线圈匝数的计算是开关电源设计的关键,而单激式和双击式开关电源又各不相同。本讲主要分析在不同类型电压脉冲输入下初级线圈电场、磁场的变化,电磁能量转换的过程,实际设计中应当注意的问题,推导出线圈匝数的计算通式
。
双激式开关电源变压器伏秒容量与初级线圈匝数的计算
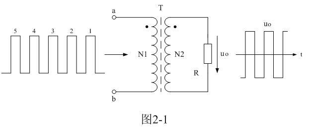
在图2-1中,当有直流脉冲电压输入变压器初级线圈a、b两端时,在变压器初级线圈中就有励磁电流流过,励磁电流会在变压器铁芯中产生磁通
,同时在变压器初级线圈两端还会产生反电动势;反电动势电压的幅度与输入电压的幅度相等,但方向相反。

因此,根据电磁感应定律,变压器铁芯中磁通
的变化过程由下式决定:

上面(2-13)、(2-14)、(2-15)式中,US为变压器的伏秒容量,US = E×τ ,即:伏秒容量等于输入脉冲电压幅度与脉冲宽度的乘积,单位为伏秒,E为输入脉冲电压的幅度,单位为伏,τ为脉冲宽度,单位为秒;Δ
为磁通增量,单位为麦克斯韦(Mx),Δ
= S×ΔB ;ΔB磁通密度增量,ΔB = Bm-Br ,单位为高斯(Gs);S为铁芯的截面积,单位为平方厘米;N1为变压器初级线圈N1绕组的匝数,K为比例常数。[page]
伏秒容量表示一个变压器能够承受多高的输入电压和多长时间的冲击。因此,变压器的伏秒容量US越大,表示流过变压器初级线圈的励磁电流就越小。一般变压器的励磁电流都是不提供功率输出的,只有反激式开关电源是例外,因此,在正激式变压器开关电源或双激式变压器开关电源中,励磁电流越小,表示开关电源的工作效率越高。
在一定的变压器伏秒容量条件下,输入电压越高,变压器能够承受冲击的时间就越短,反之,输入电压越低,变压器能够承受冲击的时间就越长;而在一定的工作电压条件下,变压器的伏秒容量越大,变压器的铁芯中的磁通密度就越低,变压器铁芯就更不容易饱和。变压器的伏秒容量与变压器的体积以及功率基本无关,只与磁通的变化量大小有关。
如果我们对(2-15)式稍微进行变换,就可以得到单激式开关电源变压器初级线圈匝数计算公式:

(2-16)式就是计算单激式开关电源变压器初级线圈N1绕组匝数的公式。式中,N1为变压器初级线圈N1绕组的最少匝数,S为变压器铁芯的导磁面积(单位:平方厘米),Bm为变压器铁芯的最大磁通密度(单位:高斯),Br为变压器铁芯的剩余磁通密度(单位:高斯),τ为脉冲宽度,或电源开关管导通时间的宽度(单位:秒),E为脉冲电压幅度,即开关电源的工作电压幅度,单位为伏。
(2-16)式中的指数108在数值上正好等于(2-13)、(2-14)、(2-15)式中的比例系数K,因此,选用不同单位制,比例系数K的值就会不一样;这里选用CGS单位制,即:长度为厘米(cm),磁通密度为高斯(Gs),磁通单位为麦克斯韦(Mx)。


从图2-2和图2-3还可以看出,直接采用图2-2和图2-3的参数来设计单激式开关电源变压器,在实际应用中是没有太大价值的。因为,普通变压器铁芯材料的最大磁通密度Bm的值都不大,大约在3000~5000高斯之间,剩余磁通密度Br一般却高达最大磁通密度Bm的80%以上。[page]
因此,实际可应用的磁通密度增量ΔB一般都很小,大约只有500高斯左右,一般不会超过1000高斯。为了增大磁通密度增量ΔB,一般都需要在变压器铁芯中留出一定长度的气隙,以降低剩余磁通密度Br的数值。
由(2-13)和(2-14)式可以知道,尽管磁化曲线不是线性的,但当输入电压为方波时,流过变压器初级线圈励磁电流所产生的磁通还是按线性规律增长的;而流过变压器初级线圈励磁电流以及磁场强度却不一定是按线性规律增长,正因为如此,才使得(2-13)和(2-14)式中出现一个比例常数K 。
也就是说,当我们把(2-13)、(2-14)、(2-15)式中的系数K作为一个比例常数看待时,同时也就意味着,我们已经把变压器铁芯的导磁率也当成了一个常数看待了,但由于变压器铁芯导磁率的非线性以及励磁电流的非线性,两个非线性参数互相补偿,才使得变压器铁芯中的磁通按线性规律变化。因此,在变压器铁芯将要接近饱和的时候,变压器初级线圈中的励磁电流是非常大的。
在单激变压器开关电源中,虽然流过变压器初级线圈中的电流所产生的磁通是按线性规律上升的,但变压器铁芯产生退磁时,磁通的变化并不一定是按线性规律下降的。这个问题在第一章的内容中已经基本作了解释。当直流脉冲电压过后,变压器次级线圈中产生的是反激式电压输出,在纯电阻负载中,其输出电压一般是一个按指数规律下降的电压脉冲,因此,其对应的磁通增量就不可能是按线性规律变化,而应该也是按指数规律变化的,不过后一种指数规律正好是对前一种指数规律进行积分的结果。这种对应关系从(2-13)和(2-14)式中也很容易可以看得出来。
这里顺便指出:单激式变压器开关电源中,对变压器铁芯产生磁化作用的只有流过变压器初级线圈的励磁电流,因此,励磁电流也称磁化电流;而对变压器铁芯产生退磁作用的是变压器初、次级线圈产生的反电动势,以及由反电动势产生的电流,即:反激输出电压和电流;而正激输出电压和电流对变压器铁芯的磁化和退磁不起作用。
因为,励磁电流虽然会产生正激电压,但不能提供正激电流输出,这相当于变压器次级线圈处于开路时的情况一样;当变压器次级线圈有正激电流输出时,在变压器初级线圈中也相应要增加一个电流,这个电流是在原励磁电流的基础上相应增加的;这个新增电流产生的磁通与正激输出电流产生的磁通,在数值上完全相等,但方向相反,两者互相抵消,即它们对磁化和退磁都不起作用。[page]
双激式开关电源变压器伏秒容量与初级线圈匝数的计算

在图2-7中,对于双激式开关电源变压器,每输入一个交流脉冲电压,除了第一个输入脉冲的磁通密度变化范围是从0到最大值Bm以外,其余输入脉冲,磁通密度的变化范围都是从负的最大值-Bm到正的最大值Bm ,或从正的最大值Bm到负的最大值-Bm ,即:每输入一个交流脉冲电压,磁通密度的增量ΔB都是最大磁通密度Bm的2倍(2Bm)。因此,把这个结果代入(2-13)和(2-14)式,即可求得:

(2-17)和(2-18)式,就是计算双激式开关电源变压器初级线圈N1绕组匝数的公式。式中,N1为变压器初级线圈N1绕组的最少匝数,S为变压器铁芯的导磁面积(单位:平方厘米),Bm为变压器铁芯的最大磁通密度(单位:高斯),τ为脉冲宽度,或电源开关管导通时间的宽度(单位:秒),E为脉冲电压的幅度,即开关电源的工作电压幅度,单位为伏,F为开关电源的工作频率,单位赫芝。
同样,我们把(2-17)式中的输入脉冲电压幅度E与脉冲宽度τ的乘积定义为变压器的伏秒容量,用US来表示(单位:伏秒),即:US = E×τ 。
这里还需指出,使用(2-17)和(2-18)式计算双激式开关电源变压器初级线圈N1绕组的匝数是有条件的,条件就是输入交流脉冲电压正、负半周的伏秒容量Us必须相等。如果不相等(2-17)和(2-18)式中的磁通密度增量ΔB就不能用2Bm来表示,而应该用Bm和-Bm这两个实际变量的差值,即:ΔB = Bm-(-Bm),这里姑且把Bm和-Bm都看成是变量更合适。
把(2-17)式和(2-18)式与(2-16)式进行对比很容易看出,在变压器铁芯的导磁面积以及输入电压幅度完全相等的条件下,双激式开关电源变压器铁芯中的磁通密度变化范围要比单激式开关电源变压器铁芯中的磁通密度变化范围大很多;或者在伏秒容量完全相等的条件下,双激式开关电源变压器初级线圈的匝数要比单激式开关电源变压器初级线圈的匝数少很多。因此,用于双激式开关电源变压器,一般都不需要在其变压器铁芯中留气隙。
在(2-17)和(2-18)式中,对于大功率双激式开关电源变压器的铁芯,其最大磁通密度Bm的取值一般不要超过3000高斯。如果Bm值取得过高,当开关器件偶然发生误触发,使图2-7中的相位出错时,很容易使变压器铁芯出现磁饱和,致使开关电源工作电流过大而损坏。
各种波形电源变压器初级线圈匝数的计算
(2-18)式虽然是用于计算双激式开关电源变压器初级线圈N1绕组匝数的公式,但只需把式中的某个别参数稍微进行变换或修改,同样可以用于计算其它波形电源变压器初级线圈匝数的公式。
[page]
这里,我们先来推导用于计算正弦波电源变压器初级线圈匝数的公式。方法如图2-8所示,先求正弦电压的半周平均值Ua,因为正弦电压的半周平均值Ua正好等于方波电压的幅值E,因此,只需把正弦电压的半周平均值代入(2-18)式,即可得到计算正弦波电源变压器初级线圈匝数的公式。
但正弦电压的半周平均值Ua一般很少人使用,因此,还需要把正弦电压的半周平均值Ua再转换成正弦电压的有效值U;由于正弦电压的有效值U等与正弦电压半周平均值Ua的1.11倍,即:U = 1.11Ua 。由此求得正弦波电源变压器初级线圈匝数的计算公式为:

(2-19)式为计算正弦波电源变压器初级线圈N1绕组匝数的公式。式中,N1为变压器初级线圈N1绕组的最少匝数,S为变压器铁芯的导磁面积(单位:平方厘米),Bm为变压器铁芯的最大磁通密度(单位:高斯),U为正弦波输入电压有效值,单位为伏,F为正弦波的频率,单位赫芝。
这种计算方法,对于非正弦波同样有效。图2-9是一个正、负脉冲幅度以及脉冲宽度均不相等的交流脉冲波形,我们同样可以用分别计算它们正、负半周平均值Ua、-Ua的方法,然后用平均值Ua替代(2-17)或(2-18)式中的矩形脉冲幅度E 。

当然图2-9中的条件是正、负脉冲的伏秒容量均应相等,如果不相等,可采取兼顾单、双激开关电源变压器初级线圈匝数的计算方法,即:两种方法同时考虑,根据偏重取折中。

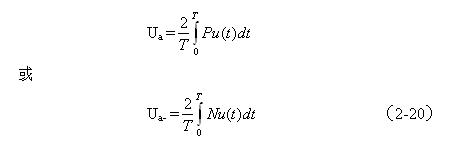
各种波形的半周平均值Ua由下式求得:

(2-19)、(2-20)式中,Ua和Ua-分别为各种波形的正、负半周平均值,Pu(t)和Nu(t)分别为各种波形的正波形函数(正半周)和负波形函数(负半周),T为种波形的周期。大部分交流电压波形,其正、负半周平均值的绝对值都相等,但符号相反。
顺便说明,这里的半周平均值,并不是一般意义上的正、负半周波形完全对称交流电压正半周,或负半周的平均值,这里的半周平均值是泛指整个周期中的正半波电压或负半波电压在半个周时间内的平均值。如图2-9所示。另外,(2-19)、(2-20)式中的半周平均值Ua和Ua-与第一章中(1-73)、(1-74)、(1-75)式定义的半波平均值Upa和Upa-也有一点差别,Ua和Ua-与Upa和Upa-的差别,主要是在分母上。





