中心论题:
- AVP控制有源法的分析
- AVP控制无源法的实现
- 实验结果分析
解决方案:
- AVP控制有源法
- AVP控制无源法
CPU和DSP对数据处理速度和容量的要求不断提高,对电源??榈墓┑缫笠簿拖嘤Φ靥岣吡?,主要体现在电源的输出电流大小及其变化率和输出电压峰-峰值上。采取的措施有多通道buck电路拓扑和良好的控制方法,如V2控制法和滞回控制法等,这样可以改善电源的稳态和动态性能,提高电源效率。但是对于更低的输出电压,更大的电流动态变化率,不可避免地要采用更大容量,更低ESR的电容以减少瞬态电压峰-峰值。而大容量、低ESR电容增加了模块的成本,占用更大的空间,不利于提高功率密度?;谝陨现种治侍猓捎肁VP方法(如图1所示)使电源在满载时电压比所要求的最低电压高,在空载或轻载时输出电压比所要求的最高电压低,这样不仅有利于电源??榈娜壬杓?,而且动态过程电压工作在窗口电压内,输出电压峰-峰值小,恢复时间短。但是文献提出的方法较为复杂,使用专用的控制芯片导致开发成本增加,文献提出的方法在实际应用中电路效率较低。本文对AVP控制方法进行深入分析,归纳总结出各种AVP的实现方法,并提出了一种新颖高效的控制方法,用实验证明AVP方法的优越性。

AVP控制有源法的分析
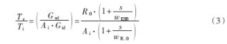
AVP有源控制为双环控制,其基本原理如图2所示。通过检测电感电流,根据降压要求相应调节输出电压的基准。输出电压跟随基准电压而实现AVP控制。图3为AVP有源控制的方块图,假设电流环增益为Ti,电压环增益为Tv,则:



由(2)/(1)可得:


此处Rc为输出电容Co的等效电阻值,Ro为输出负载。当w>>wESR且Ai=Rc时,则(3)式值为1。这说明了在此情况下电流环、电压环有相同的截止频率,而Av的设计对电流环、电压环的比值没有影响,其零极点的设计则依据电流环的设计方法进行。

其中,
,L为等效输出电感,fs为开关频率,wz用于补偿功率双极点,wp用于消除开关噪声,wi保证电流环的截止频率高于输出电容引入的ESR零点频率?;谝陨显?,设计固定输出阻抗值为输出电容的ESR值。实现方法分别为检测开关管导通电阻、续流管导通电阻或串联阻值小的检测电阻。前两种方法受温度的影响不宜采用,而串联阻值小的检测电阻有助于改善温度变化引起的精度变化,但是在主电路中串联电阻必然引起电源??樾实南陆?。
AVP控制无源法的实现
采用无源法增加检测电阻,如图4所示。通过检测Va使之等于VREF,实现vo=Vref-io×Rs,使电源在满载时电压比所要求的最低电压高,在空载或轻载时输出电压比所要求的最高电压低。从而使得输出电压在负载动态跳变时能够较快地达到稳定,提高动态响应,以改善电压大电流所引起的动态响应与电路成本的矛盾关系。

实验结果分析
本文通过检测输出电感电阻的阻值,对其进行适当的处理,有效地实现AVP控制(如图5所示),避免了在电感与输出端增加电阻所引起的效率下降问题。图5(b)和图6为采用AVP控制方法和不采用AVP控制方法两种情况下的实测动态波形。输出电流由空载到半载(0→7.5A)时测得输出电压峰-峰值为97mV,而不采用AVP控制方法时输出电压峰-峰值为318mV。而且图5(b)的动态恢复时间明显比图6的恢复时间短??杉?,采取AVP控制有着良好的动态响应,进而可减小输出电容及降低成本。


随着VRM的深入发展,为满足低电压、大电流的需要,相继提出了各种电路拓扑,如带抽头电感的BUCK电路、有源钳位的BUCK电路、耦合绕组的BUCK电路、移相软开关BUCK电路等;并有优良的控制方法问世,如V2控制、滞回控制等。以上的这些方法都甚是难以满足电源??榈姆⒄剐枰VP的控制方法在适当降低负载调整率的情况下有效地改善了??榈亩煊Γ诘偷缪?、大电流的应用场合中被人们重新认识。本文对其从理论方法进行分析,并采用新的检测方法通过实验证明了AVP良好的动态调节能力。



