中心议题:
- 开关电源对容性负载的要求
- 提高开关电源容性负载能力的方法
- 容性负载设计的典型案例
- 容性负载能力的应用
在DC/DC开关电源的应用中,输出负载端外接电容能起到滤波、抑制干扰的作用,在某些大容性负载动态跳变的设备中,要求电源输出端有快速响应,这就要求开关电源有较强的带容性负载的能力,并且有好的稳定性能。在开关电源的设计过程中,要充分理解并实现客户负载使用的特殊要求,必须分析开关电源容性负载能力的两种不同状态要求。
1 容性负载的要求
开关电源的基本特性中,一般并没有对容性负载能力做出严格的规范。一般电源都可带相当容性的负载,但考虑到电源的过流?;つ芰Γ绕涫鞘涑龆搪繁;?,容性负载能力不可能太大,否则?;つ芰Ρ洳睢6杂诙嗦肥涑龅哪?樗菪愿涸?,其分配原则是电容的存储总能量不能超过0.25J,包括主路的电容存储能量与辅助电路的存储能量的总和(1/2∑CU2)。依此计算,在设计中最大容性负载的选取如见表l(电路和输出功率不同的模块的最大容性负载会各不相同,实际选用和使用时需要参照相关给定的技术参数手册)在实际设计和应用中,开关电源输出容性负载能力由以下两种要求来调试和测试:

1)电源稳定工作,仅负载由空载到满载跳变,输出电压稳定
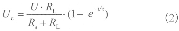
当模块正常工作时,DC/DC开关电源可以等效为电压源,其输出等效电路图和简化后的等效电路图分别如图1和图2所示。其中,U是输出电压,RS是等效内阻,RL是输出负载电阻,C是输出电容,

根据图2有

可认为开关S闭合前电容电压UC为零,由式(1)可得

由上述计算,可以看出电容电压VC是按指数规律不断上升,要使输出电压更快更稳定的建立,电源输出内阻要小,一般通过高增益、快速响应的输出稳压反馈环路,可以实现性能的改善和提高。[page]
但由于存在输出电感的储能,电压反馈和前端峰值电流控制的作用,电容电压并不完全是由零开始上升的指数波形,见图3。

输出电压的稳定过程中,一方面由输出滤波电感的储能来逐步补充,另一方面由反馈环控制电路原边快速输出更大功率。输出电感的取值一般由电流纹波系数λ和电源的空载特性来确定,为了避免容性跳变输出电压过大的下冲,使控制电路达到极限,电感的取值要大于λ的理论值计算所得数值,但同时也要考虑输出失载时的电压上冲幅度,所以输出电感也不能太大,大的电感一般不易制作、成本较高,所以电感的实际取值可以用实验的方法得到。图4给出了输出电感Lout不同取值时,容性负载突变时输出电感电流的跳变波形和最大的容性负载能力。

图4 输出电感电流波形
由实验得出输出电感大的??榇娜菪愿涸卮?,电感储能有助于输出电压的稳定,限流?;さ缏饭ぷ魇奔涠蹋煊κ奔浠嵯嘤Τひ恍?。
2)??榇涑龅缛萜舳涑龅缪刮榷?br />
当??榇蟮缛萜舳?,需对电容迅速充电,以维持输出电压稳定,启动瞬间会产生一个大的电流。启动过程中大电流持续时间太长,??榭刂菩酒谋;すδ芫突岽锏郊蓿岢鱿制舳涣枷窒蠹词涑龅缪共荒苷=?;另外,容性负载的大小直接影响输出电压的上升时间,在有严格输出电压上升时间要求的环境中就会出现应用故障。一般自馈电源的输出电压和供电电压是正比关系,在输出达到正常电压之前,芯片VCC无法满足供电要求。因此启动电路的供电方式和VCC电容的储能也是决定容性负载能力的重要因素。
2 提高开关电源容性负载能力的方法
如果辅助电源是独立电源,可以用软启动的方法使输出电压缓慢建立。对自馈供电来说,软启动时间长就难以启动,这时要增加VCC电容容量。VCC容量大,对单独依靠芯片内部电流环起短路?;さ哪?榛嵊杏跋?,因此必须在容性负载和过流(及短路?;?之间找一下平衡点。
适当使限流电阻取值减小,相当于提高电源的输出功率,用于增加启动过程中提供给输出端负载能量。调节反馈环路参数,使运放光耦等集成元件退饱和速度加快,可以解决容性负载跳变时OVERSHOOT严重的问题,即提高了电源的稳定性能。
3 容性负载设计的典型案例
在Forward DC/DC变换器设计时,设计人员根据容性负载能力的两项基本要求,通过调整限流电阻、启动电容的大小等相关参数,参照理论计算值,进行调试和测试,金升阳系列型号(VRB_LD_15W)DC/DC??榈娜菪愿涸啬芰Υ蟠笤銮?,满足客户在各种特殊环境中的广泛应用。
4 容性负载能力的应用和总结
容性负载的需求大小与应用环境密切相关,容性负载能力是基于短路性能、过载?;つ芰χ涞钠胶庋≡?。在具有特殊规格要求的模块设计中,一定要对上述参数进行优化调试,做到最优设计,满足特定的应用要求。




