桃花源qm花论坛(品茶),凤楼阁论坛官网入口网址,一品楼品凤楼论坛最新动态,风楼阁全国信息2024登录入口

你的位置:首页 > 光电显示 > 正文

补充LED电源缺陷,完美克服常规问题

发布时间:2015-04-23 责任编辑:echolady

【导读】LED以其长寿命、低功耗、高效安全的优势被应用于各个领域,随着相关技术的发展,LED也被应用于更广泛的领域,LED的输出光流明数、波长与电流、PN结的温度息息相关。常规的驱动电路不能有效满足LED照明驱动的要求。本文从LED灯珠的驱动特性出发,结合LED驱动特性提出自适用照明驱动。

1、LED驱动特性

LED作为半导体冷光光源,它同白炽灯、卤素灯、汞灯具有明显不同的驱动特性。

1.1、电参数特性

电流-电压特性是LED的基本物理特性,它同一般PN结类似,具有死区电压。当输出电压超过死区电压后,随着电流的增加,PN结电压变动不大。PN结标称工作电流的大小取决于LED规格,如<5-高亮白光LED,标称值为20mA,<10标称值为80mA,而1W的LED标称值电流为360mA。另外,PN结的压降大小除了与PN结电流和温度有关外,它还取决于制造材料特性。比如:当PN结温度为25o,电流为20mA时,<5-高亮白光PN结电压约3.1V,而<5-高亮黄光LED的PN结电压约2V。

1.2、光学特性

电流-光通量特性是LED作为照明设计的重要指标。LED输出光通量的大小同PN结的电流大小有关,在规定电流范围,输出光通量同电流成正相关。不同的制造封装厂家生产的相同规格的LED,它们的电流-光通量具有较大的区别。在20mA条件下对几个不同厂家封装的子弹头<5-高亮白光LED样品的光通量进行测试,发现其光通量分别为4lm、3.54lm、3lm、2.5lm,有较大差别(说明:本测试数据以厂家提供的样品为测试对象);另外,在电流不变的情况下,随着工作时间的增加,光通量均有所降低。

1.3、温度特性

光谱特性是LED光源显色指数和色温的重要依据。实验测试发现,在PN结电流不变条件下,随着PN结温度的升高,LED光源发出的波长将向长波方向移动。

根据LED驱动特性的分析可见:

(1)不同的LED所需的工作电压、驱动电流不同;

(2)驱动电流不变的情况下,随着工作时间的增加,光通量有所降低;

(3)驱动电流不变的情况下,随着温度的升高光通量降低。而LED作为一般照明必须保证其输出光强对时间和温度具有相对稳定性。因此,必须设计具有自适应功能的LED驱动电路,以提供适当的工作电压、驱动电流,并使其对工作温度等外部条件变化引起的出光特性变化作出自适应调整,以达到最佳的照明效果。

2、具体LED驱动电路设计

结合LED驱动特性,以功率约为25W的办公室照明灯组驱动电源的设计为实例。其中,使用100颗Φ10-LED,采用LED阵列联接形式,即:20颗灯珠串联,然后5串并联。

针对以上设计对象特性,本文提出了基于开关电源的LED自适应驱动方案。其总体框图如图1所示。

补充LED电源缺陷,完美克服常规问题
 
市电(50Hz,90V~264V)经过50Hz整流后,送入由高频变压器初级绕组和开关管组成的主回路,经高频变压、整流得到所需的输出。利用sa7527可以设计出周边电路简洁、低浪涌电流、高功率因素、低成本的LED驱动电源。该电源主要包括以下几个特性:(1)宽电压输入范围;(2)恒流/恒压特性;(3)自动光衰补偿功能。

2.1、sa7527主控芯片

该结构的主控制芯片采用8脚封装的sa7527[5]。sa7527是一块功能强大的芯片,它除了通用的PWM控制芯片的功能外,还提供了内置R/C滤波器、启动定时器、过电压保护、零电流检测、乘法器、内部带隙基准以及特殊防击穿电路等功能,内部框图如图2。

补充LED电源缺陷,完美克服常规问题
 
2.2、高频变压器设计

根据开关电源高频变压器的基本理论:输出功率25W,开关频率取30kHz时,选定变压器磁心为EI25磁心。这种结构的磁心与环形磁心相比具有线圈绕制方便、分布参数影响小、磁心窗口利用率高、散热性好、系统绝缘可靠等优点;考虑到线包损耗与温升,把电流密度定为4A/mm2,那么初级和次级用<0.41线径的漆包线绕制,反馈用<0.19漆包线;计算输入/输出电压比例关系确定初/次级匝数比为:120匝:40匝,另外再加8匝sa7527反馈绕组。

为了减小分布参数的影响,初级采用双线并绕连接的结构,次级采用分段绕制,串联相接的方式。在变压器的绝缘方面,线圈绝缘选用抗电强度高、介质损耗低的复合纤维绝缘纸。
[page]
2.3、功能单元设计

2.3.1、宽电压输入

把输入整流高压取样信号与输出的检测电压分别输入sa7527乘积运算的两输入端3脚和2脚(MUL端子和SO端子),运算结果作为PWM的控制信号;当输入电压降低时,乘积运算的结果减小,使PWM脉宽输出增大,保证了在宽输入范围条件下输出的稳定。

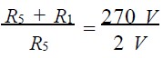
由于sa7527乘法器MUL端子的电压输入范围为0~3.8V,为了保证输入电压的宽范围,我们设正常工作电压2V(近似中间值)。因此,高压分压电阻比为:
补充LED电源缺陷,完美克服常规问题
(270V近似为正常220V交流输入的全波整流滤波后的电压值),由于MUL端的输入电流最大为5μA,若该取样电路的功率为1/8W,那么R5+R1E900kΩ。故本设计取R1=2.7MΩ,R5=27kΩ。

2.3.2、恒流/恒压功能

利用输出端的电流取样和电压取样信号,通过光电耦合器件反馈到sa7527的反向控制输入端1脚(INV端子)。当输出电流的取样电阻压降超过0.7V时,流过光耦的电流主要受开关电源输出电流大小控制,此时开关电源工作在恒流输出状态;否则为恒压输出状态,并且输出电压大小取决于精密三端稳压TL431稳压大小。这样的自动恒流/恒压特性有利地?;ち薒ED出现开路以及短路时可能导致的连锁性破坏。

反馈信号隔离器选用光电耦合器PC817,它的电流传输比为1:1,工作电压VCE>1V,正向工作电流IF>1mA。由于INV端子正常工作电压为2.5V,若取电流/电压转换电阻R10=1kΩ,则光耦的前向工作的电流IF=2.5mA。

因此,由三极管Q3、电流取样电阻R18和光耦PC817组成恒流反馈环节。当输出电流变化时,取样电阻R18的压降引起Q3基极电压的改变,使得通过光耦PC817的电流发生改变,从而达到稳流的目的。恒压输出大小由TL431精密稳压源确定。该稳压器的基准电压为2.5V,并且工作电流IRCE1mA,那么开关电源恒压输出时电压为:
补充LED电源缺陷,完美克服常规问题
根据输出恒压的大小以及电阻的功率我们可以确定R17,R19的取值。

2.3.3、自动光衰补偿功能

由于PN结温度升高以及工作时间的增加将引起输出光通量减低,而驱动电流适当增大则可提高输出光通量。因此,为保持输出光强稳定性,利用光敏电阻RW和温敏电阻RT实现光衰的自动补偿。当RT检测到LED工作温度升高时,MUL端子对地的等效电阻降低,MUL端子输入信号变小,使得输出电流大小随温度的升高而有所上升,有效地补偿了温度升高后LED光通量减低的矛盾。另外,PN结温度升高将引起PN结压降的升高,驱动电源可能过早的从恒流转入恒压工作的情况,从而影响LED光通量的稳定性。为此,在输出端子引入恒压输出电压补偿端子,当温度升高时,适当提高恒压启动的转折点电压,从而可靠的实现恒流/恒压功能。

3、应用实例

我们使用100颗明学Φ10-LED,采用的阵列形式联接,并均匀的镶嵌在600mm×600mm的铝塑天花板上,如图4所示。对开发的25W办公照明驱动电路进行实际测试(具体电路参数如图3),输出功率为约25W,工作电压约为63V,驱动电流约为400mA。在标准负载条件下,功率因素为0.92,效率为87.5%,电压输入范围达82~290V,自动恒流精度±0.4mA,过电压自动转入恒压功能,随着温敏电阻阻值的变化,恒流输出电流值发生相应的改变,最大变化幅度为8mA。

补充LED电源缺陷,完美克服常规问题
补充LED电源缺陷,完美克服常规问题
 
在实际运行时,电源输出的恒流大小设定为单颗LED电流72mA(标称值(80mA)90%),当LED结温升高引起光强度降低时,有利于加大恒流输出电流大小对光衰进行补偿。实际测试表明中心光强为346lx(lx:勒克斯),并且随着LED温度的升高中心光强衰减低于3%。

结语

本文在LED的光电参数特性前提下,提出一种基于sa7527开关电源结构的LED驱动电路。该驱动电路克服了常规LED驱动电路的缺陷,对LED温度升高引起的光衰进行了自动补偿。实际试验表明,该驱动电路高效、安全、可靠,可广泛用于各种LED产品的照明驱动。

相关阅读:

LED电源中的误区与解决措施
电源工程师必备:LED电源次级恒流经典电路大放送
3大方法教你有效减少LED电源的EMC/EMI问题

要采购开关么,点这里了解一下价格!
特别推荐
技术文章更多>>
技术白皮书下载更多>>
热门搜索

关闭

?

关闭