中心议题:
- 功率MOSFET的连续漏极电流
- 功率MOSFET的脉冲漏极电流
- 功率MOSFET的雪崩电流
通常,在功率MOSFET的数据表中的第一页,列出了连续漏极电流ID,脉冲漏极电流IDM,雪崩电流IAV的额定值,然而对于许多电子工程师来说,他们对于这些电流值的定义以及在实际的设计过程中,它们如何影响系统以及如何选取这些电流值,常常感到困惑不解,本文将系统的阐述这些问题,并说明在实际的应用过程中如何考虑这些因素,最后给出选取它们的原则。
功率MOSFET的连续漏极电流
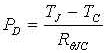
连续漏极电流在功率MOSFET的数据表中表示为ID。对于功率MOSFET来说,通常连续漏极电流ID是一个计算值。当器件的封装和芯片的大小一定时,如对于底部有裸露铜皮的封装DPAK,TO220,D2PAK,DFN5*6等,那么器件的结到裸露铜皮的热阻RθJC是一个确定值,根据硅片允许的最大工作结温TJ和裸露铜皮的温度TC,为常温25℃,就可以得到器件允许的最大的功耗PD:

当功率MOSFET流过最大的连续漏极电流时,产生最大功耗为PD:
![]()
因此,二式联立,可以得到最大的连续漏极电流ID的计算公式:

其中,RDS(ON)_TJ(max) 为在最大工作结温TJ下,功率MOSFET的导通电阻;通常,硅片允许的最大工作结温为150℃。需要说明的是:上述的电流是基于最大结温的计算值;事实上,它还要受到封装的限制。在数据表中,许多公司表示的是基于封装限制最大的连续漏极电流,而有些公司表示的是基于最大结温的电流,那么它通?;嵩谑荼碜⑹椭薪兴得?,并示出基于封装限制的最大的连续漏极电流。
在公式(1)中,需要测量器件的热阻RθJC,对于数据表中的热阻都是在一定的条件下测试的,通常是将器件安装在一个1平方英寸2oz的铜皮的PCB上,对于底部有裸露铜皮的封装,等效热阻模型如图1所示。如果没有裸露铜皮的封装,如SOT23,SO8等,图1中的RθJC通常要改变为RθJL,RθJL就是结到管脚的热阻,这个管脚是芯片内部与衬底相连的那个管脚。

图1 等效热阻模型
功率MOSFET有一个反并联的寄生二极管,二极管相当于一个温度传感器,一定的温度对应着一定的二极管的压降,通常,二极管的压降和温度曲线需要进行校准。
测试时,功率MOSFET的反并联的寄生二极管中通过一定的电流,当器件进入热平衡状态时,测量二极管的压降、器件裸露铜皮或与芯片内部衬底相连的管脚的温度,以及环境温度。
通过二极管的压降和通过的电流,可以计算功耗;通过二极管的压降可以查到结温,根据功耗、结温和器件裸露铜皮或与芯片内部衬底相连的管脚的温度,可以计算得到RθJC或RθJL。根据功耗、结温和环境温度,还可以计算得到RθJA。
特别强调的是,RθJC不是结到器件的塑料外壳温度。RθJA是器件装在一定尺寸的PCB板测量的值,不是只靠器件本身单独散热时的测试值。实际的应用中,通常RθJT+RθJA>>RθJC+RθCA,器件结到环境的热阻通常近似为:RθJA≈RθJC+RθCA
热阻RθJC确定了,就可以用公式(1)计算功率MOSFET的电流值连续漏极电流ID,当环境温度升高时,相应的ID的值也会降低。
裸露铜皮的封装,使用RθJC或RθJA来校核功率MOSFET的结温,通??梢栽龃笊⑷绕?,提高器件通过电流的能力。底部没有裸露铜皮的封装,使用RθJL或RθJA来校核功率MOSFET的结温,其散热的能力主要受限于晶片到PCB的热阻。数据表中ID只考虑导通损耗,在实际的设计过程中,要计算功率MOSFET的最大功耗包括导通损耗、开关损耗、寄生二极管的损耗等,然后再根据功耗和热阻来校核结温,保证其结温小于最大的允许值,最好有一定的裕量。
上述计算过程中,ID是基于硅片的最大允许结温来计算的,实际的ID还要受到封装的影响,特别是底部具有裸露铜皮的封装。
[page]
封装限制通常是指连接线的电流处理能力。对于额定的连接线的电流限制,常用的方法是基于连接线的熔化温度。当连接线的温度大于220℃时,会导致外壳塑料的熔化分解。在许多情况下,硅电阻高于线的电阻的10倍以上,大部分的热产生于硅的表面,最热的点在硅片上,而且结温通常要低于220℃,因此不会存在连接线的熔化问题。连接线的熔化只有在器件损坏的时候才会发生。
有裸露铜皮器件在封装过程中硅片通过焊料焊在框架上,焊料中的空气以及硅片与框架焊接的平整度会使局部的连接电阻分布不均匀,通过连接线连接硅片的管脚,在连接线和硅片结合处会产生较高的连接电阻,因此实际的连续漏极电流ID会小于数基于结温计算的电流。基于封装限制的电流是测试的实际工作的最大电流,因此,在数据表中,寄生二极管的电流通常也用这个值表示。
功率MOSFET的脉冲漏极电流
脉冲漏极电流在功率MOSFET的数据表中表示为IDM,对于这个电流值,许多工程师不明白它是如何定义的。
通常,功率MOSFET也可以工作在饱和区,即放大区恒流状态。如果功率MOSFET稳态工作在可变电阻区,此时,对应的VGS的放大恒流状态的漏极电流远远大于系统的最大电流,因此在导通过程中,功率MOSFET要经过Miller平台区,此时Miller平台区的VGS的电压对应着系统的最大电流。然后Miller电容的电荷全部清除后,VGS的电压才慢慢增加,进入到可变电阻区,最后,VGS稳定在最大的栅极驱动电压,Miller平台区的电压和系统最大电流的关系必须满足功率MOSFET的转移工作特性或输出特性。
也就是,对于某一个值的VGS1,在转移工作特性或输出特性的电流为IDM1,器件不可能流过大于IDM1的电流,转移工作特性或输出特性限制着功率MOSFET的最大电流值。
这也表明,数据表中功率MOSFET脉冲漏极电流额定值IDM对应着器件允许的最大的VGS,在此条件下,器件工作在饱和区,即放大区恒流状态时,器件能够通过的最大漏极电流,同样,最大的VGS和IDM也要满足功率MOSFET的转移工作特性或输出特性。
另外,最大的脉冲漏极电流IDM还要满足最大结温的限制,IDM工作在连续的状态下,功率MOSFET的结温可能会超出范围。在脉冲的状态下,瞬态的热阻小于稳态热阻,可以满足最大结温的限制。
因此IDM要满足两个条件:(1) 在一定的脉冲宽度下,基于功率MOSFET的转移工作特性或输出特性的真正的单脉冲最大电流测量值;(2)在一定的脉冲宽度下,基于瞬态的热阻和最大结温的计算值。数据表通常取二者中较小的一个。功率MOSFET的数据表后面通常列出了瞬态的热阻的等效图。
因为VGS限定的漏极的电流,单纯的考虑IDM对于实际应用没有太多的参考价值,因为实际的应用中,栅极的驱动电压通常小于最大的额定电压。同样的,在实际的栅极驱动电压下,单纯的考虑电流也没有意义,而是考虑最大漏极电流的持续时间。
IDM和实际的应用最相关的状态就是系统发生短路,因此,在系统控制器的栅驱动电压下,测试短路时最大漏极电流的持续时间。通常在设计过程中,使系统短路?;な奔湫∮?/3~1/2的上述的持续时间,这样才能使系统可靠。
事实上,对于大电流,在导通状态下或关断的过程,由于芯片内部的不平衡或其他一些至今还没有理论可以解释的原因,即使芯片没有超过结温,也会产生损坏。
因此,在实际的应用中,要尽量的使短路保护的时间短,以减小系统短路最大冲击电流的冲击。具体方法就是减小短路?;せ芈返难邮?,中断响应的时间等。
在不同的栅级电压下测量短路电流,测试波形如图2所示,采用的功率MOSFET为AOT266。图2(a):VGS电压为13V,短路电流达1000A,MOSFET在经过47μs后电流失控而损坏;图2(b):VGS电压为8V,短路电流仅为500A,MOSFET在经过68μs后电流失控而损坏。电流测试使用了20:1的电流互感器,因此电流为200A/格。

图2 AOT266短路测试波形
可以的看到,VGS =13V,最大电流为1000A,持续的时间为47μs;VGS =8V,最大电流为500A,持续的时间为68μs。
功率MOSFET的雪崩电流
雪崩电流在功率MOSFET的数据表中表示为IAV,雪崩能量代表功率MOSFET抗过压冲击的能力。在测试过程中,选取一定的电感值,然后将电流增大,也就是功率MOSFET开通的时间增加,然后关断,直到功率MOSFET损坏,对应的最大电流值就是最大的雪崩电流。
在数据表中,标称的IAV通常要将前面的测试值做70%或80%降额处理,因此它是一个可以保证的参数。一些功率MOSFET供应商会对这个参数在生产线上做100%全部检测,因为有降额,因此不会损坏器件。
注意:测量雪崩能量时,功率MOSFET工作在UIS非钳位开关状态下,因此功率MOSFET不是工作在放大区,而是工作在可变电阻区和截止区。因此最大的雪崩电流IAV通常小于最大的连续的漏极电流值ID。
采用的电感值越大,雪崩电流值越小,但雪崩能量越大,生产线上需要测试时间越长,生产率越低。电感值太小,雪崩能量越小。目前低压的功率MOSFET通常取0.1mH,此时,雪崩电流相对于最大的连续的漏极电流值ID有明显的改变,而且测试时间比较合适范围。





