在开关电源电路设计或电路试验过程中,经常要对线圈或导线的电感以及线圈的匝数进行计算,以便对电路参数进行调整和改进。下面仅列出多种线圈电感量的计算方法以供参考
在进行电路计算的时候,一般都采用SI国际单位制,即导磁率采用相对导磁率与真空导磁率的乘积,即:
,其中相对导磁率
是一个没有单位的系数,真空导磁率
的单位为H/m。
1、圆截面直导线的电感

圆截面直导线如图2-32所示,其电感为:

2、同轴电缆线的电感

同轴电缆线如图2-33所示,其电感为:

[page]
3、双线制传输线的电感

双线制传输线如图2-34所示,其电感为:

4、两平行直导线之间的互感
两平行直导线如图2-34所示,其互感为:

5、圆环的电感

[page]
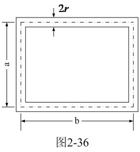
5、矩型线圈的电感

矩形线圈如图2-36所示,其电感为:


6、螺旋线圈的电感
[page]
螺旋线圈如图2-37所示,其电感为:


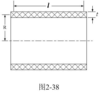
7、多层绕组线圈的电感

多层绕组线圈如图2-38所示,其电感为:
[page]
【说明】上式是用来计算多层线圈绕组、截面为圆形的空心线圈的电感计算公式。长冈系数k可查阅表2-1,系数c可查阅表2-2。当线圈内部有磁芯时,有磁芯线圈的电感是空心线圈电感的
倍,
是磁芯的相对导磁率。相对导磁率的测试方法很简单,只需把有磁芯的线圈和空心线圈分别进行测试,通过对比即可求出相对导磁率的大小。

8、变压器线圈的电感
变压器线圈如图2-39所示,其电感为:


【说明】上式是用来计算变压器线圈电感的计算公式。由于变压器铁芯的磁回路基本是封闭的,变压器铁芯的平均导磁率相对来说比较大。铁芯的导磁率一般在产品技术手册中都会给出,但由于大多数开关电源变压器的铁芯都留有气隙,留有气隙的磁回路会出现磁场强度以及磁感应强度分布不均匀,因此,(2-108)式中的导磁率只能使用平均导磁率,技术手册中的数据不能直接使用。
在这种情况下,最好的方法是先制作一个简单样品,例如,在某个选好的变压器铁芯的骨架上绕一个简单线圈(比如匝数为10),然后对线圈的电感量进行测试,或者找一个已知线圈匝数与电感量的样品作为参考。知道了线圈样品的电感量后,只需把已知参数代入(2-108)或(2-94)式,即可求出其它未知参数,然后把所有已知参数定义为一个常数k;最后电感的计算公司就可以简化为:L = kN2 ,这样,电感量的计算就变得非常简单。
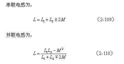
9、两个线圈的互感
两线圈的连接方法如图2-40所示。其中图2-40-a和图2-40-b分别为正、反向串联;图2-40-c和图2-40-d分别为正、反向并联。


其中:
L:两个线圈连接后的电感 [H]
L1、L2 :分别为线圈1与线圈2的自感 [H]
M:两个线圈的互感 [H]
【说明】互感M有正负,图2-40-a和图2-40-c的接法互感M为正,图2-40-b和图2-40-d的接法互感M为负。两个线圈之间的互感M为:

【说明】互感的大小,取决两个线圈的结构和两个线圈的相对位置以及导磁物质。当K=1时,
,这时的耦合称为全耦合,它表示一个线圈产生的磁通全部从另一个线圈通过(没有漏磁通)。但在实际应用中,无论任何结构的两个线圈总会产生漏磁通,因此,耦合系数k总是一个小于1的数。一般带有铁芯的变压器漏感都比较小,因此,变压器初、次级线圈之间的偶合系数可以认为约等于1。



