桃花源qm花论坛(品茶),凤楼阁论坛官网入口网址,一品楼品凤楼论坛最新动态,风楼阁全国信息2024登录入口

你的位置:首页 > 电源管理 > 正文

开关电源设计必看!盘点电源设计中最常用的计算公式

发布时间:2013-10-30 责任编辑:eliane

【导读】对于电源设计工程师而言,熟练掌握计算公式是必不可少的,在电源圈中流传着这么一句话,世界上最遥远的距离不是语言差异无法沟通,而是公式摆在面前却不会运用。因此,小编为大家盘点了在电源设计中最常用的一些计算公式并进行讲解,希望对大家有所帮助。

MOSFET开关管工作的最大占空比Dmax:
开关电源设计必看!盘点电源设计中最常用的计算公式
式中:Vor为副边折射到原边的反射电压,当输入为AC220V时反射电压为135V;VminDC为整流后的最低直流电压;VDS为MOSFET功率管导通时D与S极间电压,一般取10V。

变压器原边绕组电流峰值IPK为:
开关电源设计必看!盘点电源设计中最常用的计算公式
式中:η为变压器的转换效率;Po为输出额定功率,单位为W。

变压器原边电感量LP:
开关电源设计必看!盘点电源设计中最常用的计算公式
式中:Ts为开关管的周期(s);LP单位为H。

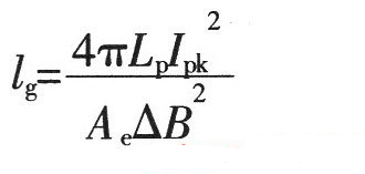
变压器的气隙lg:
开关电源设计必看!盘点电源设计中最常用的计算公式
式中:Ae为磁芯的有效截面积(cm2);△B为磁芯工作磁感应强度变化值(T);Lp单位取H,IPK单位取A,lg单位为mm。
[page]
变压器磁芯:

反激式变换器功率通常较小,一般选用铁氧体磁芯作为变压器磁芯,其功率容量AP为
开关电源设计必看!盘点电源设计中最常用的计算公式
式中:AQ为磁芯窗口面积,单位为cm2;Ae为磁芯的有效截面积,单位为cm2;Po是变压器的标称输出功率,单位为W;fs为开关管的开关频率;Bm为磁芯最大磁感应强度,单位为T;δ为线圈导线的电流密度,通常取200~300A/cm2,η是变压器的转换效率;Km为窗口填充系数,一般为0.2~0.4;KC为磁芯的填充系数,对于铁氧体为1.0。

根据求得的AP值选择余量稍大的磁芯,一般尽量选择窗口长宽之比较大的磁芯,这样磁芯的窗口有效使用系数较高,同时可以减少漏感。

变压器原边匝数NP:
开关电源设计必看!盘点电源设计中最常用的计算公式
式中:△B为磁芯工作磁感应强度变化值(T),Ae单位为cm2,Ts单位为s。

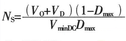
变压器副边匝数Ns:
开关电源设计必看!盘点电源设计中最常用的计算公式
式中:VD为变压器二次侧整流二极管导通的正向压降。

功率开关管的选择:

开关管的最小电压应力UDS:
开关电源设计必看!盘点电源设计中最常用的计算公式
一般选择DS间击穿电压应比式(9)计算值稍大的MOSFET功率管。
[page]
绕组电阻值R:
开关电源设计必看!盘点电源设计中最常用的计算公式
式中:MUT为平均每匝导线长度(cm);N为导线匝数;

为20℃时导线每cm的电阻值(μΩ)。

绕组铜耗PCU为:

原、副边绕组电阻值可通过求绕组电阻值R的公式求出,当求原边绕组铜耗时,电流用原边峰值电流IPK来计算;求副边绕组铜耗时,电流用输出电流Io来计算。
开关电源设计必看!盘点电源设计中最常用的计算公式
磁芯损耗:

磁芯损耗取决于工作频率、工作磁感应强度、电路工作状态和所选用的磁芯材料的性能。对于双极性开关变压器,磁芯损耗PC:
开关电源设计必看!盘点电源设计中最常用的计算公式
式中:Pb为在工作频率、工作磁感应强度下单位质量的磁芯损耗(W/kg);Gc为磁芯质量(Kg)。

对于单极性开关变压器,由于磁芯工作于磁滞回线的半区,所以磁芯损耗约为双极性开关变压器的一半。变压器总损耗为总铜耗与磁芯损耗之和。

相关阅读:
开关电源电路的过渡过程——陶显芳老师谈开关电源原理与设计
http://m.5r3h.cn/power-art/80021728
工程师详解:一款DC/DC隔离式反激开关电源设计及参数计算
http://m.5r3h.cn/power-art/80021730
工程师分享:一款节能型交流稳压电源设计
http://m.5r3h.cn/power-art/80021719
要采购磁芯么,点这里了解一下价格!
特别推荐
技术文章更多>>
技术白皮书下载更多>>
热门搜索

关闭

?

关闭