【导读】随着工业用高速数字信号处理器(DSP)的发展和应用,逆变电源控制由模拟控制向数字化控制的转变成为了可能。由于具有超强的数据处理能力和很快的处理速度,配合高性能的AD变换器,DSP能够瞬时地读取逆变电源的输出,并实时地计算出输出PWM值。
正是DSP的采用,使得在模拟控制中存在的许多问题得到了很好的解决,并且一些先进的控制策略也逐渐应用于逆变电源的控制之中。这样对于逆变电源负载的不确定性,数字化系统可以对负载动态变化产生的谐波进行动态的补偿,而不需人为地干预,从而使逆变电源的输出波形质量达到可接受的水平。
在传统的逆变电源采用模拟控制无法克服其固有缺点的情况下,人们越来越多地求助于数字化方案来减小控制电路的复杂程度、提高电源设计和制造的灵活性,同时采用更先进的控制方法来提高逆变电源系统的输出波形质量和可靠性。因此,由模拟控制向数字控制的转变是逆变电源发展的必然趋势。本文从SPWM逆变电源的结构出发,利用古老。的PID控制,提出了一种基于电压瞬时值的数字方案通过了仿真。
逆变电源物理模型
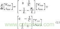
在逆变系统中,多采用全桥或半桥结构。图1为一个带有LC滤波器的单相全桥逆变器的主电路结构图。

图1:逆变器的主电路结构
以Vc和iL为状态变量的状态方程为:
那么Vi对输出电压V0的传递函数为:
由此可以得到逆变器的原理框图,如图2所示。

图2:逆变器的原理框图
数字控制方案
本系统采用双环控制的PID调节。PID控制以其简单、参数易于整定、发展成熟之特点,广泛应用于工程实践之中,逆变电源的控制也不例外。双环控制既保证了系统的稳态特性,又可以提高系统的动态性能。
数字PID算法
PID控制是应用最广泛的一种控制规律,PID表示比例(proportional)一积分(intergral)一微分(differentia)。设PID调节器如图3所示。

图3:PID调节器的方框图
调节器的输出与输人之间为比例积分一微分的关系,即:
若以传递函数的形式表示:
其中:Ti为积分时间常数;Td为微分时间常数;Kp为比例系数;Kd=Kp/Ti为积分系数;Kd=KpTd为微分系数。
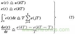
在计算机控制系统中使用的是数值PID调节器,就是对式(1)的离散化,离散化时,令:
其中:丁是采样周期。
显然,上述离散化过程中,采样周期T必须足够短,才能保证有足够的精度。由式(4)和式(7)可得到:
式(8)即数字PID调节器的输出输入关系式。
PID算法蕴含了动态过程中过去、现在和将来的主要信息。其中比例(P)代表了目前的信息,起校正偏差的作用,使过程反应迅速。微分(D)在信号变化时有超前控制作用,代表了将来的信息?;?1)代表了过去的信息,他能消除静差,改善系统的静态特性。因此,设计好的PID控制器有动态响应快、稳态精度高、鲁棒性强的优点,是工程实践中应用最为广泛的一类控制器。对于逆变电源,由于空载的SPWM逆变器近似于临界振荡环节,积分作用会增加相位的滞后,这样会对系统的稳态性能产生负面的影响,所以在设计瞬时值反馈的PID控制器时总是采用比例控制(P)或者比例微分(PD)控制。
数字控制方案
控制系统的框图如图4所示。

图4:系统控制框图
该系统包括2个控制环:外环为电压有效值控制环,内环为输出电压瞬时值反馈环。外环进行数字滤波,得到输出电压的有效值;和输出有效值给定Vrms,进行比较,其误差信号再经由PI控制器进行调节控制标准正弦波信号的给定值的幅值。逆变电源通过有效值外环控制,理论上可以做到输出电压有效值稳态无差,该控制环的目的是为了保证当负载变化、系统受干扰后维持输出电压有效值的稳态不变,即保证系统的输出电压稳态精度。内环为输出电压瞬时值反馈控制环,该环对输出电压的瞬时值进行控制,使得输出电压跟踪给定的正弦波,维持输出的良好正弦性,为了保证系统有足够的稳定裕度,该环的控制器多采用比例(P)控制器,或者比例微分(PD)控制器。该环的主要作用是为了保证输出电压的正弦性,克服干扰对输出电压波形的影响,改善控制系统的动态性能和稳态性能。
仿真结果
下面在Matlab的图形仿真环境Simulink中对图1所示的瞬时值反馈数字PID控制的逆变电源的各种特性进行分析。电路参数为:额定功率:P= 6kVA;滤波电感:L=1 mH;滤波电容:C=25μF;等效串联电阻rL=0.6Ω,rc=0.1Ω;直流母线电压:E=360V;开关频率:fc=20kHz;输出电压: 220V/50Hz;系统在空载及不同的负载时仿真波形如图5所示。



图5:逆变电源输出电压波形谐波分析
详细分析了SPWM的物理结构和数字PID算法,并在此基础上提出了基于输出电压瞬时值反馈的双环逆变电源数字控制系统。他能很好地减小输出波形总谐波畸变(THD),改善了逆变电源系统的输出波形质量。数字PID控制算法的合理运用保证了系统输出电压的稳定精度及良好的动态性能和静态性能。





