负载、但可启动电阻满负载的情况。其真正的原因是VDD电容器的值不够,而且初级峰值电流设计得太小。本文将探讨初级峰值电流和VDD电容器的设计,并将用实验结果验证理论分析。
1.介绍
UCC28700是一款恒压、恒流反激式控制器,无需使用光耦合器便可实现一次侧稳压。图1是UCC28700的应用电路。
图1:UCC28700应用电路
在图1中:
RSTR 是高电压启动电阻;
CDD 是 VDD 引脚上的蓄能电容器;
RS1 是高侧反馈电阻;
RS2 是低侧反馈电阻;
RCBC 是可编程线缆补偿电阻;
RCS 是初级峰值电流编程电阻;
RLC 是 MOSFET 关断延迟的补偿编程电阻。
初级峰值电流是UCC28700在恒流满负载条件下启动的一个重要因素。接下来将我们将进行详细分析。
2.分析
图2是UCC28700的二次侧电路,IS=IC+IL。如果在启动开始时UCC28700器件的负载是电阻,则VO会从零上升,而且 IL 已经足够低了,无需高Is。但如果该器件的负载是恒流,而且负载电流较大,就需要高IS来使IC保持为正,以缩短输出电压从0上升到VOCC所需的时间。VOCC是最低目标转换器输出电压,它会让辅助匝电压等于 VDD引脚上的UVLO关断电压。

图2:UCC28700二次侧电路
对于CDD、CO和变压器而言,可提供下列等式。等式4中提供了1mA的电流裕度。
注:NP是变压器的一次匝数,NS是二次匝数,NA是辅助匝数。
(1)
(2)
(3)
(4)
(5)
其中:
VDD(off)是UVLO关断电压。
VDD(on)是UVLO开启电压。
Irun是UCC28700工作时VDD引脚上的电源电流。
VDD是CDD电压。
ΔVDD是CDD上降低的电压。
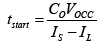
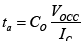
ta是输出电压从0上升到VOCC时所用的时间。
根据上述等式,如果IS值为低,IC就将为小,因此输出电压上升到VOCC所需的时间ta就会较长。但在这段时间里,VDD可能会下降至VDD(off) 以下,而且UCC28700器件可能会进入UVLO状态,停止开关。随后通过RSTR的电流可为CDD充电。在VDD比VDD(on)高时,该器件会重新启动。尽管故障启动会继续,但UCC28700器件无法进入正常状态。
在等式4中,如果CDD足够大,ΔVDD对于特定ta而言将为小。因此,大容量CDD值和高初级峰值电流会让 UCC28700顺利启动。但是,大容量CDD值意味着较高价格和较大尺寸,而且高初级峰值电流会增大功耗及变压器尺寸。因此选择CDD和初级峰值电流需要进行权衡。
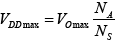
在正常工作中,VDD由辅助绕组电压决定。如果VO达到其最大值,VDD也会达到其最大值。该关系如等式6所示。
(6)
从等式2、3和6可以看出,如果NA增大,ta就会减少,这将有利于UCC28700的启动。因此NA也应该选择较大值,同时还必须为VDD提供电压裕度。
[page]
3.设计
除CDD和RCS之外,所有器件值都与UCC28700EVM-068 5-W USB适配器[1]原理图一样。图3摘自UCC28700产品说明书[2]。IS可使用等式7计算,这里ηXFMR是估计的变压器效率。
变压器效率受铁芯及绕组损耗、漏感比以及偏置功率与额定输出功率之比的影响。以一个5V、1A的充电器为例,1.5%的偏置功率是良好的估算值[1]。90%的整体变压器效率是约略估计,其中包括3.5%的漏感、5%的铁芯损耗及绕组损耗以及1.5%的偏置功率[1]。
最大初级峰值电流IPP出现在启动开始的时候,随即UCC28700器件会进入恒流调节状态,保持0.425的恒定二次二极管导通占空比。
该变压器是EVM上的WE 750312723,NP/NS=15.33、NP/NA=3.83,饱和电流为440mA。

图3:变压器电流
(7)
在启动开始时,输出电容器的平均充电电流为正值,充电电流等于(IS-IL),如等式1所示。在VO上升至VOCC之前,辅助匝电压低于VDD,此时CDD无法通过辅助匝充电。但在此期间,CDD会被Irun和栅极驱动电流放电。如果 VDD低于VDD(off),UCC28700器件就会关断。为确保器件顺利启动,在ta内VDD必须大于VDD(off)。在等式8和等式9中,应用了一个临界条件。Tstart是VO从0上升至VOCC的时间。等式2是VOCC和VDD(off)的关系。在等式8 中,有1mA的估计栅极驱动电流,而且为VDD添加了1V的裕度。VCST是芯片选择阈值电压。在启动开始时,UCC28700 VS引脚上的电压为低,因此VCST保持其最大值。
(8)
(9)
(10)
如表1所示,UCC28700器件有更好的恒流(CC)调整性能,更高的最大工作频率,其可最大限度缩小解决方案尺寸。待机功耗不足30mW,符合五星评级要求。更高的最大VDD,可缩小VDD电容器值。在表1中突出显示的三种产品中,UCC28700器件是设计5V适配器的最佳选择。UCC28700器件可选择更高的NA/NS,因为根据等式2,它具有更高的最大VDD,可实现更短的tstart(见等式9)。在等式8中,tstart与CDD成正比,因此在设计中需要较小的CDD。

表 1:参数比较表
4.实验
为验证上述分析,我们使用了一款UCC28700EVM-068 5-W USB适配器。除了CDD和RCS外,所有器件值均保持不变,CDD=4.7μF、RCS=1.8Ω。负载为恒定电流1A。
图4是UCC28700的启动波形,CH1是MOSFET栅极驱动信号,CH3是输出电压。该器件启动顺畅,没有过冲和声频噪声。该图显示,UCC28700器件有非常好的启动性能。在图4中,tstart接近18ms,与计算结果吻合。

图4:UCC28700启动波形
图5、图6和图7是比较性实验。CH1是VDD电压,CH3是输出电压。
在图5中,CDD=4.7μF,RCS=2.05Ω:由于初级峰值电流不够大,VDD下降到VDD(off)之下,因此UCC28700器件无法启动。
在图6中,CDD=4.7μF,RCS=1.8Ω:初级峰值电流增大,因此能观察到良好的启动性能。
在图7中,CDD=4.7μF,RCS=2.05Ω:UCC28700器件无法启动,因为CDD的容量不足以提供足够的能量。
实验结果说明,大初级峰值电流和大容量CDD都能让UCC28700在恒流满负载下成功启动。这些结果印证了上述分析。

图5:CDD=4.7μF,RCS=2.05Ω时的UCC28700启动波形

图6:CDD=4.7μF,RCS=1.8Ω时的UCC28700启动波形

图7:CDD=1μF,RCS=1.8Ω时的UCC28700启动波形
5.结论
比较结果说明,UCC28700器件在CV及CC调节、解决方案尺寸、待机功耗和VDD电容器值方面具有更优异的特性。在本研究过程中,我们对初级峰值电流和VDD电容器进行了分析计算。随后根据等式选择了适当的参数,然后通过实验结果验证了该分析。




