在测试变压器铁芯导磁率的时候,一般都是通过测试变压器线圈电感量的方法来测试变压器铁芯的导磁率;这种测试方法实际上就是测试电感线圈的交流阻抗;然而用来代表介质属性的导磁率并不是一个常数,而是一个非线性函数,它不但与介质以及磁场强度有关,而且与温度还有关。
我们在前面(2-11)式和(2-12)式中,已经介绍过脉冲变压器的脉冲导磁率和开关变压器平均导磁率的概念。脉冲变压器的脉冲导磁率
由下式表示:

(2-11)式中,
称为脉冲静态磁化系数,或脉冲变压器的脉冲导磁率;
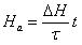
为脉冲变压器铁芯中的磁通密度增量;
为脉冲变压器铁芯中的磁场强度增量。(2-12)式中,
为开关变压器的平均导磁率;
为开关变压器铁芯中的平均磁通密度增量;
为开关变压器铁芯中的平均磁场强度增量。
在一定程度上来说,开关变压器也属于脉冲变压器,因为它们输入的都是电压脉冲;但一般脉冲变压器输入脉冲电压的幅度以及宽度基本上都是固定的,并且是单极性电压脉冲,其磁滞回线的面积相对来说很小,因此,变压器的脉冲导磁率
几乎可以看成是一个常数。
而开关变压器输入脉冲电压的幅度以及宽度一般都不是固定的,其磁滞回线的面积相对来说变化比较大,铁芯导磁率的变化范围也比较大,特别是双激式开关变压器,因此,只能用平均导磁率
的概念来描述。
如果不是特别强调脉冲变压器输入电压为单极性脉冲电压,并且输入脉冲电压的幅度以及宽度基本上都是固定的;那么,利用(2-11)式来计算开关变压器平均导磁率也未尝不可;因为,人们在测量开关变压器平均导磁率
的时候,不可能用很多不同幅度和宽度的脉冲电压,分别对开关变压器逐一进行测试,然后再把测试结果取平均值。
我们可以试想,如果在众多用来测试的不同幅度和宽度的电压脉冲之中,我们只选出其中一组,其幅度和宽度都是在这些测试电压脉冲之中比较偏中的,那么,用(2-11)式的测试结果来代替(2-12)式的结果,实际上不会有很大的区别。
这样,反而使得对变压器平均导磁率的测量变得简单。因此,我们在对开关变压器平均导磁率进行测试的时候,同样可以用(2-11)式来测量,不过我们必须选用比较适当的测试脉冲电压幅度与宽度。
根据这个想法,开关变压器平均导磁率的测量方法与脉冲变压器脉冲导磁率的测量方法基本一样??乇溲蛊髌骄即怕实牟饬靠稍诓饬勘溲蛊魈镜拇胖退鸷暮臀辛魉鸷牡耐彼潮悴獾谩?br />
根据磁场强度的安培环路定律:磁场强度沿任何闭合回路
的线积分,等于穿过该环路所有电流强度代数和?;蛘叽怕返目讼;舴蚨桑涸诖懦』芈分?,任一绕行方向上磁通势NI(N为线圈匝数,I为电流强度)的代数和恒等于磁压降
(
为磁场强度,
为磁路中磁场强度为
的平均长度)的代数和。
亦可解释为:磁场强度的平均值与任何闭合回路平均长度
的乘积,等于穿过该环路所有电流强度的代数和。这个定律在前面(2-32)式和(2-72)式中都已使用过,这里再重复一次,即:

(2-90)式中,
为变压器铁芯中的磁场强度增量,N为变压器初级线圈的匝数,
为流过变压器初级线圈励磁电流的增量。
从图2-26或图2-28中可以看出,(2-90)式中的
就是励磁电流的最大值
。另外再根据电磁感应定理中输入电压与磁通和磁通变化率,以及磁通与磁通密度等关系,即可求得:
[page]
(2-91)式中,
为开关变压器的平均导磁率;
为脉冲变压器的脉冲导磁率,或脉冲静态磁化系数;
为在某测试脉冲电压幅度和宽度的条件下,开关变压器铁芯中的磁通密度增量;
为在某测试脉冲电压幅度和宽度的条件下,开关变压器铁芯中的磁场强度增量;
U为输入脉冲电压的幅度;S为变压器铁芯的截面积;N为开关变压器初级线圈的匝数;
为开关变压器铁芯磁回路的平均长度;
为流过开关变压器初级线圈励磁电流的最大值;τ为电压脉冲的宽度。
有效导磁率
前面已经指出过,用来代表介质属性的导磁率并不是一个常数,而是一个非线性函数,它不但与介质以及磁场强度有关,而且与温度还有关。因此,导磁率所定义的并不是一个简单的系数,而是人们正在利用它来掩盖住人类至今还没有完全揭示的,磁场强度与电磁感应强度之间的内在关系。
前面我们比较详细地介绍了平均导磁率
和脉冲导磁率
的概念,以后我们还会碰到初始导磁率
、最大导磁率
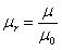
、相对导磁率
(铁磁材料导磁率与真空导磁率之比,
)和有效导磁率
等概念,这些,都是人们在不同的使用场合,对铁磁材料的导磁率进行不同的定义,以使分析计算简单。
初始导磁率
和最大导磁率
以及相对导磁率
一般比较容易理解,这里不准备再对它们做详细介绍,下面重点介绍一下有效导磁率
的概念。
很多人在测试变压器铁芯导磁率的时候,都是通过测试变压器线圈电感量的方法来测试变压器铁芯的导磁率;这种测试方法实际上就是测试电感线圈的交流阻抗,然后把阻抗换算成线圈的电感量,最后再根据(2-67)式求出变压器铁芯的导磁率。


变压器铁芯产生涡流损耗的因素包含在其中。
[page]
因为,如果没有涡流损耗,变压器铁芯中的磁场强度基本上只达到图2-19-a或图2-22-a中的平均值Ha,
;由于涡流损耗,励磁电流必须额外提供一部分电流来抵消涡流产生的磁场的作用;在变压器铁芯的中心,涡流产生的磁场强度最高,
因此,励磁电流产生的磁场是不足以补偿涡流产生的负磁场的(磁场强度低于平均值Ha);而在铁芯边沿,涡流产生的磁场强度最低,励磁电流产生的磁场不但可以抵消涡流产生的磁场,并且还抵消过了头(磁场强度高于平均值Ha);因此,在铁芯边沿,涡流产生的磁场强度几乎等于0,但这时,励磁电流还是要对涡流进行补偿;即:产生磁场强度
的励磁电流已经把变压器铁芯产生涡流损耗的因素包含在其中。



图2-29-a中,Le是一个同时考虑涡流损耗因素的电感;L是变压器原初级线圈的电感;Rb是铁芯涡流损耗电阻;Lb是一个互感线圈,通过它把流过电阻Rb的电流感应到变压器初级线圈中;当流过电阻Rb的电流增加时,流过通过Lb互感线圈的感应作用,使流过变压器初级线圈L的电流也同时增加。
由于开关变压器的铁芯大部分都是选用铁氧体软磁材料,铁氧体变压器铁芯在常温下,虽然电阻率很大,但当温度升高时,电阻率会急速下降;相当于图2-29-b中的Rb涡流等效电阻减小,流过Rb的电流增加;当温度升高到某个极限值时,变压器初级线圈的有效电感量几乎下降到0,相当于有效导磁率也下降到0,或变压器初、次级线圈被短路,此时的温度称为居里温度,用Tc表示。因此,铁氧体的电阻率和导磁率都是不稳定的,铁氧体开关变压器的工作温度不能很高,一般不要超过120 摄氏度。



