- 交流电机的选择
- 无需软件的最新无传感器永磁同步电机控制
- 洗衣机电机的控制选择
- 专用的无传感器控制芯片以及配套的运动控制引擎
用于风机、水泵、空调、冰箱、洗衣机、电梯和传输等应用领域的电动机消耗着全球半数以上的电能,其中大多采用仅能简单开启和关断电机的高能耗机电驱动装置。仅在家电应用中以变频解决方案替代这些低效率电机就可以削减多达60%的能源消耗。大部分家电采用通用直流电机或单相交流感应电机,其速度控制方法相当粗略,要么采用开断控制,要么依靠可控硅控制导通相角,其典型系统效率最高也就能达到50%左右。不过,随着高效功率器件和先进数字控制器的问世,将更具效率的电机和控制技术应用于最新家电已经成为可能。
交流电机的选择
任何交流电机的轴端输出力矩都取决于定子和转子磁场间的耦合角。定子绕组电流的磁化力与转子产生的气隙磁通相互作用产生力矩,该力矩趋于将转子磁通与定子磁场对齐,当定子磁化电流矢量与转子磁通矢量相位错开90° 时,该力矩达到最大值。在直流电机中,永磁体固定不动,由换相器和电刷的切换作用确保电枢磁场与定子磁极正确对齐。在交流电机中,气隙磁场旋转,不过,只要定子和转子磁场的旋转频率保持同步仍旧可以产生恒定力矩。
交流电机具有两种主要类型:同步电机和感应式电机(也通常称作异步电机)。在同步交流电机中,转子磁场由转子绕组中的直流电流或者由永磁体产生,为产生恒定力矩,定子电流必须与转子角度和旋转频率保持同步。在感应式电机中,转子磁场由定子通过变压器效应在转子中产生的感应电流形成,因此,定子和转子磁场的频率可自行同步。感应式电机静止时,与转子线圈耦合的磁通与定子磁场同频,因而转子电流也与定子电流同频;感应式电机转动时,转子磁通的耦合频率是定子频率与转子旋转频率的差值,即所谓的滑差频率,如果电机以定子频率旋转,则转子磁通恒定,无法感生转子电流,因而力矩输出为零。感应式电机总是以略低于定子频率的某种转速运行,如果负载增加,则转速下降,滑差频率升高,从而感生出更大的转子电流以产生更高的力矩。
感应式电机广泛应用于工业和家用电器等领域,尤其是在需要固定速度的场合。感应式电机的重要优势在于可直接接入交流电网并启动运行。反之,同步电机在接入交流电网之前,其开环输出电压的幅值和频率必须与电网充分匹配。大型同步电机正普遍应用于发电领域,而且同一公共电网中会接入多台发电机。
在变频应用中,为驱动系统选择电机是非显性的。感应式电机的逆变驱动广泛采用开环电压/频率的速度控制方案。如果采用速度传感器,也有可能实现感应式电机的闭环控制,即通过改变电机的滑差频率以控制电机产生的力矩。然而,由于转子电流无法测量以及转子电路时间常数很大,因而很难实现感应式电机的高动态控制。 与之相反,只要知道转子的角位置,就能够十分方便地实现同步电机的高动态力矩控制。
永磁同步电机(Permanent magnet synchronous machines ,简称PMSM)在工业伺服领域已经使用了很多年。由于采用永磁转子,因而这种电机十分高效,与相同尺寸的感应式电机相比,能够提供高得多的连续力矩。然而,需要以霍耳效应传感器或者旋转变压器等位置传感器检测其轴角位置,这种对转子角位置传感器的需求曾使其应用仅仅局限于高端工业驱动领域,但是近些年发展起来的“无传感器”控制算法已使其在家电领域的应用不断增加。
压缩机速度控制是永磁同步电机进入家电领域的最初应用之一。用于空调和冰箱的传统压缩机采用依靠电网频率运行于固定速度的感应式电机,压缩机尺寸必须满足开机后的最大负载状况,但是在正常运行中,要维持设定温度,压缩机就得以相当低的占空比循环断续工作。然而,采用压缩机速度控制后,就可以为正常运行选取最有效的工作速度。仅采用速度控制这一项就可以使功效提高30%以上,另外,由于永磁电机具备更高的效率,因而还能额外提高15%功效。如今,在关注能源成本的区域市场,如日本等,几乎90%的空调和超过50%的家用冰箱都已采用压缩机速度控制。

最初的无传感器控制器采用六拍换相相序驱动电机绕组,并通过监测开路绕组的反电势估计转子位置。该方法可以提供高鲁棒性的速度控制,但是无法提供平滑的电机力矩。其首要原因是:采用六拍换相相序时,要产生恒定力矩,电机就必须具备梯形反电势波形,而不是通常的正弦波形;其次,更大的问题在于换相过程中电流切换至后续绕组时所引入的力矩波动。由于电机反电势会加速退出相的电流衰减,并妨碍进入相的电流上升,因而运行速度越高,问题也变得越糟。电机力矩波动的高阶谐波成分容易引起系统的机械共振,会在风机、洗衣机、水泵和空调中产生音频噪声。然而,这种控制器十分简单,便于实现,所以仍旧在不需要平滑力矩控制的场合中有所采用。
由于采用基于DSP和RISC的低成本控制器能够实现更为复杂的控制算法,因而另一种可选的无传感器控制方案近年来变得流行起来。“最新无传感器”控制允许以正弦电压和电流波形驱动永磁同步电机,并以电机电流的测量值为基础估计转子位置,该算法可以有效地提供恒定力矩,且没有前面提到的六拍控制器所带有的音频噪声问题。另外,该算法可以由新型控制器硬件结构实现,并且无需任何软件编码就能有效地实现复杂控制。专用集成设计平台的核心是最新的无传感器控制器,以围绕控制和功率电子元件的附加集成功能等难题为重点,伴随兼容芯片设计,可以完成该平台设计方法,其重点包括可以为数字控制芯片和功率级之间提供必要连接的三相逆变器驱动芯片和高压电流传感芯片。
[page]无需软件的最新无传感器永磁同步电机控制
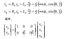
最新无传感器算法基于如图1所示的永磁同步电机的简化模型,电机绕组反电势波形为转子角度的正弦函数,因而能够用于测量转子角度。通过测量外加定子电压时流入定子线圈的电流可以计算反电势。为简化数学运算,可以利用 Clarke变换将三相电路变换为两相等效模型,这样就可以用转子角度的正弦和余弦函数表示反电势,其等效电路可以由以下方程描述:

为提取转子角度,可以对反电势项进行积分以计算转子磁通,该磁通与速度无关。最后,由于正弦和余弦磁通项的比例与磁通的幅值无关,因而可用来精确估计转子的角度和速度。
角度估计是实现控制算法的关键环节,不过,要实现图2中以结构图描述的控制系统仍需要许多其它功能。该控制器由一个速度外环和一个定子电流内环构成,可以分别产生参考力矩或者控制施加于绕组的电压。定子电流控制环由旋转参考坐标系中的磁场定向控制(Field Oriented Control,简称 FOC)技术实现,矢量以转子角度为函数旋转,将定子电流变换为两个准直流分量ID和IQ。IQ电流分量与转子磁通正交并产生力矩,其参考值来自速度环输出。ID电流与转子磁通对齐,可以增强或削弱转子磁通。在多数速度范围内ID给定值为零,不过,如果需要扩展到恒功率速度范围,则可以通过ID设定实现弱磁控制,这对于洗衣机等需要很高旋转速度的应用非常有用。
无传感器磁场定向控制算法能够以全新的控制器体系结构实现。图2中所示控制系统的每个功能都可以用硬件宏??槭迪?,而不是软件。诸如比例积分控制、矢量旋转和Clarke变换等功能可共用于所有交流电机控制系统。如图3所示,运动控制引擎(Motion Control Engine)库中包含交流电机控制??楹推渌ㄓ媚???;袢〉缁刂菩酒?,就能够取得MCE库,以及模拟输入和空间矢量PWM控制等功能??⑷嗽笨梢允褂猛夹喂ぞ呓覯CE库拖入自己的控制系统设计,然后利用图形编译器将控制设计翻译为MCE序列指令,以正确顺序连接硬件宏模块从而实现自己的控制系统。该方法可以不必在开发过程中进行软件编码,既能节省时间,又能减少错误。
洗衣机电机的控制选择
精确控制滚筒转速对于控制滚筒式洗衣机和波轮式洗衣机的洗涤动作都十分重要。滚筒式洗衣机已经在欧洲使用了很多年,而且目前在北美也变得越来越流行起来。波轮式洗衣机要求衣物完全浸没于水中,而滚筒式洗衣机的摔打作用只需要在滚筒底部装水,这样可以显著降低用水量,并从根本上节约加热洗涤用水所需的能源。
在滚筒式洗衣机中,决定洗涤动作的关键因素是滚筒转速。滚筒的临界转速取决于滚筒半径,高于该转速时,衣物会贴在滚筒壁上;处于该转速时,旋转产生的离心力恰好与衣物的重力平衡;低于该转速时,衣物将贴在滚筒壁上,直到沿半径方向的重力分量超过离心力,一旦升至该角度,衣物就会坠落到滚筒底部。由于滚筒转速可决定衣物的洗涤力度,因而可以为精细织物选择轻柔的洗涤循环方式。在传统的波轮式洗衣机中,由使用齿轮箱和离合器的机械结构产生搅动作用,因而,引入转速控制系统不仅能够简化机械系统,而且能够控制洗涤循环??刂葡吹佣鞯淖俸徒嵌瓤梢允瓜低成杓迫嗽备玫卮硐吹幼饔茫佣⒊龈谒南吹友贩绞?。
前面描述的许多电机转速控制选项都可以应用于洗衣机。欧洲的滚筒式洗衣机不使用交流电机,而是使用一种通用的“有刷”电机,而美国的洗衣机使用较大的滚筒尺寸,因而其电机的功率范围需超出通用电机方案。

虽然目前仍在使用三相感应式电机,但是近年来永磁同步电机正逐步成为首选解决方案。感应式电机的磁场来自电流,且必须由定子励磁电流分量产生,为产生力矩,电流需同时流经定子和转子绕组,其总铜损为永磁电机的两倍以上。 由于永磁同步电机比感应式电机更高效,因而与相同功率等级的感应式电机相比,钢铁和铜的使用量更少。在过去几年中,全球铜价和钢铁价格几乎翻了一倍,与此同时,磁性材料的成本却在下降。如此看来,永磁不仅意味着高效,而且目前也意味着不再昂贵。许多家电制造商正在将永磁同步电机解决方案用于波轮式和滚筒式洗衣机,其中部分厂商正在开始采用基于运动控制引擎(MCE)的控制芯片开发其控制器。
结束语
目前可以利用一种集成设计平台,简化先进的节能家电电机驱动应用的设计过程并降低成本。设计平台的核心是专用的无传感器控制芯片以及配套的运动控制引擎(MCE),该引擎包括实现闭环无传感器正弦控制必需的所有控制元素,且不同于其它种类的DSP或MCU,无需乏味易错的软件编程环节。



