超级电容通过分离正负电荷来储存能量,是物理方法储能,电池是用化学反应的方法来储能,所以电池的反应时间会很长,超级电容容量大,充放电速度快,而且充放电循环可达百万次,非常适合用作备用电源和提供峰值功率。
超级电容工作原理
超级电容可以用做后备电源,类似于UPS,在系统突然断电后,负责在极短时间内为系统提供能量。在这种应用中,需要后备电源有快速的启动时间。由于超级电容是物理反应的方式储存电能,充放电速度快,相对电池有着更为快速的响应时间。

图1:超级电容用作备用电源示意图
电池的充放电大概在1小时到10个小时左右,而传统用于滤波的电容,充放电在0.03秒,超级电容充放电在1秒左右,基本上是从0.1秒到10秒,这个时间正好是汽车、吊车刹车或启动的时间,其他设备比如风力发电中,风轮机变桨的时候要提供能量也是在这个时间段。
在风力发电风轮机变桨时、机车、电动机、汽车、吊车启动时需要的能量远大于其正常工作时需要的能量,超级电容可以辅助电池、发动机等动力系统提供峰值功率,从而减轻电池或发动机的负担。没有超级电容时,在负载启动、维持运行和终止的过程中,能量全部由电池或发动机供给。如果加入了超级电容,负载启动时需要的峰值功率可以由超级电容承担。

图2:超级电容提供峰值功率示意图
在机车、电动机、汽车、吊车刹车时,超级电容可以重新捕获能量。这样,加入了超级电容做辅助电源,可以提高能量利用效率,延长电池或发动机寿命。同时相对于没有超级电容的动力系统,电池或发动机不需要提供峰值功率,因而尺寸可以更小。下图是超级电容辅助电池、发动机的工作模式示意图。

图3:没有超级电容的动力系统工作模式

图4:超级电容用作辅助电源的动力系统工作模式
[page]
超级电容提供峰值功率的应用案例
集装箱龙门吊车使用柴油机做动力,当龙门下来的时候有一个动能,通常是通过刹车电阻耗散动能,刹车电阻是个耗能电阻,把电变成热耗散掉。如果使用了超级电容,刹车的动能可以转换成电能,通过一定的电路充电到超级电容里面去,反过来当龙门上升的时候通过一定的逆行电路把超级电容的能量反馈到电机里面。
由于使用了超级电容提供峰值功率,柴油机只需要提供维持运行的较小的功率,因而柴油机的尺寸可以减小一半,同时节省了成本。类似的应用还包括叉车、混合动力汽车、轻轨或地铁。

图5:超级电容用在集装箱龙门吊车上面
自动抄表系统抄表时,数据发送需要非常大的能量,超级电容能够提供大的能量。下图是Maxwell超级电容在智能电表上的应用,超级电容取代锂离子电池,寿命可以延长一倍,占版面积比锂离子电池小。在自动抄表系统中的水表和气表中,超级电容配合电池,延长使用寿命。

图6:超级电容在智能电表中替代电池
选择合适的超级电容
超级电容的选型和数量配置需要根据不同的应用来判断,选择要素包括最大和最小工作电压、平均电流、平均功率、峰值电流、峰值功率、工作环境温度、运行时间、寿命。
超级电容的额定电压用VR表示,通过最大工作电压(Vmax)可以算出需要串联的超级电容的数量。计算公式为:

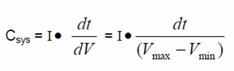
接下来,根据平均电流(I,单位为安培)、运行时间(dt,单位为秒)、最小工作电压(Vmin),通过下面公式,就能计算出系统所需要的电容容值的近似值。
![]()
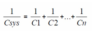
系统电容值与串联的每个电容之间的关系用下面的公式表示:

如果使用相同容值的电容,那么公式可以简化为:
。根据这个计算值,对照产品规格表,可以找出合适的产品。
如果各个电容之间是并联关系,系统电容值与单个电容之间的容值关系式为:
![]()
除此之外,其他需要考虑的因素有,电容的内阻与瞬时电压降有关,工作环境温度会影响电容内阻和寿命。






