图1显示了正向转换器的功率级。该转换器由变压器运行,该变压器将输入电压耦合至次级电路,再由次级电路完成对输入电压的整流和滤波。反射主电压和变压器漏电感形成低阻抗电路,当 D2 通过一个这样电阻而被迫整流关闭 (commutate off) 时,通常需要一个缓冲器。D2 可以是一个硅 p-n 二极管,该二极管具有一个必须在其关闭前实现耗尽的逆向恢复充电功能。这就积累 (loads up) 了漏电感中的过剩电流,从而导致高频率振铃和过高的二极管电压。肖特基二极管和同步整流器也存在类似情况,前者是因为其大结电容,后者是因为其关闭延迟时间问题。

图1 漏电感延缓了D2关闭
图 2 显示了一些电路波形,顶部线迹为 Q1 漏电压,中部线迹为 D1 和 D2 结点处的电压,底部线迹为流经 D1 的电流。在顶部线迹中,您可以看到当 Q1 打开时,其漏电压被降至输入电压以下,这样就使得二极管 D1 电流增加。如果 D2 没有逆向恢复充电功能,当 D1 电流等于输出电流时,结点电压就会上升。由于 D2 具有逆向恢复充电功能,因此 D1 电流会进一步增加,这便开始消耗电荷。一旦电荷耗尽,二极管便关闭,从而导致增加的结点电压进一步提高。请注意,电流会不断增加直到结点电压等于反射输入电压为止,因为在漏电感两端有一个正电压。随着电流的增加,该电流将对寄生电容进行充电并导致电路中振铃和损耗更大。

图2 当D2关闭时D2会引起过多的振铃
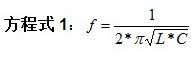
这些振铃波形也许是人们所无法接受的,因为它们会引起 EMI 问题或带来二极管上让人无法接受的电压应力??缃?D2 的 RC 缓冲器可以在几乎不影响效率的同时大大减少振铃。您可以利用下面的方程式计算得出振铃频率(请参见方程式 1):

但是您如何知道电路中L和 C 的值呢?窍门就是通过在 D2 两端添加一个已知电容值的电容以降低振铃频率,这样您就得到了两个方程式以及两个未知项。如果您添加了正好可以减半振铃频率的电容,那么就会使求出上述值变得更加轻松。要想降低一半频率,您需要一个 4 倍于您一开始使用的寄生电容的总电容。然后,只要将所添加的电容除以 3 就可以得到寄生电容。图 3 显示了频率为最初振铃频率一半时 D2 两端 470 pF 电容的波形。因此,电路具有大约 150 pF 的寄生电容。请注意,只添加电容对振铃的振幅作用很小,电路还需要一些电阻来阻尼振铃。这就是电容因数 3 是开始的好地方的另一个原因。如果选择的电阻适当,那么该电阻就可以在对效率最小影响的同时提供卓越的阻尼效果。阻尼电阻的最佳值几乎就是寄生元件的典型电阻(请参见方程式 2)。
![]()

图3 将振铃频率提高两倍完成寄生计算
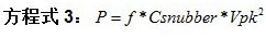
使用具有35MHz 振铃频率的方程式1以及一个150pF的寄生电容可以计算得出漏电感为150nH。把150nH代入方程式2得出 一个大约为30Ohms的缓冲器电阻值。图4显示了添加缓冲器电阻的影响。振铃被完全消除且电压应力也从60V降到了40V。这样我们就能选择一个更低额定电压的二极管,从而实现效率的提高。该过程的最后一步是计算缓冲器电阻损耗。使用方程式3可以完成该过程的最后一步,其中f为工作频率。
![]()
一旦完成计算,您就需要确定电路是否可以承受缓冲器中的损耗。如果不能的话,您就需要在振铃和缓冲器损耗间进行权衡。

图4 选择适当的缓冲器电阻器能完全消除振铃
总而言之,缓冲正向转换器是一个简单的过程:1) 添加电容以减半振铃频率;2) 计算寄生电容和电感;3) 计算阻尼电阻以及电感 4) 确定电路损耗是否在可以接受的范围内。



