前章小编为大家介绍的是《单激式开关电源的基本电路》,接下来将给大家带来是“漏感与分布电容对输出波形的影响”相关知识中的两个精华的方面:对漏感与分布电容的影响进行数学分析;电源开关管的过压?;さ缏?。具体专业知识大家请详见以下内容!
对漏感与分布电容的影响进行数学分析
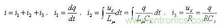
图4中,当电源开关管Q1导通时,设输入电压为U,流过Ls的电流为 i,流过Cs的电流为i1 ,流过Lu 的电流为i2 ,流过R的电流为i3 ,Cs存储的电荷为q,如果忽略Lds的作用,则列出回路方程为:

由于
;其中, uc为Cs两端的电压。对电流进行微分即可得到:

把【1-10】代入【1-9】式可得:

【1-11】是一个非齐次二阶微分方程。我们知道,非齐次二阶微分方程的解等于其齐次微分方程的解与非齐次二阶微分方程特解的和,其齐次微分方程为:

【1-12】式表示,电容Cs充满电后,输入电压等于0时电容两端电压或存储电荷随时间变化的过程。对【1-12】式求解,需要先求解其特征方程,其特征方程为:

由此求得其特征方程的解为:

[page]
如果我们直接用【1-14】式来求解【1-10】式,结果将会变得非常复杂。由于,
,这也是电路产生谐振的基本条件,所以【1-14】式可以简化为:

由此求得:

上式中,
为衰减指数因子,
为分布电容Cs与漏感Ls产生串联振荡的角频率。
由此可以求出齐次微分方程【1-12】式的通解为:

上式中, e-at为衰减系数,它是一个随时间变化的函数,A1 、A2 为待定系数。
前面已经指出,齐次微分方程【1-12】式仅表示电容Cs充满电后,输入电压等于0时,电容两端电压或存储电荷随时间变化的过程,即,当t = 0时,q从最大值开始随时间变化的过程。但齐次微分方程【1-12】式并不完全表示电容Cs充、放电的全过程,我们仔细观察【1-17】式便知:在LC电路中,当t = 0时,如果q 为最大值,电容一定是按余弦规律放电;如果 q为最小值,则电容一定是按正弦规律充电。因此,我们还需要根据初始条件来对【1-10】非齐次微分方程式进一步求解。
当电源开关管Q1导通时,输入电压才开始对电容Cs充电,Cs电容两端的电压不可能被充满电;因此,当 t = 0时,电容Cs两端的电压等于0,由此可知,【1-17】式中的A1=0 ,因此,【1-17】式可以改写为:

另外,非齐次微分方程(【1-11】)式的解应该等于齐次微分方程【1-12】式的通解与【1-11】式特解之和。
为求特解,我们先来观察【1-11】和【1-12】式,分析它们之间的特征,然后用代入法来求解。设【1-11】式的特征解为:
,则求得,
;把结果代入【1-11】式,即可求得【1-11】式的特解为:

上式中的电压 Uc实际上就是电容Cs两端电压的半波平均值Upa。它等于输入电压U在漏感Ls 与励磁电感Lu 组成的串联电路中励磁电感 Lu两端的分压的半波平均值。由于漏感 Ls与励磁电感Lu 相比非常小,因此,可以把 Uc看成与输入电压U基本相等。
[page]
因此,非齐次微分方程【1-11】式的解为:

上式中,A为待定系数,e-at为正弦波的振幅, Uc为一个小于1的随时间减小的衰减系数。由于Uc 等于电容Cs两端电压的半波平均值Upa,因此A的最大振幅就是Uc,即:A=Uc ,由此可以求得【1-11】式微分方程的解为:

【1-21】式是当电源开关管Q1导通时,分布电容Cs两端电压随时间变化的表达式,它由两部分电压组成,一部分是电容Cs两端电压的半波平均值Uc ,由【1-19】式表示;另一部分是正弦阻尼振荡,其最大振幅等于 Uc, e-at是一个小于1的衰减系数。
由【1-21】式可以看出,等效负载电阻R的值和分布电容Cs的值越大,衰减指数因子的值就越小,而衰减系数的值就越接近1。
对于一个功率大约为100瓦的开关变压器,其初级线圈的分布电容大约在100~2000微微法之间,如果把次级线圈的分别电容也考虑进去,总的分布电容可能要大一倍。假设开关变压器初级线圈的等效分布电容Cs为1000P,漏感 Ls为30uH,根据【1-16】式可求得振荡频率约等于900kHz。此振荡波形会迭加到变压器次级线圈的输出电压之中,使输出脉冲波形的前后沿产生严重失真,即:脉冲电压的前沿上升率降低,并产生过冲或振铃,脉冲电压的后沿产生过冲或振铃;当负载较轻时,振铃振幅很强,会造成很强的EMI辐射干扰。
图6-b是当电源开关管Q1导通到关断时,分布电容Cs两端电压uc 的波形。在图6-b中,当电源开关管Q1导通的瞬间,即t = t0~t1时刻,输入电压由0突然上升到U,但由于分布电感Ls的存在,分布电容Cs两端的电压uc 并不能像输入电压(方波)那样,uc由0突然升到U,因为 uc电压的上升率不但要受到分布电感Ls的限制,同时也要受到电源开关管导通速度的限制,即:分布电容Cs开始被输入电压U充电时,其两端电压uc 的上升率除了受到L、R、C等元件的时间常数影响外,还要受到电源开关管导通速度的影响。
另外,LC谐振电路的振荡幅度对于正激式开关电源和反激式开关电源是不同的。对于正激式开关电源,当电源开关管Q1导通的时候,开关变压器要向负载输出能量,其等效负载电阻R的值相对比较小,衰减系数相对也比较小,因此,LC振荡被阻尼就比较厉害,振荡幅度下降就比较快。一般当第一个振荡周期过后,LC回路就很难再振荡起来。
对于反激式开关电源,当电源开关管Q1导通的时候,开关变压器只是存储能量,没有能量输出,因此,等效负载电阻R的值相对比较大,衰减系数相对比较大(约等于1);此时,LC振荡的波形与等幅振荡的波形比较接近,其最大振荡幅度Um约等于分布电容Cs两端电压的半波平均值Uc ,即:分布电容Cs两端电压uc 的峰值电压Up约等于输入电压U的2倍。请参考图6-b。
我们从【1-21】式以及图3和图4可以看出:当电源开关管Q1导通时,分布电容Cs两端电压 uc(也是励磁电感Lu 两端的电压),由一个最大振幅约等于输入电压U的正弦振荡电压与一个分布电容Cs两端电压的半波平均值Uc 迭加。
当电源开关管Q1关断瞬间,即t = t10~t11时刻,开关变压器初级线圈的电流回路突然被切断,原来存储于Ls 、Cs、Lu 中的能量,只能通过等效负载R和电源开关管的内阻(分布电容Cds)进行充电来释放。
由于图3等效电路中的各元器件参数,在电源开关管导通期间(图4)和关断期间(图5)都不一样,因此,【1-21】式的计算结果只适用于开关管导通期间分布电容Cs两端电压,或通过【1-21】式求流漏感Ls 的电流。而当电源开关管Q1关断时,由于开关变压器次级线圈整流滤波电路被接通(反激式开关电源),等效负载电阻R突然会变小,此时,LC振荡主要在漏感Ls 和电源开关管的分布电容Cds组成的充放电回路中进行。
由于Cds为开关管内部的扩散电容,属于电阻性质,当开关管完全关断之后,阻值为无限大,漏感 Ls产生的反电动势 es只会对Cds进行充电(通过开关管的内阻释放能量),而Cds不会对漏感 Ls进行反充电;因此,当漏感Ls 储存的能量释放完后,其后续振荡过程也不会再发生。
当开关管完全关断时(图5),加于分布电容Cds两端的电压,正好是输入电压U与漏感 产生的反电动势电压es 和励磁电感 Ls产生的反电动势电压eu 三者之和。因此,当开关管关断时,在开关管的D、S极之间会产生很高的尖峰脉冲电压。为了防止尖峰脉冲把开关管的漏极与源极击穿,在实际应用中,一般都要对开关管采取过压?;ご胧?。
[page]
电源开关管的过压?;さ缏?/strong>
在单激式开关电源中,无论是正激式还是反激式开关电源,都要求对电源开关管采取过压保护,以防止当开关管突然关断瞬间,开关变压初级线圈产生的反激脉冲尖峰电压与输入电压进行迭加后,加到电源开关管的D、S极两端,把电源开关管击穿。
为了防止电源开关管击穿,图7是一种抑制反激脉冲尖峰电压,对电源开关管具有过压保护作用的RCD尖峰脉冲吸收电路。之所以把它称为RCD尖峰脉冲吸收电路,因图中主要器件由R、C、D组成。
为了分析方便,我们把开关变压器等效成一个理想的(漏感等于0的)开关变压器T与一个漏感Ls相串联,把开关变压器初级线圈N1产生励磁作用的电感Lu 称为励磁电感;分布电容Cs为开关变压器初线圈的分布电容与次级线圈的分布电容等效到初线圈后,总的等效电容。

在图7中,当电源开关管Q1关断时,开关变压器初级线圈产生的反激电压脉冲(包括漏感产生的反激电压脉冲)将会与输入电压U迭加,同时加到电源开关管Q1的D、S极两端,此时,整流二极管D将导通,并对C进行充电;C的作用就是把加到开关管D、S极两端的尖峰脉冲电压加以吸收,以防止开关管被尖峰脉冲电压击穿;而R的作用是把C吸收尖峰脉冲电压产生的积累电荷泄放掉,为下一次尖峰脉冲的吸收做好准备,否则,经过多个尖峰脉冲电压吸收之后,电容积累的电荷将会越来越多,其两端电压也会越来越高,最后将会失去吸收尖峰脉冲的作用。
值得注意的是,当电源开关管Q1关断时,由于变压器次级线圈整流滤波电路D2和C2的接入,开关变压器初、次级线圈的等效分布电容Cs相对于滤波电容C2来说,其作用将变得微不足道;此时,由于输出电压Uo通过变压器初、次级线圈的耦合和反射作用,使得变压器初级线圈产生的反电动势电压eu 完全被钳制在一个与次级输出电压Uo成正比的数值上,即:
![]()
另外,由于开关管Q1两端的等效分布电容Cds并不是一个纯电容,而实际上是一个阻抗由小到大,其阻抗变化过程类似于电容充电的可变电阻,它只吸收能量,而不会释放能量。
当它两端的电压Uds高于电容C两端的电压之后,即,整流二极管D导通之后,分布电容Cds的作用就完全变成了一个分流电阻Rds。此时,流过电阻Rds的电流越大,开关管的损耗也越大,适当选择图7中电容C的容量和电阻R的阻值,可以减小流过电阻Rds(开关管关断过程中的等效电阻)的电流,从而可以降低开关管的损耗。
换一句话说,RCD尖峰脉冲吸收电路对开关管进行过压保护,就是通过电容C和电阻R对流过电源开关管(Rds)的电流进行分流来实现的;RCD尖峰脉冲吸收电路,不但可以降低开关管漏极与源极两端的峰值电压,还可以降低开关管的损耗。
PS:关于“电源开关管?;さ缏凡问募扑?;RCD尖峰脉冲吸收电路参数计算举例”。将会在后面一一奉献!请大家关注本站更新!
画外音!小编在这里提前祝大家元宵节,情人节双节快乐!
【连载】陶显芳老师谈开关变压器的工作原理与设计:
陶老师精讲:单激式开关电源的基本电路
http://m.5r3h.cn/power-art/80022281
线圈电感量的计算及几种典型电感介绍
http://m.5r3h.cn/power-art/80022174
开关变压器的漏感工作原理及计算
http://m.5r3h.cn/power-art/80022173
开关变压器铁芯脉冲导磁率与平均导磁率的测量
http://m.5r3h.cn/power-art/80022172
双激式开关变压器铁芯磁滞损耗、涡流损耗的测量
http://m.5r3h.cn/power-art/80022171
单激式开关变压器铁芯磁滞损耗、涡流损耗的测量
http://m.5r3h.cn/power-art/80022170




