中心议题:
- IGBT的工作原理及损坏机制
- IGBT的?;ご胧?/strong>
- IGBT栅极的?;?/strong>
- IGBT集电极与发射极间的过压保护
- IGBT集电极电流过流?;?/strong>
- IGBT的过热保护
绝缘栅双极型晶体管IGBT是由MOSFET和双极型晶体管复合而成的一种器件,其输入极为MOSFET,输出极为PNP晶体管,因此,可以把其看作是MOS输入的达林顿管。它融和了这两种器件的优点,既具有MOSFET器件驱动简单和快速的优点,又具有双极型器件容量大的优点,因而,在现代电力电子技术中得到了越来越广泛的应用。
在中大功率的开关电源装置中,IGBT由于其控制驱动电路简单、工作频率较高、容量较大的特点,已逐步取代晶闸管或GTO。但是在开关电源装置中,由于它工作在高频与高电压、大电流的条件下,使得它容易损坏,另外,电源作为系统的前级,由于受电网波动、雷击等原因的影响使得它所承受的应力更大,故IGBT的可靠性直接关系到电源的可靠性。因而,在选择IGBT时除了要作降额考虑外,对IGBT的?;ど杓埔彩堑缭瓷杓剖毙枰氐憧悸堑囊桓龌方?。
1 IGBT的工作原理
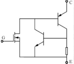
IGBT的等效电路如图1所示。由图1可知,若在IGBT的栅极和发射极之间加上驱动正电压,则MOSFET导通,这样PNP晶体管的集电极与基极之间成低阻状态而使得晶体管导通;若IGBT的栅极和发射极之间电压为0V,则MOSFET截止,切断PNP晶体管基极电流的供给,使得晶体管截止。

图1 IGBT的等效电路
由此可知,IGBT的安全可靠与否主要由以下因素决定:
(1)IGBT栅极与发射极之间的电压;
(2)IGBT集电极与发射极之间的电压;
(3)流过IGBT集电极-发射极的电流;
(4)IGBT的结温
如果IGBT栅极与发射极之间的电压,即驱动电压过低,则IGBT不能稳定正常地工作,如果过高超过栅极-发射极之间的耐压则IGBT可能永久性损坏;同样,如果加在IGBT集电极与发射极允许的电压超过集电极-发射极之间的耐压,流过IGBT集电极-发射极的电流超过集电极-发射极允许的最大电流,IGBT的结温超过其结温的允许值,IGBT都可能会永久性损坏。
2 ?;ご胧?br />
在进行电路设计时,应针对影响IGBT可靠性的因素,有的放矢地采取相应的?;ご胧?。
2.1 IGBT栅极的保护
IGBT的栅极-发射极驱动电压VGE的保证值为±20V,如果在它的栅极与发射极之间加上超出保证值的电压,则可能会损坏IGBT,因此,在IGBT的驱动电路中应当设置栅压限幅电路。另外,若IGBT的栅极与发射极间开路,而在其集电极与发射极之间加上电压,则随着集电极电位的变化,由于栅极与集电极和发射极之间寄生电容的存在,使得栅极电位升高,集电极-发射极有电流流过。这时若集电极和发射极间处于高压状态时,可能会使IGBT发热甚至损坏。如果设备在运输或振动过程中使得栅极回路断开,在不被察觉的情况下给主电路加上电压,则IGBT就可能会损坏。为防止此类情况发生,应在IGBT的栅极与发射极间并接一只几十kΩ的电阻,此电阻应尽量靠近栅极与发射极。如图2所示。

图2 栅极保护电路
[page]
由于IGBT是功率MOSFET和PNP双极晶体管的复合体,特别是其栅极为MOS结构,因此除了上述应有的?;ぶ猓拖衿渌鸐OS结构器件一样,IGBT对于静电压也是十分敏感的,故而对IGBT进行装配焊接作业时也必须注意以下事项:
(1)在需要用手接触IGBT前,应先将人体上的静电放电后再进行操作,并尽量不要接触??榈那俗硬糠郑匦虢哟ナ币Vご耸比颂迳纤木驳缫讶糠诺?;
(2)在焊接作业时,为了防止静电可能损坏IGBT,焊机一定要可靠地接地。
2.2 集电极与发射极间的过压?;?/strong>
过电压的产生主要有两种情况,一种是施加到IGBT集电极-发射极间的直流电压过高,另一种为集电极-发射极上的浪涌电压过高。
2.2.1 直流过电压
直流过压产生的原因是由于输入交流电源或IGBT的前一级输入发生异常所致。解决的办法是在选取IGBT时,进行降额设计;另外,可在检测出这一过压时分断IGBT的输入,保证IGBT的安全。
2.2.2 浪涌电压的?;?br />
因为电路中分布电感的存在,加之IGBT的开关速度较高,当IGBT关断时及与之并接的反向恢复二极管逆向恢复时,就会产生很大的浪涌电压Ldi/dt,威胁IGBT的安全。
通常IGBT的浪涌电压波形如图3所示。

图中:VCE为IGBT集电极-发射极间的电压波形;ic为IGBT的集电极电流;Ud为输入IGBT的直流电压;VCESP=Ud+Ldic/dt,为浪涌电压峰值。
如果VCESP超出IGBT的集电极-发射极间耐压值VCES,就可能损坏IGBT。解决的办法主要有:
(1)在选取IGBT时考虑设计裕量;
(2)在电路设计时调整IGBT驱动电路的Rg,使di/dt尽可能?。?br />
(3)尽量将电解电容靠近IGBT安装,以减小分布电感;
(4)根据情况加装缓冲?;さ缏?,旁路高频浪涌电压
由于缓冲?;さ缏范訧GBT的安全工作起着很重要的作用,在此将缓冲?;さ缏返睦嘈秃吞氐阕饕唤樯?。


图4 缓冲?;さ缏?/p>
(1)C缓冲电路如图4(a)所示,采用薄膜电容,靠近IGBT安装,其特点是电路简单,其缺点是由分布电感及缓冲电容构成LC谐振电路,易产生电压振荡,而且IGBT开通时集电极电流较大。
(2)RC缓冲电路如图4(b)所示,其特点是适合于斩波电路,但在使用大容量IGBT时,必须使缓冲电阻值增大,否则,开通时集电极电流过大,使IGBT功能受到一定限制。
(3)RCD缓冲电路如图4(c)所示,与RC缓冲电路相比其特点是,增加了缓冲二极管从而使缓冲电阻增大,避开了开通时IGBT功能受阻的问题。该缓冲电路中缓冲电阻产生的损耗为:
,式中:L为主电路中的分布电感;I为IGBT关断时的集电极电流;f为IGBT的开关频率;C为缓冲电容;Ud为直流电压值。
(4)放电阻止型缓冲电路如图4(d)所示,与RCD缓冲电路相比其特点是,产生的损耗小,适合于高频开关。在该缓冲电路中缓冲电阻上产生的损耗为:
根据实际情况选取适当的缓冲保护电路,抑制关断浪涌电压。在进行装配时,要尽量降低主电路和缓冲电路的分布电感,接线越短越粗越好。
[page]
2.3 集电极电流过流?;?/strong>
对IGBT的过流?;ぃ饕?种方法。


图5 集电极过流?;さ缏?/p>
2.3.1 用电阻或电流互感器检测过流进行?;?/strong>
如图5(a)及图5(b)所示,可以用电阻或电流互感器与IGBT串联,检测流过IGBT集电极的电流。当有过流情况发生时,控制执行机构断开IGBT的输入,达到?;GBT的目的。
2.3.2 由IGBT的VCE(sat)检测过流进行?;?/strong>
如图5(c)所示,因VCE(sat)=IcRCE(sat),当Ic增大时,VCE(sat)也随之增大,若栅极电压为高电平,而VCE为高,则此时就有过流情况发生,此时与门输出高电平,将过流信号输出,控制执行机构断开IGBT的输入,保护IGBT。
2.3.3 检测负载电流进行?;?br />
此方法与图5(a)中的检测方法基本相同,但图5(a)属直接法,此属间接法,如图5(d)所示。若负载短路或负载电流加大时,也可能使前级的IGBT的集电极电流增大,导致IGBT损坏。由负载处(或IGBT的后一级电路)检测到异常后,控制执行机构切断IGBT的输入,达到保护的目的。
2.4 过热?;?br />
一般情况下流过IGBT的电流较大,开关频率较高,故而器件的损耗也比较大,如果热量不能及时散掉,使得器件的结温Tj超过Tjmax,则IGBT可能损坏。
IGBT的功耗包括稳态功耗和动态动耗,其动态功耗又包括开通功耗和关断功耗。在进行热设计时,不仅要保证其在正常工作时能够充分散热,而且还要保证其在发生短时过载时,IGBT的结温也不超过Tjmax
当然,受设备的体积和重量等的限制以及性价比的考虑,散热系统也不可能无限制地扩大??稍诳拷麵GBT处加装一温度继电器等,检测IGBT的工作温度。控制执行机构在发生异常时切断IGBT的输入,保护其安全。 除此之外,将IGBT往散热器上安装固定时应注意以下事项:
(1)由于热阻随IGBT安装位置的不同而不同,因此,若在散热器上仅安装一个IGBT时,应将其安装在正中间,以便使得热阻最?。坏币沧凹父鯥GBT时,应根据每个IGBT的发热情况留出相应的空间;
(2)使用带纹路的散热器时,应将IGBT较宽的方向顺着散热器的纹路,以减少散热器的变形;
(3)散热器的安装表面光洁度应≤10μm,如果散热器的表面不平,将大大增加散热器与器件的接触热阻,甚至在IGBT的管芯和管壳之间的衬底上产生很大的张力,损坏IGBT的绝缘层
(4)为了减少接触热阻,最好在散热器与IGBT??榧渫磕ǖ既裙柚?。
3 结语
在应用IGBT时应根据实际情况,采取相应的?;ご胧?。只要在过压、过流、过热等几个方面都采取有效的?;ご胧┖螅谑导视τ弥芯芄蝗〉昧己玫男Ч?,保证IGBT安全可靠地工作。



