【导读】本文提出了一种适用于锂电池的电流监测电路,通过在锂电池供电环路引入灵敏电阻对电流进行采样,并使用时钟控制开关电容运算放大器和高速比较器,实现从模拟信号到数字信号的转换。在处理器中进行精确电流量的运算,能对过流、短路电流进行?;?,也能用于精确计算电池阻抗、电量等相关参数。电路基于 0.18 m CMOS工艺,电源电压为2.5 V。对所设计电路进行了仿真验证。结果表明,该电路在- 40℃~+125℃应用环境温度范围内能够实现对电流的采样和编码功能,并且能对充放电动作进行判断。
锂电池作为新型清洁、可再生的二次能源,需精确监测其电流、电压及温度等参数,并做好相应的保护电路。对于手持设备而言,更需要追求高精度、低功耗,从而降低对锂电池的“过度”使用,延长使用寿命。
本文设计的电路在锂电池供电环路中引入灵敏电阻对电流进行监测,给系统提供充放电提示,同时可用于电量计算以及?;た刂啤?br />
本文将详细阐述电流监测系统原理以及内部电路结构,并给出H-spice仿真结果及相关结论。
1 本文所设计的电流监测电路
模/数转换器(ADC)由采样、量化和编码构成。本文设计的锂电池电流监测系统框图如图1所示。其中,电容和AMP放大器组成开关电容采样电路,C0MP高速比较器对数据进行量化,处理器对电路进行数字逻辑控制及编码。偏置电路提供AMP放大器自启动支路并产生Vbe1和Vbe4。时钟??榭刂葡低晨?,包括LII、LI2、LI5、LI6、LI38。处理器输出数字信号Logic Control改变量化电容。

图1 锂电池电流监测系统框图
[page]
1.1 开关电容采样电路
如图2所示,通过V+和V-间的灵敏电阻进行采样;。Vbe1和Vbe4是由BE结产生的电压基准;C3容值用n(2的倍数)表示(C为单位电容值,C1=C2=1C,C3=C4=nC,C5=8C);时钟控制为高时开关导通,为低时开关断开。采样电路的5个状态如图3所示。

VOUT = VB = Vbe1 (1)
(2)LI1、LI2、LI38、LI5、LI6=10001,开关切换后状态2保持状态1,则VOUT = Vbe1。
(3)LI1、LI2、LI38、LI5、LI=00000,开关全断开,保持上一状态, VOUT = Vbe1。
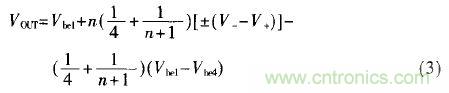
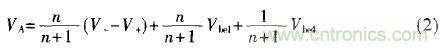
(4)LI1、LI2、LI38、LI5、LI6=01010,V+、 V-切换,Vbe1、Vbe4也切换。根据C1、C3电荷守恒定律得:
由运放特性可知VB =VA 。已知 VA、VB 可以得到VC1 = VA - Vbe4, VC2 = VB - Vbe1, VC3 = VA - V-, VC4 = VB - V+, VC5 = VB - VOUT, 依据C2、 、C5电荷守恒定律得:

其中, V- - V+的正负由互不交叠时钟LI1、LI2控制,当LI1在状态l为高时, V- - V+取正; 当LI1在状态1为低时,V- - V+取负。每隔一定周期控制LI1、LI2切换,V+、V-的接法可用于实时监测电池充放电状态。根据式(3)和图1可知,VOUT与Vbe1通过比较器比较将产生△V 的差值,这时改变采样并联电容n的值可调节△V ,起到量化作用。
(5)LI1、LI2、LI38、LI5、LI6=00000,所有开关断开, oUr保持上一状态。
[page]
1.2 AMP放大器电路
AMP放大器电路如图4所示,主要包括:(1)自偏置电路,由 MPI3~MPI9、QPI1和QPI4组成;(2)两级运放,包括MPI26、MPI27组成的全差分放大器、MNI25共源放大器和MNI24、 CIl5组成的米勒补偿。其中,LI12与LI17为差分输入;LI26为复位信号;H??槲稚系绲缏?;Vbe1与Vbe4为基准输出;LI22为运算输出端。

图4 AMP放大器电路图
自偏置电路有使能信号,若工作异常可直接关断电路。当LI26为低时,MPI9关断,MPI5和MPI6导通,电路正常工作,MPI4、MPI6和MPI8构成启动支路,则:
VCC≥2 VMPgs +Vbe (4)
其中,VMPgs是PMOS的Vth,Vbe是二极管开启电压。只要VCC满足式(4),电路就能正常启动。但在设计中需考虑衬偏效应对阈值的影响,VCC比计算值略高。QPI1和QPI4发射极面积比为1:4,由此可得Vbe1与Vbe4差值为VTln4。当LI26为高时,MPI9导通,MPI5和MPI6关断,电路被关断。
AMP放大器带有米勒补偿,交流小信号等效电路图如图5所示。其中,gm1、gm2 分别为第一级和第二级跨导。增益表示为:

图5 AMP放大器交流小信号等效图
其中,Rout1、Rout2分别为第一级和第二级的输出电阻,且Rout1是Rds_MPI27、Rds_MNI26的并联,Rout2是Rds_MPI11、Rds_MNI25的并联,C1为等效负载电容。为了使系统稳定,需对整个环路的零极点进行分析:

1.3 COMP高速比较器电路
如图6所示, 电路由MN1~MN6和MP1~MP4组成。IN1与IN2为输入端;OUT1与OUT2为输出端;LG99由数字时钟控制,实现复位功能。

图6 COMP高速比较器电路
电路采用正反馈技术,速度得到大大提高。当LG99为低时,MP3、MP4导通,MN5、MN6关断电路,OUT1、OUT2抬高,后端触发器处于保持状 态。而LG99为高时,MP3、MP4关断,MN5、MN6导通。此时若IN1大于IN2,则V 减小,使OUT1减小;OUT1作用于MP2与MN2,使OUT2被抬高;而OUT2作用于MP1与MN1,使OUT1被拉低,形成正反馈。反之亦然,只 要IN1与IN2之间存在压差都会在输出上快速响应。
[page]
2 仿真结果与分析
本文采用0.18μm CMOS工艺,使用H-spice对数字时钟、AMP运算放大器、偏置电路和高速比较器进行了仿真验证。
图 7为AMP放大器交流小信号仿真数据,其中复位信号LI26为低,在LI12上加入AC=1的交流小信号。对-40℃ 、25 ℃、125 ℃ 3种温度进行AC扫描,可知:(1)当增益降为O时,相位裕度仍保持90?以上;(2)在不同温度下,增益与相位裕度受影响不大,系统处于稳定态。

图7 不同温度下放大器增益与相位裕度曲线
图 8为COMP高速比较器静态工作点仿真数据,其中LG99为复位信号,IN1为1.200 V,对IN2在1.200 V~1.210 V范围进行瞬态扫描。若IN1=IN2,则输出应高于数字触发电平,以保证时序的正确性。仿真后可知:(1)电路存在失调电压,IN2增加时,有少量输出 与数字逻辑不符;(2)输入相等时,输出静态工作点为1.5 V,能保证后端触发器保持;(3)输入差值不大于5 mV就能很快将输出置高或置低。

图8 高速比较器静态工作点仿真曲线
图 9为采样电路整仿数据,SRP、SRN为锂电池电流采样端,典型差值范围为-125 mV~125 mV;LI22是运放输出。输入差值从125mV变化到5mV再跳变到-125mV,采样端电压变化所对应的输出会依据信号的大小进行量化,且通过输出的 高低来判断工作在充电还是放电状态。但切换开关瞬间可能产生时钟馈通效应,该电路增大了运放输入端的寄生电容,有效减小了频繁切换开关对输出的影响。

图9 采样电路整仿曲线
采样电路整体仿真并不完整,当SRP与SRN的差值实时变化时,采样电路跟随变化的能力如图10所示。固定SRN 的电压为0V,在SRP上加入正弦波信号进行扫描,从图中可知放大器输出会跟随SRP的变化而变化,采样的分辨率能够达到要求。
本 文设计了一种适用于锂电池的电流监测电路,能精确监测电流及充放电状态。这些信息可用于控制保护电路的启动,且能用于精确计算电池阻抗、电量等参数。电路 添加了使能控制,当工作异常时可关断电路。并且通过偏置的设置可调节MPI3、MPI4、MPI7、MPI8管(如图4所示)的宽长比,从而获得更低功 耗,提高电池使用寿命。

图10 采样电路跟随功能仿真曲线




