图1是单激式开关电源的基本原理图。图中,T为开关变压器,N1和N2分别为开关变压器初、次级线圈;
为开关变压器的漏感,
为开关变压器初级线圈的励磁电感;
为开关变压器初级线圈的分布电容,
为开关变压器次级线圈的输出负载,Q1为电源开关管。

图1 开关电源的基本电路
变压器初级线圈或次级线圈的分布电容Cs可按下式进行计算:

式中,
为第
层与+1层线圈之间的静态电容,
= 1、2、3、• • •、n ,n为所求总分布电容的变压器初级线圈或次级线圈的层数;
为第
层与
+1层线圈之间的平均周长;
为第
层与
+1层线圈之间分布电容的动态系数,
,它与加到电容两端的电压有关,
是一个小于1的系数;
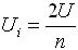
为第
层与
+1层线圈之间的标准电位差,其值一般等于相邻两层线圈工作电压之和,即:
,U为变压器初级线圈或次级线圈两端的工作电压;
、
分别为第
层与
+1层线圈之间x=0和x=h处对应的电位差;当线圈层间按S绕法时,
= 0,
=
;当线圈层间按Z绕法时,
。
[member]
如果不考虑变压器次级线圈对初级线圈的影响,对于一个功率大约为100瓦的开关变压器,其初级线圈的分布电容大约在100~2000微微法之间;如果把次级线圈的分别电容也考虑进去,总的分布电容可能要大一倍左右,因为初、次级线圈分布电容的转换比是平方的关系。因此,分布电容对输出波形的影响是很大的。
根据变压器的工作原理,图1中的开关变压器还可以等效为图2所示电路。

图2 开关变压器的等效电路
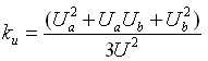
在图2中,Ls为漏感,漏感也称漏磁电感,或称分布电感;Cs为分布电容(总分布电容), lu为励磁电感,R为等效负载电阻。设开关变压器初级线圈的电感为L,则g2 ;而分布电容Cs,则包括次级线圈等效到初级线圈一侧的分布电容,即,次级线圈的分布电容也要等效到初级线圈回路中;同理,等效负载电阻R,就是次级线圈的负载RL被等效到初级线圈回路中的电阻。
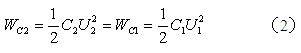
设次级线圈的分布电容为C2,等效到初级线圈后的分布电容为C1,则有下面关系式:

上式中,
为次级线圈分布电容
存储的能量,为
等效到初级线圈后的分布电容
存储的能量;
、
分别为初、次级线圈的电压,
为变压比,
、
分别为初、次级线圈的匝数。由此可以求得
为:

(2)和(3)式的计算方法不但可以用于对初、次级线圈分布电容等效电路的换算,同样可以用于对初、次级线圈电路中其它电容等效电路的换算,以及用于对负载电阻的换算。所以,
亦可以是次级线圈电路中的任意电容,
为
等效到初级线圈电路中的电容。
由此可以求得图2中,变压器的总分布电容Cs为:
![]()
(4)式中,Cs为变压器的总分布电容,Cs1为变压器初级线圈的分布电容;而C1为次级线圈电路中所有电容等效到初级线圈电路中的电容;C2为次级线圈电路中所有电容(包括分布电容与电路中的电容);n = N2/N1为变压比。
虽然看起来,图2开关变压器的等效电路与一般变压器的等效电路没有根本的区别,但开关变压器的等效电路一般是不能用稳态电路进行分析的;即:图2中的等效负载电阻R不是一个固定参数,它会随着开关电源的工作状态不断改变。例如,在反激式开关电源中,当开关管导通时,开关变压器是没有功率输出的,即负载电阻R等于无限大;而对于正激式开关电源,当开关管导通时,开关变压器是有功率输出的,即负载电阻R既不等于无限大,也不等于0 。因此,分布电感与分布电容对正激式开关电源和反激式开关电源工作的影响是不一样的。
图3是开关变压器与电源开关管连接时的工作原理图。图3中,Q1为开关管,Cds为开关管漏极和源极之间的分布电容,Cgs为开关管栅极和源极之间的分布电容。值得说明的是,这里的Cgs和Cds都不是一个单纯性质的电容,它只是在开关管的导通和关断的一瞬间,其阻抗的变化过程与电容(或电感)的充放电过程很类似;而它的基本性质实际上还是属于电阻,因为它会损耗功率。

图3 单激式开关电源等效电路
当开关管开始导通时,外电路给栅极(绝缘栅场效应管)加一正电压,通过静电感应,开关管耗尽层中的载流子(电子)在电场的作用下会重新进行分布,耗尽层中载流子浓度按指数规律不断增加,这个过程相当于对电容Cgs进行充电;随着耗尽层中载流子的重新分布,耗尽层的厚度也相应增加,其结果是耗尽层的电阻由大变小。
[page]
因此,当开关管刚开始导通时,流过开关管的电流是由小变大,这个过程,与在电感两端加一电压方波时,流过电感的电流由小变大很相似;所以,在开关管刚导通的一瞬间,开关管的漏极和源极之间可以等效成一个电感Lds。由于这个电感相对分布电感Ls和励磁电感Lv来说很小,所以图3中没有画出。

图4 开关管导通时
图4是图3中的开关管Q1导通时对应的等效工作原理图。在图4中,电感Lds为开关管Q1导通时的等效电感,当开关管Q1导通时,开关管的内部电阻将随时间由大逐步变小,它的作用好像一个电感,因此,当开关管Q1导通时,开关管可以等效成一个理想的开关与一个电感串联。但这个电感属于电阻性质,它会损耗能量,它不像实际中的电感那样可以储存能量(磁能),它实际上属于一个阻值由大变小的可变电阻,但如果用一个可变电阻来表示,在计算过程中将会很复杂,并且在开关管Q1导通的变化过程中,用一个可变电阻来表示也没有用一个电感来表示显得形象。
当开关管开始关断时,外电路给栅极加一负电压(或低电压),通过静电感应,开关管内耗尽层中的载流子(电子)在电场的作用下会重新进行分布,相当于外电路要向耗尽层抽离载流子,耗尽层中载流子的浓度将按指数规律减小,耗尽层的厚度也将随时间增大而变小,其结果是耗尽层的电阻将随时间由小变大。这个过程,与电容被充电时,流过电容的电流由大变小很相似;所以,当开关管刚导通的一瞬间,开关管可以等效成一个理想的开关与一个电容器并联,这个电容器就是漏极和源极之间的分布电容Cds。如图5是开关管关断时,反激式开关电源的工作原理图。

图5 开关管关断时
根据上面分析,栅极电容Cgs对开关管的导通影响比较大,容量越大,开关管的导通上升时间就越长。而漏极电容Cds对开关管的关断影响比较大,容量越大,开关管关断存储时间就越长。电容Cgs和Cds也称扩散电容,它们既具有电阻的性质,同时也具有电容充放电的特性,这种特性主要与耗尽层中载流子的浓度变化有关。
当电源开关管为晶体管时,Cgs和Cds分别与Cbe和Cce对应,工作原理场效应管的工作原理基本相同或相似。不过基区参与导电的载流子的密度的增加或减少,不是靠静电感应的作用,而是靠基极电流的注入。
由于开关管在导通或关断期间,其分布参数的性质和作用也在改变,因此,在图1~5中,要对分布电感Ls和分布电容Cs,以及Cgs和Cds组成的电流回路进行精确计算,难度是很大的。下面,我们将以很长的篇幅来对上面电路进行分析和计算。
在图4中,分布电感Ls和分布电容Cs可以看成是一个串联振荡回路,当开关管Q1开始导通的时候,输入脉冲电压的上升率远远大于输入电压通过分布电感Ls对分布电容Cs充电电压的上升率,此时,串联振荡回路开始吸收能量,输入电压通过Lds和Ls对Cs进行充电,流过Ls和Cs的电流按正弦曲线增长;当开关管Q1完全导通以后,Lds的值等于0,此时,输入脉冲进入平顶阶段,相当于输入脉冲电压的上升率为0,由于,输入脉冲电压的上升率远远小于分布电感Ls与分布电容Cs进行充、放电时电压的上升率,因此,振荡回路开始释放能量,振荡回路会产生阻尼振荡。
由于分布电感Ls和分布电容Cs的时间常数相对于励磁电感比较小,所以分布电感Ls和分布电容Cs产生阻尼振荡的过程主要发生在开关管Q1导通和关断的一瞬间。当开关管Q1导通或关断后不久,阻尼振荡很快就会停止。当输入电压对分布电容Cs充满电后,输入电压就完全加到励磁电感的两端。如果是反激式开关电源,流过励磁电感的电流将随时间从0开始线性增加;如果是正激式开关电源,流过励磁电感的电流将随时间按梯形波曲线增长。
在开关管Q1导通期间,由于开关管的导通内阻非常小,分布电容Cds基本上是不起作用的。当开关管Q1由导通状态转换为关断时,开关管漏极和源极之间的分布电容Cds将被接入电路中,分布电感Ls和励磁电感将同时产生反电动势,并分别对分布电容Cds和Cs进行充、放电,电容与电感在交替进行能量交换的过程中,将产生串、并联振荡。
但由于励磁电感的时间常数比Ls、Cs和Cds的时间常数大好多,因此,在产生振荡的过程中,主要由Ls、Cs和Cds三者产生作用。另外,在开关管开始关断期间,由于Cds实际上是一个阻抗由小到大,其阻抗变化过程类似于电容充电的可变电阻,它只吸收能量,而不会释放能量。因此,它在产生振荡的过程中,只对充电曲线的上升速率起影响,而对放电曲线的下降速率不起影响。
在下一讲,陶老师将利用波形来具体分析开关管导通和关断时,漏感及分布电容的工作过程,敬请期待......





