【导读】触摸屏显示器能够检测显示区域上是否有人触摸以及触摸位置,因此各种设备上的机械按钮正日渐被这种显示器所取代,包括智能电话、MP3 播放器、GPS 导航系统、数码相机、笔记本电脑、游戏机和实验室仪器等。第一代此类设备不太精确,存在误检率高和功耗过大的问题。新型触摸屏控制器1, 如AD78792等,可提供更高的精度、更低的功耗和结果滤波功能。这些器件还可以检测温度、电源电压和触摸压力,有助于现代触摸屏显示器实现鲁棒的检测。
触摸屏的工作原理
首先,让我们看看电阻式触摸屏如何工作。图1显示了触摸屏的基本结构和工作原理图。

图 1. 电阻式触摸屏的结构
触摸屏由两层塑料薄膜组成,各薄膜层上均涂有一层导电金属(通常是氧化铟锡),中间的空气间隙将二者分开。电源电压激励其中的一块板,上图中为 X 板。触摸屏幕时,两块导电板碰到一起,在 X 板上构成一个电阻分压器。接触点的电压通过 Y+ 电极检测,代表X板上的位置,如图 2 所示。然后重复上述过程,电源电压激励Y板,并通过 X+ 电极检测 Y 位置。


图2. X 位置测量
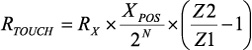
接下来,将电源电压置于 Y+ 和 X– 上,再进行两次屏幕测量:测量X+上的电压得出Z1,测量Y– 上的电压得出Z2。这些测量结果可以用来估计触摸压力,其方法有两种。如果 X 板的电阻已知,则触摸电阻的计算公式为:

如果 X 板和Y 板的电阻均已知,则触摸电阻的计算公式为:

触摸电阻值越大,则表示触摸压力越小。
AD7879 触摸屏控制器
AD7879 触摸屏控制器设计用于与四线式电阻触摸屏接口。除了检测触摸动作外,它还能测量温度和辅助输入端的电压。所有四种触摸测量加上温度、电池、辅助电压测量,均可以通过编程写入其片内序列器??淼缭吹缪狗段В?.6 V 至3.6 V)、小尺寸(12 引脚、1.6 mm ×2 mm WLCSP封装或16 引脚、4 mm ×4 mm LFCSP封装)以及低功耗(转换时480 μA,关断模式 0.5 μA),使这款控制器可以灵活地用于各种产品。
触摸唤醒
可以将AD7879 配置为在发生触摸屏幕事件时启动并转换,在释放之后进入省电模式。这种配置非常适合注重节约电量的电池供电设备。每个转换序列完成之后,AD7879 向主机微控制器发送一个中断,将其从低功耗模式唤醒,以便处理数据。这样,屏幕被触摸之前微控制器的功耗也会极低。图3 显示了触摸唤醒功能的设置。

图3. 触摸唤醒设置
触摸屏幕时,X 板与 Y 板接触,拉低限变器输入,从而唤醒AD7879,随后开始转换。转换结束时,AD7879 向主机发送一个中断。
结果滤波
在典型的显示器中,电阻板位于液晶显示器(LCD) 之上,LCD 会产生大量噪声,影响位置测量。这种噪声由脉冲噪声和高斯噪声组合而成。AD7879 提供的中值滤波器和均值滤波器可降低这种噪声??梢越蛄衅髋渲梦?2 个、4 个、8 个或16 个样本进行位置测量,而不是利用单个样本进行测量。这些样本经过排序、中值滤波和均值滤波,便可得到噪声更低、精度更高的结果。图 4 清楚显示了其原理?;竦?6 个位置测量结果,然后按由低到高的顺序排序。剔除四个最大测量结果和四个最小测量结果,以消除脉冲噪声;对剩余的八个采样值求平均值,以降低高斯噪声。这种方法还有一个额外好处,即可以降低所需的主机处理工作量和主机与触摸屏控制器的通信量。

图4. 中值和均值滤波
推荐阅读:


