中心议题:
- 常见测量蓄电池内阻的方法
- 蓄电池内阻检测原理
- 精确测量蓄电池内阻的方法
解决方案:
- 交流恒流源的设计
1.引言
蓄电池作为电源系统停电时的备用电源,已广泛的应用于工业生产、交通、通信等行业。如果电池失效或容量不足,就有可能造成重大事故,所以必须对蓄电池的运行参数进行全面的在线监测。蓄电池状态的重要标志之一就是它的内阻。无论是蓄电池即将失效、容量不足或是充放电不当,都能从它的内阻变化中体现出来。因此可以通过测量蓄电池内阻,对其工作状态进行评估。目前测量蓄电池内阻的常见方法有:
(1)密度法
密度法主要通过测量蓄电池电解液的密度来估算蓄电池的内阻,常用于开口式铅酸电池的内阻测量,不适合密封铅酸蓄电池的内阻测量。该方法的适用范围窄。
(2)开路电压法
开路电压法是通过测量蓄电池的端电压来估计蓄电池内阻,精度很差,甚至得出错误结论。因为即使一个容量已经变得很小的蓄电池,再浮充状态下其端电压仍可能表现得很正常。
(3)直流放电法
直流放电法就是通过对电池进行瞬间大电流放电,测量电池上的瞬间电压降,通过欧姆定律计算出电池内阻。虽然这种方法在实践中也得到了广泛的应用,但是它也存在一些缺点。如用该方法对蓄电池内阻进行检测必须是在静态或是脱机状态下进行,无法实现在线测量。而且大电流放电会对蓄电池造成较大的损害,从而影响蓄电池的容量及寿命。
(4)交流注入法
交流法通过对蓄电池注入一个恒定的交流电流信号IS,测量出蓄电池两端的电压响应信号Vo,以及两者的相位差θ由阻抗公式
![]()
来确定蓄电池的内阻R。该方法不需对蓄电池进行放电,可以实现安全在线检测电池内阻,故不会对蓄电池的性能造成影响。但该方法需要测量交流电流信号Is,电压响应信号Vo,以及电压和电流之间的相位差θ由此可见这种方法不但干扰因素多,而且增加了系统的复杂性,同时也影响了测量精度。
为了解决上述各方法的缺陷,本文采用了四端子测量方式,将蓄电池两端上的电压响应信号通过交流差分电路与产生恒定交流源的正弦信号经过模拟乘法器相乘,再将模拟乘法器的输出电压信号通过滤波电路,使交流信号转变为直流信号,直流信号经直流放大器放大后进行模数转换,将转换后的值送入单片机进行简单处理。
2.蓄电池内阻检测原理
由于电池内阻为毫欧级,因此采用常规的两端子测量方法测量误差较大,在此采用四端子测量方式。测量时两个端子施加一频率为1.0kHZ±0.1kHZ的恒定交流激励电流信号,另两个端子用于测量。测量工作原理图如图1所示,响应信号是指蓄电池注入交流恒流源后,在其两端测出的交流电压信号。而正弦信号是经D/A产生的作为压控恒流源的输入信号。

图1 测量工作原理图[page]
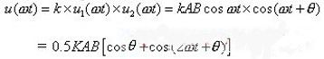
设正弦信号为:u1(ωt)=Acosωt 。蓄电池两端的响应电压信号为:u2(ωt)=Bcos(ωt + θ) 。θ为注入蓄电池的交流电流和其两端响应电压信号的相位差。
通过模拟乘法器后有:

K为模拟乘法器的放大系数。进行低通滤波后滤掉交流成分得:
![]()
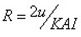
由交流法测内阻原理得:
![]()
式中I为交流恒流源信号的最大值。
比较可得:
![]()
上式中K、A、I都是已知量,而u为经过A/D采样送到单片机进行处理的采样值,所以在单片机中进行一个简单的除法运算便能得到蓄电池内阻了。
3.交流恒流源的设计
成功检测蓄电池状态的前提是可以提供需要的交流恒流源。恒流源是能够向负载提供恒定电流的电源装置。它是一个电源内阻非常大的电源。为了保证内阻有较高的测量精度及较好的重现性,要求恒流电流源有足够的稳定度,并且波形失真度要小。这里所需交流信号幅度为40mV,频率为1KHZ。
但是传统的低频交流信号发生器设计中存在很多的不足:应用通用电路,元器件多,尤其是电容的体积大,且波形的稳定性差、失真大,调节也极不方便;应用专用电路,如ICL8038、MAX038等,其失真和稳定性方面有明显提高,但低频应用时不合适,调节不方便,成本也较高。
3.1 设计原理
本文采用了数字式信号发生器产生标准正弦波和电流负反馈法产生精确交流恒流源法, 交流恒流源实现原理如图2所示。

图2 正弦交流恒流源实现原理
电路组成框图如图2所示:这是一个闭环控制系统,电流负反馈电路。标准正弦波产生一个频率稳定、对称、失真度低的1KHz正弦波信号。驱动电路把正弦波放大,去推动功放电路,得到正弦交流电流输出。恒流控制电路从功放输出中得到的信号,通过与给定的信号相比较,来调节驱动电路的信号,从而使输出电流保持稳定。
3.2 标准正弦波的产生原理
标准正弦波信号的产生采用数字式信号发生器。首先将正弦表数据存储在正弦信号存储器中,晶振产生振荡频率f,经过整型电路变为完整方波频率,再经过R分频电路得到频率为f/R,再经过鉴相器FD和环路滤波器LF电路锁相分频后,读取存储在正弦信号存储器中的正弦值,经过D/A转换电路和经低通有源滤器滤波电路,生成图2 所需的标准正弦波。
4.总结
与现有技术相比,该处理方法的适用范围广,测量精度高,对蓄电池的损害小,可以对蓄电池进行安全的在线监测管理。同时不需要进行交流采样和求解cos ,就能求出蓄电池的内阻值。这简化了交流注入法中需要对蓄电池两端交流电压和相位差 进行测量的软硬件的复杂程度。该方法可以满足蓄电池检测的要求,取得了较好的实用效果,完成了对铅酸蓄电池的性能检测和故障诊断。为蓄电池的在线检测提供了一种实用的方法。




