- 基于脉冲序列控制技术的降压型开关电源
- PT 工作原理及调制特性
- 利用脉冲控制器电路进行控制
- 采用断续导电模式
- 设计基于PT 控制的DCM Buck 变换器
0 引言
近年来, 随着电子技术和信息技术迅速发展,开关电源成为了电子工程领域应用和研究的热点。与线性电源相比,开关电源在效率、功率密度、成本等方面显示出了明显的优势,目前已经成为主要的DC-DC变换设备。对开关电源控制技术的研究也已成为电力电子技术领域中最为活跃的部分。
脉冲序列控制( PULSE T rain M, PT )是一种新型定频、非线性的电源控制技术。该技术利用脉冲控制器,根据开关电源的工作状态,按照一定规律通过高能量脉冲和低能量脉冲组成的脉冲序列对主电路进行控制。与传统的PWM 控制不同, PT 控制系统没有延迟环节,对变换器输入端或输出端出现的扰动具有较快的响应速度。
1 PT 工作原理及调制特性
1. 1 PT 控制的工作原理
PT 控制技术通过在两级固定占空比的高、低能量脉冲中进行选择, 控制开关管的导通和关断,从而实现对变换器输出电压的调节。如果输出电压Uo 低于基准电压Uref , 控制器将连续产生高能量脉冲PH 直到输出电压达到基准电压值, 高能量脉冲的占空比为DH ; 如果输出电压Uo 高于基准电压Uref , 控制器将连续产生低能量脉冲PL 以降低输出电压, 低能量脉冲的占空比为DL ( DL< DH ) .由于高能量脉冲导通时间比低能量脉冲导通时间长,因此高能量脉冲作用的周期内将有更多的能量传递至负载端。图1( a) 和图1( b) 分别显示了PT 控制Buck 变换器结构图和PT 控制原理示意图。

图1 PT 控制电路及原理示意图
本文以PT 控制技术应用于断续导电模式( DiscONt inuous Conduction Mode, DCM) 的Buck 变换器为例进行研究。采用断续导电模式的优势在于能够实现开关管的零电流导通和二极管的零电流关断。从而减少了开关损耗和电磁噪声。高能量脉冲和低能量脉冲的占空比之间的比值k ( k= DH / DL ) 由变换器输出电压纹波和功率调节范围折衷确定。
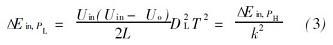
图1( b) 显示了PT 控制开关变换器的输出电压和电感电流波形。由于在MOSFET 开关管导通期间电感电流线性增长, Buck 变换器在高能量脉冲周期内开关管电流的平均值为:
则PH 控制的一个开关周期内从变换器输入端获得的能量为:
式中, T 为变换器的开关周期。
[page]
同理, 在一个低能量脉冲周期内从变换器输入端获得的能量为:
由式( 1) 和( 2) 可知: 低能量脉冲周期内变换器传递的能量为高能量脉冲周期的1/ k2 .由于高、低能量脉冲周期相同,故变换器的开关频率是固定不变的。
1. 2 PT 控制的实现方式
本节设计一种简单实用的脉冲序列控制器, 如图2 所示。图2 中时钟信号CP( Clock Pulse) 由峰峰值为- 10 V到+ 10 V 的锯齿波信号USAW 与电压信号UGN D ( UGND = 0) 通过比较器Ccp产生; 变换器输出电压Uo 与基准电压Uref 通过比较器C1 产生电压信号Ue;触发器D 在时钟来临时刻将电压信号Ue 传递至输出端Q, 并在下一时钟来临之前保持不变; 比较器C2 将D 触发器的输出信号和锯齿波进行比较产生控制脉冲PH 或PL 实现对变换器的控制。
上述PT 控制器的工作过程为: 在开关周期的起始时刻, 时钟信号CP 来临, 若此时Uo > Uref , 则Ue 为高电平; 时钟信号同时使触发器D 触发, 触发器输出信号Ud 在下一时钟脉冲来临前保持高电平不变; 锯齿波信号USAW 与Ud 经过C2 比较, 输出占空比为DL的低能量脉冲信号P L.若Uo< Uref , 则Ue 为低电平;触发器输出信号Ud 在下一时钟脉冲来临前保持低电平不变; 锯齿波信号USAW 与Ud 比较产生占空比为DH的高能量脉冲信号PH .PT 控制器主要工作波形如图2( b) 所示。


图2 DCM DC-DC 变换器在PT控制模式下的控制电路原理图和工作波形
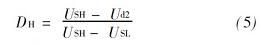
根据电源设计要求, 当输出电压Uo 大于基准电压Uref 时, 控制脉冲为低能量脉冲, 占空比为DL:
式中, USH 为锯齿波信号USAW 的最大值; USL 为锯齿波信号USAW 的最小值。
将设计参数代入式( 3) 中, 得到低能量脉冲的占空比为DL= 0. 25
同理, 当输出电压Uo 小于基准电压Uref 时, 控制脉冲为高能量脉冲的占空比:
2 仿真及实验验证
为了验证PT 控制方法和模拟控制器的可行性,设计了一个基于PT 控制的DCM Buck 变换器, 其主要参数为: Uin = 15 V, Uo = 5 V, L = 100uH, C="470uF", R= 10Ω , f = 10 kHz.
[page]
图3 显示了PT 控制的DCM Buck 变换器工作仿真波形。在图3 中可以看出, 当Uo 大于Uref 时, 控制脉冲Upt 为低能量脉冲, 占空比为DL= 0. 25; 当Uo 小于Uref 时, 控制脉冲Upt 为高能量脉冲, 占空比为DL =0. 5, 与设计参数相符合。此时的控制脉冲序列为PH -PL - PL .
图3 PT控制DCM Buck变换器工作仿真波形图
由图3 可知, 输出电压Uo 的纹波随着电感电流I L 的变化而变化。控制信号每输出一个高能量脉冲,输出电压纹波值增大;输出低能量脉冲时, 输出电压纹波值减小, 但是其值始终在5 V 上下范围内波动。仿真结果与实验设计要求一致。
从图4( a) 中, 可以看出当MOSFET 管导通控制信号为高能量脉冲占空比为DH 时, 输出电压Uo 有小幅上升;而MOSFET 管导通控制信号为低能量脉冲占空比为DL 时, 输出电压Uo 有小幅下降, 与仿真波形图一致。在图4( b) 中,可观察输出电压Uo 的纹波图, 能够更清楚地反映开关管导通控制信号与输出电压的变化关系。从图中,可以更加明显看到开关管导通控制信号的变化对输出电压的影响, 与仿真结果基本一致。

图4 PT 控制DCM Buck 变换器控制脉冲信号与输出电压波形和输出电压纹波波形
3 结论
本文在介绍了一种新型控制技术--脉冲序列控制技术, 并将其应用于DCM 模式的降压型Buck DC-DC 变换器,用模拟方式实现了开关变换器对输出电压的控制。本文介绍的理论不需要误差计算等详细的小信号或大信号分析, 且适用于各种开关变换器,仿真和实验结果验证了PT 控制方法的可行性。




