【导读】功率电感是分带磁罩和不带磁罩两种,主要由磁芯和铜线组成。 在电路中主要起滤波和振荡作用。
功率电感是分带磁罩和不带磁罩两种,主要由磁芯和铜线组成。 在电路中主要起滤波和振荡作用。
综合前面几节的说明,我们对功率电感储能关系做一个总结,方便读者理解和查阅。
气隙电感

气隙电感示意图
储能关系
如下式,"磁芯储能Ec"、"气隙储能Eg"以及"总储能E",我们应该如何理解?

储能关系
从上面式子可以看出,对于"气隙规则磁芯(EE、EFD、EPC系列型、环形等)"当
"稀释系数Z"越大,储能会越大,这个可以从总储能③中可以看出;
"稀释系数Z"越大则表明气隙lg越大,这个可以从上面"Z"的表达式清楚地看到;
但必须清楚,如果保电感匝数和电流不变,当气隙lg越大,那么意味着磁路中"磁阻Rm"会增大,进而意味着磁通密度"B"是减小的,如下⑤式可以清楚看到。所以,不能单纯地认为,增加气隙就一定能增大储能,你必须控制变量。

稀释系数的地位
储能关系变换
把⑤式磁感应强度带入①、②和③得到如下,储能变换式

储能关系变换
(1)安匝(N*I)保持不变时,承接上面叙述,当保持"安(A,电流是由负载决定的)匝(N,电感线圈匝数)"不变时(为常数),不断增加气隙时,能量关系图如下:

从图中可以看出,当稀释系数Z=2时,磁芯和气隙储能是相等的(两条曲线相交),但随着气隙的增长,总储能"E"是减小的,气隙储能"Eg"也是减小的,磁芯储能"Ec"也是减小的,但磁芯储能减小的更快。
(2)磁感应强度或磁通密度保持不变时,


从图中可以看出,当保持磁通密度不变时,增加气隙时,总能量"E"是不断增加的,但当你要保持磁通密度不变时,从下面⑤中可以看出,必须不断增加匝数(电感电流是负载决定的,认为是不变的),即保持"N/Z"是常数。

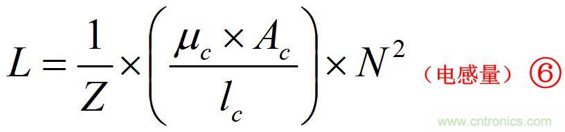
那么,我们怎样去理解这些参数的"变"与"不变"以及储能关系呢?我们实际当中究竟以什么做为我们的设计呢?因为关系多了,就容易发生混乱,我们只需要把握住一点就可以了,电源中我们设计电感,通常还是以电感量为设计目标,因为它可以衡量电流纹波问题(实质是可以产生我们想要的磁通密度,阻止电流的变化甚至是突变)所以,最终我们无论怎样加气隙,要保持电感量恒定。
(3)电感量保持不变,如下⑥式可以看出,只需要保持"N2/Z"是一个常数,同上述(2)保持磁通密度类似,也就是增加气隙的同时,你需要不断增加"匝数"才能保证电感量不变。

更进一步我们,来说明当"N2/Z"是一个常数,也就是电感量保持不变时,可以从"①"看出,总能量E是保持不变的。


绘制能量关系图,从图形中可以看出,通过保持"N2/Z"为常数,使得电感保持不变时,总能量E是一个常数,且随着气隙增大时,能量几乎存储在气隙里面了,但总能量E是保持不变的。
那么既然总能量E保持不变了,那么开气隙的意义究竟是什么呢?这样情况下,加入气隙,并没有改变存储能量的能力,但却改变了能量的分配比,也就是说磁芯的磁感应强度或者磁通密度"B"距离磁芯材料的饱和密度Bsat大大增强,即B2sat*Z保持不变时,当Z增加,当然Bsat当然是减小的了,这就是使得磁通密度距离饱和磁通密度余量极度增强(强调一点,磁材料的饱和磁通密度是不能改变的)。

带饱和磁通密度的储能关系
这就是,加入气隙的意义,距离饱和磁通密度余量增强,下面图示,红色是加入气隙的磁滞回线,变化更加温和了,异常情况下磁芯不会进入瞬间的饱和,使得磁性元器件和变换器工作更加可靠。

加入气隙后磁滞回线的优化
这也就是,我们常说的,为什么加入气隙能够防止饱和原因了。
理解概念是基本点。
附:
相对磁导率"ur"
这里还需要必须理解什么是相对率"ur",那就是磁芯本质属性的绝对磁导率"uc"相对于真空或者空气"u0"的一种无量纲比值,称为相对磁导率,弄清楚"相对对象"就容易记清楚了,不再混淆了。
解析巨磁电阻的工作原理及作用
如何让DSP数字振荡器产生移相正弦波?
详解电阻加热的方法有哪几种?
简析电容传感器原理
在RF检波器中的二极管为何是不可替代的?



