导读:目前,在各种电子设备和现代通信设备中,为了在各种不同工作条件下满足某些要求或实现规定的一些技术指标,反馈控制电路已经被广泛应用。本文首先对反馈控制电路的相关概念及原理作以介绍,然后针对本文设计的直流开关电源中的反馈控制电路具体设计过程进行了详细分析。
作为电子设备和系统中的一种自动调节电路,反馈控制电路主要作用就是当电子系统受到某种扰动情况下,系统能通过自身反馈控制电路的调节作用,对系统某些参数加以修正,从而使系统各项指标仍然达到预定精度。反馈控制电路通常由比较器、控制信号发生器、可控器件和反馈网络四部分组成一个负反馈闭合环路,如图1 所示。

图1 反馈控制电路组成示意图
本着小型化、小功率和高效率的设计思想,本文设计的反馈控制电路对应的直流开关电源主要技术要求如下:
输入交流电压:VACMIN=85V;VACMAX=265V;输入电压频率:fL=50Hz;输出电压:VO=36V;输出功率:PO=72W;电源效率:η=80%;损耗因子Z:Z=0.6(Z 表示次级损耗与总损耗之比)。
对应的直流开关电源组成如图2 所示:

图2 反馈控制电路对应的直流开关电源组成示意图
1.反馈控制电路设计过程
开关电源中的反馈控制电路是用来保证在负载变化的情况下输出电压、电流的稳定。本文设计的反馈控制电路对应的直流开关电源是使用PWM 脉宽调制来保持输出电压的稳定。其中PWM 调制分为电流控制方式和电压控制方式,与后者相比,前者具有更好的电压调整率和负载调整率,在减少元器件数量、降低成本、提高开关电源功率的同时,又可进一步确保系统的稳定性并使系统动态特性明显改善,尤其对系统的小型化、??榛?、高效化具有重要意义。
另外,直流开关电源通常用的反馈为负反馈。在反馈中,通常采用的反馈有使用初级反馈成本最低(仅适于低功率的应用) ;使用光耦器/稳压管反馈成本低且输出精度好;另外使用光耦器/TL431 反馈则输出精度最好。考虑到本文设计所体现出的小功率、高效率的原则,所以决定采用三端分流稳压管TL431 和光耦PC817 配合的PWM 型电流调节控制方式,分别进行参考、取样、隔离、放大,从而组成负反馈环路。
1.1 反馈控制电路原理与设计
本文设计的反馈控制电路如图3 所示,其基本控制原理为:当输出电压经过R11和R12分压后可得到采样电压,然后该采样电压与TL431 提供的2.5V 基准参考电压加以比较,当输出电压正常时,则采样电压与TL431 的基准电压2.5V 基本相等,所以TL431 的阴极电位保持不变,流过光耦中的发光二极管的电流也保持不变,从而TOP247Y 芯片的控制脚C 的电压稳定,则控制驱动占空比不变,输出的电压就保持稳定。当输出电压与期望电压偏低时,经过分压电阻R11、R12分压后得到的分压值就比2.5V 低,TL431 的阴极电位升高,流经过光耦中发光二极管的电流减小,则流过光耦的CE 极的电流也降低,TOP247 的控制引脚C 的电位升高,使占空比增大,从而导致输出电压增大,以此来使输出保持稳定。当输出电压与期望电压偏高时,经过分压电阻R11、R12分压后得到的分压值就比2.5V 高,TL431 的阴极电位降低,流经过光耦中的发光二极管的电流增大,则流过光耦的CE 极的电流也升高,TOP247 的控制引脚C 的电位降低,使占空比减小,从而使得输出电压降低,以此来使输出稳定。

图3 反馈控制电路示意图
1.2 TL431 及电阻分压器的参数设置与分析
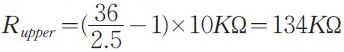
TL431 是一个可调的三端稳压管,利用外部电阻分压器可以设定2.5V-36V 范围内任意基准电压值。TL431 动态阻抗低,典型值为0.2欧姆。如图3 所示,通过电阻分压器R11 和R12 获取电压,与TL431 的基准电压2.5V 加以比较构成误差放大器,然后经过PC817 的电流变化来进一步控制TOP247Y 的输出占空比的变化。从TL431 技术参数可知,阴极工作电压的允许范围为2.5V-36V,阴极工作电流则在1~100mA 范围内变化。一般阴极电流选择为20mA,这样不但能稳定工作而且能提供一部分死电阻。
假设流经桥分压器的电流为250uA,由于TL431 的参考电压为2.5V,则:

又由于输出电压UO:

所以可以得到:

[page]
1.3 反馈补偿电路分析与设计
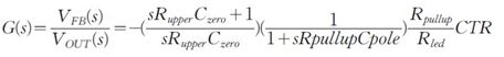
在没有加入电容CZERO时,反馈环路传递函数为:

在图3 中,不难发现,LED 在二级LC 滤波器之前连接,这也就避免了当LC 网络开始谐振时在高频区产生增益。当然,通过LC 滤波器也可以降低高频噪音。选择该滤波器谐振频率应为所选交叉频率的10倍以上以避免相互干扰。
另外,在加上电容Czero之后,则可以得到在原点处引入一个极点,此时完整反馈环路传递函数为:

容易发现,在原点处存在极点fpo和由快车道结构引入的极点fz.由于在本文设计中使用的为放大器类型2,因此需要在其它地方的极点fp.
这样,我们可在输出节点与地之间加入一个电容,可以得到最终控制式:

这样,就可以求出极点和零点位置:

因此,下面就可以应用K 因子法来设计所需要的放大器类型2:
交叉频率=1kHz;需要的相位裕度=70o;交叉频率处增益衰减Gfc=-20dB;交叉频率处的相位=-55o,K 因子计算为:k=4.5;fz=222kHz;fp=4.5kHz;G=10;CTR=0.8.
根据上面已经得到的几个公式,可以得到:

到此为止,则完成了整个关于反馈网络的设计过程。
2.实验结果
根据以上反馈控制电路的具体设计方案及上述数据采用HSpice进行仿真,仿真结果如图4 所示。认真观察后,从系统波形上就不难发现,系统具有明显的稳定性和可靠性。

图4 工作于DCM 或CCM 电流模式波特图
3.结论
本文通过采用光耦817 和三端分流稳压管TL431 相结合的PWM 型电流调节方式对直流开关电源的反馈控制电路进行设计,设计结果较好地体现出了小型化、小功率、高效率的特点。实验结果表明系统具有较好的稳定性和可靠性。




