中心论题:
- 主要技术指标
- 基本工作原理
- 各主要功能描述
解决方案:
- 交流EMI滤波及整流滤波电路
- 半桥式功率变换器
- 功率变压器的设计
- 辅助电源的设计
- 驱动电路和风扇风速控制电路
- PWM控制电路和过流?;さ缏?/strong>
引言
在科研、生产、实验等应用场合,经常用到电压在5~15V,电流在5~40A的电源。而一般实验用电源最大电流只有5A、10A。为此专门开发了电压4V~16V连续可调,输出电流最大40A的开关电源。它采用了半桥电路,所选用开关器件为功率MOS管,开关工作频率为50kHz,具有重量轻、体积小、成本低等特点。
主要技术指标
a.交流输入电压AC220V±20%;
b.直流输出电压4~16V可调;
c.输出电流0~40A;
d.输出电压调整率≤1%;
e.纹波电压Upp≤50mV;
f.显示与报警具有电流/电压显示功能及故障告警指示。
基本工作原理及原理框图
该电源的原理框图如图1所示。

220V交流电压经过EMI滤波及整流滤波后,得到约300V的直流电压加到半桥变换器上,用脉宽调制电路产生的双列脉冲信号去驱动功率MOS管,通过功率变压器的耦合和隔离作用在次级得到准方波电压,经整流滤波反馈控制后可得到稳定的直流输出电压。
各主要功能描述
a.交流EMI滤波及整流滤波电路
交流EMI滤波及整流滤波电路如图2所示。

电子设备的电源线是电磁干扰(EMI)出入电子设备的一个重要途径,在设备电源线入口处安装电网滤波器可以有效地切断这条电磁干扰传播途径,本电源滤波器由带有IEC插头电网滤波器和PCB电源滤波器组成。IEC插头电网滤波器主要是阻止来自电网的干扰进入电源机箱。PCB电源滤波器主要是抑制功率开关转换时产生的高频噪声。
交流输入220V时,整流采用桥式整流电路。如果将JTI跳线短连时,则适用于110V交流输入电压。由于输入电压高,电容器容量大,因此在接通电网瞬间会产生很大的浪涌冲击电流,一般浪涌电流值为稳态电流的数十倍。这可能造成整流桥和输入保险丝的损坏,也可能造成高频变压器磁芯饱和损坏功率器件,造成高压电解电容使用寿命降低等。所以在整流桥前加入由电阻R1和继电器K1组成的输入软启动电路。
b.半桥式功率变换器
该电源采用半桥式变换电路,如图6所示,其工作频率50kHz,在初级一侧的主要部分是Q4和Q5功率管及C34和C35电容器。Q4和Q5交替导通、截止,在高频变压器初级绕组N1两端产生一幅值为U1/2的正负方波脉冲电压。能量通过变压器传递到输出端,Q4和Q5采用IRFP460功率MOS管。
c.功率变压器的设计
工作频率的设定:工作频率对电源的体积、重量及电路特性影响很大。工作频率高,输出滤波电感和电容体积减小,但开关损耗增高,热量增大,散热器体积加大。因此根据元器件及性价比等因素,将电源工作频率进行优化设计,本例为fs=50kHz。
T=1/fs=1/50kHz=20μs
选取磁芯材料和磁芯结构:选用R2KB铁氧体材料制成的EE型铁氧体磁芯。其具有品种多,引线空间大,接线操作方便,价格便宜等优点。
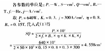
确定工作磁感应强度Bm:R2KB软磁铁氧体材料的饱和磁感应强度Bs=0.47T,考虑到高温时Bs会下降,同时为防止合闸瞬间高频变压器饱和,选定Bm=1/3Bs=0.15T。
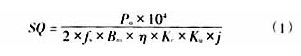
计算并确定磁芯型号:磁芯的几何截面积S和磁芯的窗口面积Q与输出功率Po存在一定的函数关系。对于半桥变换器,当脉冲波形近似为方波时为

式中:η——效率;
j——电流密度,一般取300~500A/cm2;
Kc——磁芯的填充系数,对于铁氧体Kc=1;
Ku——铜的填充系数,Ku与导线线径及绕制的工艺及绕组数量等有关,一般为0.1~0.5左右。

由厂家手册知,EE55磁芯的S=3.54cm2,Q=3.1042cm2,则SQ=10.9cm4,EE55磁芯的SQ值大于计算值,选定该磁芯。
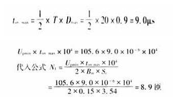
计算原副边绕组匝数:按输入电压最低及输出满载的情况(此时占空比最大)来计算原副边绕组匝数,已知Umin=176V经整流滤波后直流输入电压Udmin=1.2×176=211.2V。
对于半桥电路、功率变压器初级绕组上施加的电压等于输入电压的一半,即Upmin=Udmin/2=105.6V,设最大占定比Dmax=0.9,则

次级匝数计算时取输出电压最大值Uomax=16V。次级电路采用全波整流,Us为次级绕组上的感应电压,Uo为输出电压,Uf为整流二极管压降,取1V。Uz为滤波电感等线路压降,取0.3V,则

选定导线线径:在选用绕组的导线线径时,要考虑导线的集肤效应,一般要求导线线径小于两倍穿透深度,而穿透深度Δ由式(2)决定

式中:ω为角频率,ω=2πfs;
μ为导线的磁导率,对于铜线相对磁导率μr=1,则μ=μ0×μr=4π×10-7H/m;
γ为铜的电导率,γ=58×10-6Ωm;
穿透深度Δ的单位为m。
变压器工作频率50kHz,在此频率下铜导线的穿透深度为Δ=0.2956mm,因此绕组线径必须是直径小于0.59mm的铜线。另外考虑到铜线电流密度一般取3~6A/mm2,故这里选用0.56mm的漆包线8股并联绕制初级共10匝,次级选用厚0.15mm扁铜带绕制2匝。
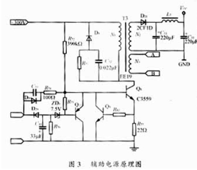
d.辅助电源的设计
辅助电源采用RCC变换器(RingingChokeConverter),见图3。其输入电压为交流220V整流滤波电压,输出直流电压为12.5V,输出直流电流为0.5A。电路中Q8和变压器初级绕组线圈N1与反馈绕组线圈N3构成自激振荡。R72为启动电阻。Q9、R77构成辅助电源初级过流?;ぁ20、C81、ZD1、Q11、R75、R76构成电压检测与稳压电路,控制Q8的基极电流的直流分量,从而保持输出电压恒定,变压器采用EE19、LP3材质构成。初级180匝,反馈绕组5.5匝,次级11匝,初级电感量是2.6mH,磁芯中间留有间隙0.4mm。

e.驱动电路
驱动电路如图4所示。TL494输出50kHz的脉冲信号,通过高频脉冲变压器耦合去驱动功率MOS管。次级脉冲电压为正时,MOS管导通,在此期间Q7截止,由其构成的泄放电路不工作。当次级脉冲电压为零时,则Q7导通,快速泄放MOS管栅级电荷,加速MOS管截止。R70是用于抑制驱动脉冲的尖峰,R68、D15、R67可以加速驱动并防止驱动脉冲产生振荡。D17和与它相连的脉冲变压器绕组共同构成去磁电路。

f.风扇风速控制电路
风扇风速控制电路见图5。利用二极管正向管压降随温度升高而呈下降趋势的特性,将D9、D10做为散热器温度采样器件。方法是将D9、D10两二极管紧靠在散热器上,当散热器随输出功率加大而温度升高时,运放N2A正相输入端电平降低,输出低电平使三极管Q3开始导通,风机上电压升高,转速升高,最终到达最高转速。当负载较轻,使散热器温度低于50℃时,N2A输出高电平,Q3不导通,辅助电源12.5V经电阻R57降压给风机供电,风机处于低速、低噪声运行状态。此电路可以提高风机工作寿命,增加电路可靠性,亦可在小负载情况下,减少风机带来的噪声。

g.PWM控制电路
控制电路采用通用脉宽调制器TL494,具有通用性和成本低等优点,见图6。输出电压经R40、RV2、RV1、R41进行分压采样,经R5阻抗匹配后送到TL494脚1。RV1装在电源前面板上用于实现输出电压的调节。R103和C14将输出电感L1前信号采样,经R5送到TL494脚1,用于提高电源稳定度,消除L1对环路稳定性影响。
h.过流?;さ缏?br />
为增强电源可靠性,此电源采用初、次级两级过流保护。初级采用电流互感器CT1检测初级变压器电流,检测出的电流信号经R60转为电压信号后,再经D2~D4,C9整流滤波后,经过电位器RV3分压,反相器N3反相后加在Q1管基极。当初级电流超过正常时,反相器反转,Q1管导通,将VREF=5V的高电平加在TL494脚4上(脚4为TL494死区控制脚、高电平关断),TL494关断。
输出直流总线上过流?;?,采用R45~R56电阻做为采样电阻,当输出电流增加时脚15电平变低,当输出电流大于40A的105%时,TL494的内部运放动作,脚3电平升高,限制输出脉宽增加,电源处于限流状态。

结语
本文介绍的开关电源已成功地作为实验室电源、通信基站电源使用。其效率≥85%,纹波优于30mVPP,产品可靠性高、成本低,具有一定的市场竞争力。



