【导读】学习完上一节的变压器磁学部分的计算,接下来最后一节我们将讨论关于绕组线径的选取,其中5.7章节RCD钳位电路的设计是未完成的,笔者至今没有很好的计算方法,大家如果有好的方法欢迎留言探讨,相互学习。
5.6绕组线径的选取
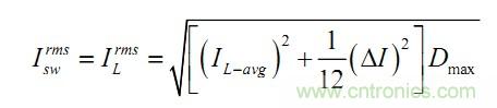
由于绕组的损耗来自铜线内阻造成的发热,所以铜线截面积应该按照绕组的有效值电流来算。对于初级绕组,其电流波形和开关管电流波形一致,所以其有效值电流和开关管有效值电流一样,有以下公式计算:

根据散热条件、铜线长度的不同,通常将铜线的电流密度选取在4-10A/mm2。由于变压器绕组通常处于密闭环境中,一般将电流密度取在4-6A/mm2。有了这一参数,我们就可以根据铜线的有效值电流选取线径了。
5.5.3中计算得到初级线圈有效值电流为0.256A,取电流密度为5A/mm2,则所需的导线截面积为:

根据第二节的推导,我们得知次级绕组电流和初级绕组电流之间服从匝比关系,即次级绕组电流的平均值和变化量等于初级绕组电流平均值和变化量的n倍,n为初次级匝比,而连续模式下次级电流的占空比等于1减去初级电流占空比,即有如下关系成立:

将以上关系式带入初级绕组电流有效值的计算公式中得到次级绕组电流有效值关系式如下:

前期回顾:
大牛独创(四):反激式开关电源设计方法及参数计算
大牛独创(三):反激式开关电源设计方法及参数计算
大牛独创(二):反激式开关电源设计方法及参数计算
大牛独创(一):反激式开关电源设计方法及参数计算
[page]
对于电流较大时,如果选用单股线径较粗的铜线,由于高频电流下的趋肤效应,会造成电流集中在导线边缘,造成铜线的实际有效截面积减小,内阻增大,铜线损耗增大。这种情况下,一般选用两股或两股以上的线径较细的铜线并绕,已减小趋肤效应的影响。采用多线并绕的另一个原因是,当铜线线径过粗时。绕制难度会增加。实际情况下,直径超过1mm的铜线绕制起来就比较麻烦了。
对于上述计算得到的铜线截面积,如果我们选用AWG25线(铜线直径0.4mm,外径约0.46mm),那么单股的铜截面积为:

那么大概需要五股这样的铜线并绕。
5.7RCD钳位电路的设计
开关管关断瞬间,由于变压器和PCB线路漏感无法耦合到次级,将在初级感应出一个很高的电压尖峰,尖峰电压和输入直流电压、次级反射电压一起加在开关管上,为了防止尖峰电压击穿开关管,必须采取相应措施将这个尖峰电压钳位在一定的范围内。
如图七所示的R4、C5和D3,当开关关断瞬间产生漏感尖峰时,尖峰电压和次级反射电压叠加,使得D3正偏导通,此时由于C4上的电压不能突变;在开关闭合期间,D3是反偏的,此时存储在C5中的部分能量通过R4释放,因此初级侧的电压被钳位在一个固定的值附近。
钳位电路产生的功耗等于钳位电容上的电压消耗在钳位电阻上的功耗,而电容上的电压等于次级反射电压和漏感能量导致的电压变化量,于是可以得到下式:

漏感的能量全部消耗在钳位电路中的电阻上,因此有如下关系式:(暂无)
[page]
其中VC为电容上的平均电压,T为开关周期。加上钳位电路后,开关管关断瞬间及整个关断期间开关管承受的电压为输入直流电压加上电容上电压VC(忽略钳位电路中二极管压降),而VC等于次级反射电压加上漏感能量导致的电容上升高的电压。
前面确定占空比时,我们说过,一般会为MOS管的电压应力留20%左右的余量,对于600V的开关管,我们留下了120V的余量。钳位电路加入后,漏感能量导致的电容上升高的电压要占据余量的一部分。
5.8输出二极管的选取
输出二极管为肖特基二极管或快恢复二极管,广义上说,肖特基二极管也属于快恢复二极管的一种。对于所承受的反偏电压小于100V的情况,可以选用优先选用肖特基二极管,对于所承受的反偏电压大于100V的情况,一般选用快恢复二极管。
输出二极管根据其通过的平均电流和反偏时承受的电压来选取。在第一节基本反激式变换器的原理中已经得出,输出二极管的平均电流等于负载平均电流。对于图七中最大负载电流2A的情况,输出二极管的最大平均整流电流理论上大于2A即可。
考虑到二极管在高速电流信号的作用下,开关损耗比较严重,加上第三节讨论到的二极管上的出现的振荡,会进一步加大二极管的损耗,所以在实际应用中,往往选择最大平均整流电流比最大负载电流大数倍的输出二极管,以减小二极管的温升。
在第二节中讨论过,开关管闭合时,输出二极管反偏截止,此时二极管上承受的最大反偏电压为输出电压加上最大初级反射电压,如下式:

那么这里可以选取3A/40V或以上型号的肖特基二极管。图七中所示的SK34即3A/40V的肖特基二极管。
相关阅读:
PCB布局该这么做!150W LED驱动电源拆解学习
http://m.5r3h.cn/power-art/80021947
由简到难,大师教你一步一步设计开关电源
http://m.5r3h.cn/power-art/80021972
大盘点:详解五种开关电源PWM反馈控制模式
http://m.5r3h.cn/power-art/80021961



