中心论题:
- 分析电源转换器工作原理
- 比较分析在有无能量循环的工作模式下的能耗
- 分析具有能量循环系统的实现
- 设计能量反馈系统
- 实验并分析结果
解决方案:
- 能量反馈部分和需要例行试用的转换器组成一个能量循环系统
- 控制电能转换器的输出电流保证能量循环系统稳定工作
引言
现代电子工业的发展促进了电源业的发展,任何电子设备都离不开各种精度的电源。电源转换器能将各种电压转换为用户需要的电压,比如:电力变压器能将输送的千伏高压交流电转换为正常使用的市电;各种充电机、以及工业和通信用供电??椋芙涣骰蛑绷鞯缪棺晃没б笾绷骰蚪涣鞯缪?,这种设备都是提供电能转换的电源转换器。相比较信号级的转换器电能转换器的功率要大得多,从几瓦到几十千瓦,他们的工作伴随巨大的能量转换。在电源设备生产过程中,对电源设备进行例行测试老化是检验设备的必要环节,可以提高电源设备的可靠性,降低工厂的返工和担保成本。但由于设备老化同时也增加了生产的电力消耗成本。通常情况下,设备的例行老化是让设备接上模拟负载进行模拟工作,当然能量就消耗在模拟负载上,这种消耗通常没有得到最佳的利用。本文根据电源转换器是将电能转换为不同等级电能的特点,提出通过能量反馈实现大部分能量的循环利用,从而实现节能的目的。如何节能,减少能源消耗是人们一直追求的目标,在建设节约型社会的今天,节能降耗的意义更显重要。
工作原理
电源转换器能将电能加工为需要的电能,它的例行老化使用只要在电源转换器的输出端连接合适的电阻负载或等效阻抗的用电设备让其保证一定的负荷工作即可。如图1所示:输入电压Vin被电源转换器转换为Vout加在电阻负载上,在例行工作时,电源转换器消耗功率(未计算转换过程损耗)为 Po="Vout2" /R1 。
图1 转换器工作示意图
这种情况下,电能消耗没有得到任何利用,就直接转化为热能从电阻负载上散发出去,是对电能的一种严重浪费。
要实现节能循环利用,主要考虑将消耗在电阻负载上的能量更加合理的利用。如果能将输出电压Vout再还原为输入电压Vin,则输出电能转换为输入的电能,便可以实现电能的循环利用,如图2所示:将原有转换器的电阻负载R1用等效输入阻抗的转换器2取代,转换器2的输出接转换器1的输入。则与R1等效输入阻抗的转换器2从转换器1输出端消耗的能量被转换到转换器1的输入端,再经转换器1又到转换器2的输入端,实现了能量的循环利用。如果在理想情况下,没有转换损耗,则系统可以自循环工作。当然这是无法实现的,所以在能量分析时,要引入转换过程的消耗。
图2转换器能量循环示意图
对以上两种工作模式下的能量消耗做如下分析:
第一种工作模式是在没有能量循环的情况下,Pi为转换器的输入能量,Pw为电源转换器转换过程中的消耗能量,Po为转换器消耗在电阻负载上的输出能量。假定转换器的转换效率为80%时,于是可设转换器在转换过程消耗的能量为Pw=25% Po,则整体总能量消耗也就是转换器的输入能量Pi=Po+Pw=1.25Po。
第二种工作模式是引入能量反馈的情况下,能量转换如图3所示:转换器1为需要例行使用的电源转换器,转换器2为用于能量反馈的转换器,Pi为系统外给转换器1的输入能量,Pw为转换器1转换过程中的消耗能量,Po为例行使用电源转换器1正常应输出的能量,同时也是转换器2的输入能量;Pwf为用于能量反馈的转换器2转换过程中的消耗能量,Pf为转换器2反馈给电源转换器1的能量。
图3 有反馈模式的能量转换图
假设电源转换器1和转换器2的转换效率都为80%,则转换器1转换过程消耗能量同模式1为:Pw=25%Po,由转换器的转换效率得转换器2转换过程的消耗能量:Pwf=20%Po,根据能量守衡定律,则整体总消耗能量:Pi=Pw+Pwf=25%Po+20%Po=45%Po。
从以上两种模式情况下,能量消耗分析可以得出结论,采用具有能量反馈的工作模式进行例行老化使用时,所消耗的能量只要工作能量的0.45,相比较没有能量反馈的例行老化使用,总消耗能量为工作能量的1.25倍.因此具有能量反馈的例行老化使用模式节约能源。
系统实现
从以上两种工作模式分析所得,可以利用能量反馈形成能量循环系统,减少能量消耗,系统工作可由图4示意,包括三个部分:

图4 能量反馈系统实现示意图
a) 电源部分,为系统提供外在激励源;
b) 转换器部分为需要例行老化的电源设备,将输入电源电压转换为需要输出电压;
c) 能量反馈部分可将转换器的输出电压转换为转换器的输入电压。
能量反馈部分和需要例行试用的转换器组成一个能量循环系统,在外电源的激励下,系统保持额定功率运转。由功率公式P=U*I,U由例行老化的电源转换器稳定,要保证该额定功率,就是保证输出电流I,即能量反馈部分设计成恒流电路,所以系统在额定功率下,保证能量循环稳定工作的等效控制量为需要例行使用的电能转换器的输出电流。
在能量反馈部分就要能实现上述要求,保证稳定的电能转换器的输出电流,采用电流传感器检测电能转换器的输出电流,同时反馈部分采用反馈电压与输出控制电流之间成反比系数关系即Uf∝K/Io,为便于分析,设电源电压Ui为稳定值。当输出电流较小时,通过调节反馈电压,使其变大,则反馈电压与输入的电压差△U=Uf-Ui变大, 相应的由反馈电压流向输入电压的电流加大,造成相应的反馈功率加大;当输出电流较大时,通过调节反馈电压,使Uf变小,则反馈电压与输入的电压差△U变小,相应的由反馈电压流向输入电压的电流减小,造成循环的功率减??;整个过程维持负反馈控制,最终达到动态平衡,维持设定的额定功率。
反馈设计
从以上能量反馈系统工作分析可知,能量反馈部分为系统稳定工作提供必要的保证, 能量反馈部分组成可由图5所示,主要包括:输入部分、功率转换部分、输出部分、采样、基准、比较器和控制器七个组成部分。

图5能量反馈组成框图
a) 输入部分是对输入电能必要的滤波处理同时为控制器部分电路提供辅助工作电源;
b) 功率转换部分作用主要是在控制器的控制下,将输入电能转换为需要的电能;
c) 输出滤波部分主要作用是对功率转换部分输出电能进行必要的滤波;
d) 采样部分主要是对输出电能采样提供与输出呈线性关系的采样信号;
e) 基准部分提供与采用比较的稳定参考值;
f) 比较器将采样信号与基准信号比较,产生两者的误差信号;
g) 控制器部分作用是根据比较器提供的误差信号,给出对功率转换部分的控制信号。
对于功率转换部分的电路拓扑可根据功率大小以及转换电压,选定如buck型或boost型以及由此引申的各种电路形式??刂破骺裳∮米诺目刂菩酒蛲ㄓ玫拇硇酒迪稚鲜鲆蟮目刂?。
试验过程与结果
根据上述反馈部分的设计要求,采用一种转换电压从48V到200V功率为180W的直流变换器为需要例行老化的转换器1,用于能量反馈的转换器2电路主要包括两大主要部分:分为功率转换部分和控制器部分。在功率转换部分的采用推挽转换方式电路和全桥整流电路。控制器采用UNITRODE公司的固定频率,电流模式的PWM控制芯片3846,其内部电路图由振荡器、误差放大器、基准源、锁存器、图腾输出等组成。其主要特点是:逐周波电流限制、支持缓启动、差分电流检测放大、高达500 的工作频率、500 的峰值图腾输出以及欠压锁定等功能,比较便于外围功能设定。按照上述的系统设计,依据例行老化。

图6 试验结果对比图
转换器1的输出功率,测试系统相应的消耗功率,同时对比没有电能反馈模式下的消耗功率,所得的对比结果如图6所示,由图可知,在通常工作模式情况下,消耗功率大于输出功率,同时随着输出功率增大迅速上升;对于有能量反馈的模式,系统消耗功率小于工作循环功率,在输出功率为100W前,曲线的增长率较大,在输出功率大于100W后,曲线增长率较小且有一定的收敛趋势。
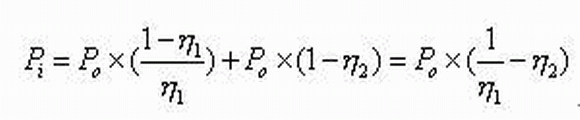
结果分析:在通常工作模式情况下,曲线的波动是由于电能转换器的转换效率影响造成的,由前面原理分析可知消耗功率为Pi=Po+Pw, 如果转换效率为 ,则Pi=Po/η,转换效率η通常随着输出功率的变化有一定的波动,所以曲线的波动符合理论分析;在有反馈的工作模式情况下,由前面原理分析部分得系统的消耗功率为Pi=Pw+Pwf,分别设转换器1的转换效率为η1,反馈部分的转换效率为η2,则系统的消耗功率为:

由于η1和η2随着功率的加大都会有所提高,所以系数1/η1-η2会有一定的收敛,相应的功率消耗有一定的收敛符合理论分析。
结论
基于能量循环的老化节能实现方法具有明显的节能效果,能大幅度降低电源老化过程的电能消耗,从本质上解决电源老化设备大能耗问题。有利于降低生产企业的生产成本,提高企业生产现代化水平,为国家节能降耗做出贡献。




