中心议题:
- 短路?;さ缏返墓ぷ髟矸治?/strong>
- 线性稳压器的短路?;さ缏飞杓?/strong>
一个高可靠性的线性稳压器通常需要有限流保护电路,以防止因负载短路或者过载对稳压器造成永久性的损坏。限流保护通常有限流和折返式限流2种类型。前者是指将输出电流限定在最大值,该方法最大缺点是稳压器内部损失的功耗很大,而后者是指在降低输出电压的同时也降低了输出电流,其最大优点是当过流情况发生时,消耗在功率管能量相对较小,但在负载短路时,大多数折返式限流型?;さ缏芬裁挥谐沟坠囟衔妊蛊?,依然有电流流过,进而使功率MOS管消耗能量,加快器件的老化。针对上述情况,在限流型?;さ缏返幕∩?,设计改进了一个短路?;さ缏罚繁6搪非榭鱿?,关断功率MOS管。本文分别定性和定量地分析了这种短路?;さ缏返墓ぷ鞴毯驮恚备龌赥SMCO.18μm CMOS工艺的Spectra仿真结果。
1 短路?;さ缏返墓ぷ髟?br />
高可靠性短路保护电路的实现电路如图1所示,其中VMP是线性稳压器的功率MOS管,R1、R2为稳压器的反馈电阻;VMO和VMP管是电流镜电路,VMO管以一定的比例复制功率管的电流,通过电阻R4转化为检测电压;晶体管VM1完成电平移位功能,最后接入由VM8~VM12等MOS管组成的比较器的正输入端(Vinp),比较器的负输入端(Vinm)与输出端(0UT)相连;VM13、VM14组成二极管连接形式为负载的共源级放大电路;VM14和VMp1构成电流镜电路;晶体管VMp1完成对功率管VMP的开关控制,正常工作时,VMp1的栅级电位(Vcon)为高电平,不会影响系统的正常工作,短路发生时,Vcon将为低电平,使功率管关断。

1.1 工作原理的定性分析
当短路发生时,比较器的负输入端电位(Vinm)为0 V;同时VM1管将导通,因此比较器的正输入端电位大于0 V,最终比较器的输出节点电位(Vcom)为高电平,在MOS管VM13、VM14作用下,控制信号Vcon将为低电平,最终VMP管的栅极电压将升高,进而关断P功率管,实现短路保护。
实现短路保护后,VM1管将关断;VM3和VM4组成电流镜,晶体管VM2的作用是保证电路在短路期间(VM1管关断),比较器正输入端的电压始终高于比较器的负输入端电压(即使系统存在地平面噪声),从而使Vcon电压始终为低电平,确保电路在短路发生期间始终都能关断P功率管,实现保护电路的高可靠性。
同时当短路发生时(即Vcon信号为低电平),VM7管正常工作,VM5管将导通,有一定的电流流向0UT端;因此一旦短路消除(即0UT端接有负载电阻),VM5管将对负载电容和负载电阻组成的并联RC网络充电,0UT端电压升高,Vcon信号将变为高电平,电路自动恢复正常状态。
[page]
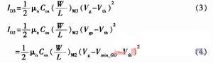
1.2 工作原理的定量分析
由电路分析可知,比较器的正负输入端关系为:

比较器输入端的Vinp,因此比较器输出信号Vcon为低电平,将关断P功率管,实现短路?;?。
当P功率管关断后,ID0=O,晶体管Vcon将截止,此时比较器Vinp输入端电压Vmin_OD取决于晶体管VM2、VM3、VM4组成的网络,只要保证Vmin_OD大于Vinm电压(Vinm=VOUT=O),P功率管将一直处于关闭状态。
接下来将分析VM2、VM3和VM4组成的网络如何确保Vmin_OD大于0。分析电路可知,VM2、VM3工作在饱和区,VM4工作在线性区,因此ID3>ID4,ID4=ID2。

因此选取
,即可得到Vinp>0。本文VM3的宽长比为VM2的宽长比的10倍,Vmin_OD=2.6 mV。
当短路排除后,流过VM5的电流将对RC网络充电,过t秒后Vinm(0UT)端电压将大于Vmin_OD,电路正常工作。其中充电时间为:
![]()
式中IDM5为VM5的漏电电流,RL=VOUT/Imax,CL为负载电容,其中Imax是系统规定的最大负载电流。要使系统能正常启动,IDM5必须满足IDM5>VOUT/RL,因此合理选取参数,就能正常启动。
2 仿真结果与讨论
基于TSMC O.18μm CMOS工艺,仿真结果如图2~图3所示。仿真结果表明输出短路时,输出电流为O,P功率管被关断,实现短路?;?。

图3(a)所示曲线的仿真条件是输出负载周期性地从0 Ω变化到5 Ω。仿真结果表明当输出发生短路时(即负载为0),输出电流被限制在最大电流值,这样功率MOS管会消耗大量功耗,将加快器件的老化。
图3(b)所示曲线的仿真条件与图3(a)的条件一样。仿真结果表明当输出发生短路时(即负载为0),输出电流被限制为O,即功率MOS管被完全关断,同时表明系统具有自动恢复的特点,即负载短路消除后,系统恢复正常工作。
3 结论
在限流电路的基础上,设计改进一个短路?;さ缏?,确保在短路情况下,彻底关断功率MOS管,减少短路发生时系统损失的功耗。同时该电路具有以下特点:高可靠性、自动恢复,即使地平面存在大量噪声,当短路发生时,稳压器的功率管截止,实现?;ぃ搪芬坏┫?,稳压器的输出将自动恢复到正常状态,有效地?;は低场T诶堆拦β史糯笃鞯缭垂芾淼缏分械玫搅撕芎糜τ?。



