【导读】在本电源设计小贴士以及下次的小贴士中,我们将研究一种估算热插拔 MOSFET 温升的简单方法。热插拔电路用于将电容输入设备插入通电的电压总线时限制浪涌电流。这样做的目的是防止总线电压下降以及连接设备运行中断。
通过使用一个串联组件逐渐延长新连接电容负载的充电时间,热插拔器件可以完成这项工作。结果,该串联组件具有巨大的损耗,并在充电事件发生期间产生温升。大多数热插拔设备的制造厂商都建议您查阅安全工作区域 (SOA) 曲线,以便设备免受过应力损害。图 1 所示 SOA 曲线显示了可接受能量区域和设备功耗,其一般为一个非常保守的估计。MOSFET 的主要忧虑是其结温不应超出最大额定值。该曲线以图形的形式向您表明,由于设备散热电容的存在它可以处理短暂的高功耗。这样可以帮助您开发一个精确的散热模型,以进行更加保守、现实的估算。

图1 MOSFET SOA曲线表明了允许能耗的起始点
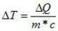
在【电源设计小贴士9】中,我们讨论了一种电气等效电路,用于估算系统的散热性能。我们提出在散热与电流、温度与电压以及散热与电阻之间均存在模拟电路。在本设计小贴士中,我们将增加散热与电容之间的模拟电路。如果将热量加到大量的材料之中,其温升可以根据能量 (Q)、质量 (m) 和比热 (c) 计算得到,即:
能量正好是功率随时间变化的积分:
然后合并上述两个方程式,我们得到我们的电容散热模拟 (m*c) 如下:
表1列出了一些常见材料及其比热和密度,其或许有助于建模热插拔器件内部的散热电容。

表1 常见材料的物理属性
只需通过估算您建模的各种系统组件的物理尺寸,便可得到散热电容。散热能力等于组件体积、密度和比热的乘积。这样便可以使用图 2 所示的模型结构。
该模型以左上角一个电流源作为开始,其为系统增加热量的模拟。电流流入裸片的热容及其热阻。热量从裸片流入引线框和封装灌封材料。流经引线框的热量再流入封装和散热片之间的接触面。热量从散热片流入热环境中。遍及整个网络的电压代表高于环境的温升。

图2 将散热电容加到DC电气模拟
热阻和热容的粗略估算显示在整个网络中。该模型可以进行环境和DC模拟,可帮助根据制造厂商提供的SOA曲线图进行一些保守计算。






