中心论题:
- 机载计算机电源的技术要求。
- 回扫式变换原理的介绍。
- 小型机载计算机电源的设计方案。
- 峰值电感电流检测技术灵敏地限制最大输出电流。
- 改善高频脉冲变压器的设计提高整个回扫式控制电路性能。
- 初级线圈的电感量设计为大于最小值消除振荡谐波。
小体积、轻重量、高可靠性、高效率是航空电源始终追求的目标。随着微电子技术的发展,采用大规模和超大规模集成电路的机载计算机主机已越来越小型化,这就对其电源部件的体积和重量提出了进一步小型化的要求?;丶扑慊且恢挚苟窳踊肪车募扑慊?其电源部件也必须满足抗恶劣环境的要求,例如必须适应-55℃~+125℃的环境温度和较宽范围的输入电压;同时还要耐振动、耐撞击、抗电磁干扰等。
某机载计算机电源的技术要求
某机载计算机对电源部件的技术要求见表1。

回扫式变换原理
根据该电源部件输出电压种类多、给定的外型尺寸小、输入电压变化范围大、工作温度范围宽等特点,必须设计小型、高效、可靠的供电电源。为此,选择回扫式变换电路(又称flyback、ON-OFF型)进行设计,图1为其典型电路结构。此电路简洁可靠,主开关元件和变压器利用率很高,由于采用了峰值电感电流检测技术,可以灵敏地限制最大输出电流,因此高频脉冲变压器不必设计较大的余量,特别适用于几百瓦以下功率的电源系统中。

其基本工作原理为:当开关管Q1导通时(TON),电流流过变压器T1的初级线圈N1,变压器将能量以磁场的形式储存起来,由于初、次级圈相位不同,所以当电流流过初级线圈时,次级线圈N2中没有电流流过。当Q1截止时(TOFF),消失的磁场使初、次级线圈中电压极性反转,整流二极管VD导通,电流通过VD流向负载,变压器的能量释放,提供负载电压、电流??刂破髡伎毡任?
其中,VF为二极管正向压降;VSAT为Q1饱和电压降;VO为输出电压;VIN为输入电压。
电流临界连续时,初级绕组电感量为:

其中,fOSC为开关频率;POmin为轻负载时输出功率;η为转换效率;VINmin为最小输入电压;Dmax为最大占空比。
设计方案
a回扫式控制器选择
National Semiconductor公司最新推出的LM2588系列控制器旨在实现一种能够满足多路供电电压输出而无需进行复杂设计的高集成度电源的解决方案。系统设计者使用它能很快地开发出小型、低成本、多路供电的电源系统。
LM2588采用7脚TO-220封装,主要包括100kHz振荡器、2.9V稳压电路、误差放大器、5A/65V的NPN开关管以及过流、过热、低电压锁定,还包括软启动、逻辑关断、逻辑控制等,内部结构如图2所示。

b高频脉冲变压器设计
设计的某机载计算机DC/DC开关电源如图3所示。

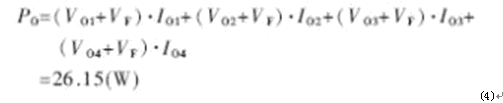
U1为控制器LM2588-5.0。脉冲变压器T1共有五个绕组:N1为初级绕组,N2、N3、N4、N5为次级绕组,分别对应输出+12V@0.2A、-12V@0.2A、-32.5V@0.05A以及+5V@4A,且N2、N3圈数相同。
由于回扫式控制器具有连续型和不连续型控制的特点,所以设法使其稳定就显得很重要。高频脉冲变压器的设计是整个回扫式控制电路的关键,电源的性能和优劣在很大程度上取决于变压器的设计。这里选择TOKIN公司FEER28L磁芯,磁芯的有效截面积为84.7mm2,有效磁路长度为78.3mm。采用铁氧体B25材料,常温时最大磁感应强度Bm=5100Gs。
a确定变压器匝比α

由VINmin=24V、VO1=5V、Dmax=0.46得出α≈0.3。
b初级绕组电感量
最大输出功率为:

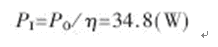
假设效率η按照85%计算,则输入功率为:
![]()
设PWM控制最大占空比Dmax=42%,如果初级绕组的电感量设计得大,则流过功率开关管和输出滤波电容的电流峰值小,但由于电流上升斜率小,电路抗干扰能力差且功率开关管开通电流大;电感量小时,电流脉动大,冲击电流大。因此设计电感电流工作在连续工作状态,轻负载时取额定功率的一半,由(2)式可知:

初级绕组的峰值电流为:
![]()
c初、次级绕组匝数
初级绕组的电感的储能为:
初级绕组匝数

其中,BS为磁感应强度,SC为脉冲变压器磁芯有效截面积:BS=104Gs,SC=0.847cm2。则由(6)式可知:
d磁感应强度范围

由(7-1)、(7-2)以及(7-3)三式可知,当VIN在24V~32V之间变化时,IL的工作范围在1.62A~4.62A之间变化。
![]()
得:B的工作范围为620Gs~1800Gs
最高磁感应强度大约是Bm的三分之一,设计是合理的。
电流模式稳定性
当占空比大于50%时,所有电流模式控制器不可避免地要受到振荡谐波的影响而导致不稳定。为了消除振荡谐波,在回扫式控制器应用电路中,必须把初级线圈的电感量设计为大于最小值。其经验计算公式如下(单位为μH):

限流、短路?;?/strong>
如果电感峰值电流大于限流值,控制器内部集成的限流比较器将触发逻辑控制电路,关断NPN开关管的驱动输出,起到很好的限流?;ぷ饔?。
如果将输出端直接短路,由于使用标准型号的变压器,当输出电压降至正常值的80%时,开关频率将降至25kHz。更低的开关频率将导致开关管截止时间更长,变压器完全可以在开关管重新导通之前释放掉储存的全部能量。因此,在开关管重新导通时,变压器中为零电流,在这种情况下,开关峰值电流限制电路将限制初级电感峰值电流,很好地起到了?;た刂破鞯淖饔谩T诙搪肥笛橹?控制器没有明显的过热现象,恢复至正常情况时,电路仍可正常工作。
逻辑关断、频率调整与同步
通过控制“逻辑关断、频率调整”引脚1可进行逻辑关断控制。当3V以上的逻辑电平被加在引脚1上时,控制器便进入逻辑关断状态。因此,通过此引脚,可搭建简单的外围电路,构成过电压?;さ缏返?。
开关频率可以通过外接电阻RSET在100kHz~200kHz之间调整,这个特点可以让使用者根据工作频率优化磁存储器以及电容器的尺寸、型号等。表2为不同的电阻值对应的常用开关频率。

控制“频率同步”引脚6,可使控制器与系统时钟或其它开关模式的振荡器信号同步。这个特点使得可以并联使用多个设备,使其工作在同一个开关频率下,极大地消除了相关频率噪声干扰,使开关谐波得到控制和协调;同时获得更多的输出电压值,扩大控制器的应用范围。
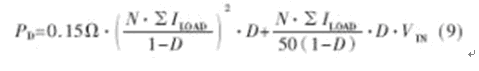
损耗功率、热关断
损耗功率PD主要取决于VI、多路输出最大负载电流之和ΣILOAD以及主功率线圈比N等,其近似计算公式如下:

控制器的结温决定于环境温度TA、封装热阻θJA(7脚TO-220封装典型值为35~45℃/W)以及损耗功率PD等,可近似计算如下:

在绝大多数应用中,控制器并不需要使用散热片来降低温度,但当控制器温度超过其最大结温时(典型值为150℃),控制器便进入热关断状态,迫使控制器停止工作,直到冷却至允许开启的温度时才重新工作。也可加装散热片来提高控制器结温,使控制器正常工作。
应用效果
为了给控制器提供稳定、连续的供电电压,将大于100μF的存储电容接至供电输入端。将一个1.0μF的陶瓷旁路电容接在地与输入端之间,且尽可能靠近控制器,或连成RC低通滤波器,能有效地消除由输入电流脉冲产生的噪声干扰。为了获得更好的滤波效果,也可用参数为10μH/200mA的小电感代替电阻。输出电容则选择大容量、低等效串联电阻(<0.1Ω)的电容,可大大提高负载瞬态响应特性,降低输出电压纹波。为满足电磁兼容性要求,可在电压输入端采用TVS瞬变电压吸收二极管(1.5KE43A)和小型的抗干扰滤波器。
电源主要技术指标为:输入电压27V(18V~36V)??仄德?00kHz。输出电压分A、B、C、D四组:A组+5V@4A,峰-峰值电压纹波小于40mV;B组+12V@0.2A,峰-峰值电压纹波小于50mV;C组-12V@0.2A,峰-峰值电压纹波小于50mV;D组32.5V@0.05A,峰-峰值电压纹波小于200mV,效率(满载)为87.1%。
该电源部件中的所有元器件组装在362mm×160mm的板面里,元器件最大高度低于15mm,重量仅为0.21kg。电源经过各项性能测试和高低温实验,并通过与计算机联试,证明其各项性能指标均达到设计要求。
回扫式拓扑电路结构无疑是目前比较理想的多路供电电源电路结构。其峰值电感电流可检测、输出电压扩展性强等特点,极大地提高了控制电路的稳定性和抗干扰能力,便于供电电源的设计。
本文所介绍的开关电源电路可广泛应用于便携式仪器、通信设备、航空机载电子设备等需要±5V、±12V、±24V等多路电压输出,功率在几十瓦左右的直流供电设备中,也可以作为??榛缭瓷杓频缏?具有很大的推广应用价值。




