中心议题:
- 针对固态照明产品的光色特性规格定义
- IESNA定义固态照明量测新方法
解决方案:
- 控制测试环境温度
- 不需暗房条件的积分球量测系统
- 与亮度计共享可量测全光通量
- 撘配光谱仪可消除V(λ)失匹配误差
为加速LED照明商品化,北美能源之星针对LED照明产品特性,订定迥异于传统照明的测试规范,包含环境温度测试、积分球量测、配光曲线等,透过LED照明产品测试方式定义的一致性,区分出LED照明装置的优良,有利于质量升级。
美国能源之星(Energy Star)已陆续发布针对固态照明产品的检测规范定义,文件当中包含检测项目、检测方法依据的规范、须检测的样品数量及合格判定的规格数值,另外对于可进行测试的授权实验室也有明确说明。在能源之星对固态照明产品测试所引用的规范当中,异于传统照明的部分,包含ANSI C78.377-2008、北美照明协会(IESNA)LM-79-08、IESNA LM-80-08三份规范(图1),本篇文章将仅就ANSI C78.377-2008及IESNA LM-79-08的检测细节进行说明,并针对检测所需的仪器设备原理介绍。

图1 能源之星对固态照明之检测规范依据:ANSI C78.377-2008、IESNA LM-79-08、IESNA LM-80-08
固态照明灯具色温等级较广
此规范包含美国国家标准中针对固态照明产品的光色特性规格定义,适用于室内使用的灯具,不包括户外灯具。其中,重点有两部分,其一是定义相对色温(CCT)的分级,其次是针对同一相对色温标称等级其允许的色温变异范围作定义。
规范中所述固态照明的光色规格要求,源自于荧光灯的光色分级规格,但有鉴于固态照明尚处于起步阶段,未如荧光灯发展已趋于成熟,因此在定义光色要求时,采取较大的变异范围。目前规范对固态照明灯具区分为八个色温等级,分别为2700K、3000K、3500K、4000K、4500K、5000K、5700K及6500K(图2)。

图2 八个相对色温指定值在CIE 1931之区域定义
图2中六个椭圆区块为ANSI C78.376定义荧光灯的色温等级区块,其所采取的色温允许变异范围为七阶MacAdam椭圆范围。对于固态照明,将允许变异范围加大,图2中的八个菱形区块即为固态照明的八个色温等级色度坐标(x,y)范围。色温分级有助于固态照明供货商及使用者有共同的色温标准语言。另外,此规范也定义演色性(Color Rendering Index, CRI),作为评估固态照明光色特性的另一指标。对于量测光色特性的方式,则对应到LM-79规范。
[page]
固态照明不适用传统量测 IESNA定义新方法
IESNA LM79-08于2008年公布,为测试方法的标准规范,内容针对固态照明的发光效率(单位:每瓦流明数(lm/W))、光通量(单位:流明(lm))、光强度的空间分布、色度、色差、光色空间均匀性、相对色温及演色性等进行量测方式与对应设备要求定义。
先前传统照明多是将灯具及光源分开量测,但固态照明可能出现灯具及光源合为一体的情况,因此原先针对传统照明定义的规范并不适用。IESNA特别制定此规范,希望藉由定义量测程序方法,将表现固态照明特性的参数,具有量测可重现性,并统一固态照明产品光电特性的量测手法,避免因量测方式不同造成争议。
该规范适用于以发光二极管(LED)为主包含电子控制装置及散热机构,且使用交流或直流电源驱动的固态照明产品。此规范所涵盖的固态照明产品是一个结合灯具与灯源的照明产品,如整合式LED灯泡,不包含须额外使用电子控制装置或散热机构(如LED芯片、LED组件及LED???的固态照明产品,也不涵盖供LED光源使用但不包含LED光源贩卖形式的灯具。另外,此规范也不适用于确定个体间产品性能的差异。
测试环境温度须控制
此份规范定义量测时的环境温度为25±1℃,且量测时,温度量测点须距离灯具1公尺内,高度须与灯具同高并避免光源的辐射热影响。量测时固定灯具的治具,也须避免热传导及阻碍空气的自然流动。此外,此规范量测的光电性能,不须将灯源或灯具进行1,000小时的点灯后才进行测试。
为确保待测灯具在测试过程中是稳定的,测试前灯具须进行热灯动作,使温度达到平衡,热灯时间则依灯具而定,如整合式LED灯泡约需30分钟就能达到平衡,大型灯具可能需1小时或更久的时间。
是否达到稳定的标准,可用光源输出如固定点的光强度或消耗功率的表现来判定。若热灯30分钟,在15分钟内至少取三个量测值,将最大值减最小值的差除以平均值,结果须小于0.5%,如此可判别灯具是否已热机完成,实际热灯时间须于检测报告中注明。量测过程中灯具的摆放方式须为灯具在正常使用下的姿态。
此份规范定义两种光通量的量测系统方法,一是使用积分球系统,另一种则为使用配光曲线仪系统。使用哪种系统须依据所要量测的量(颜色、光强度分布)及待测样品尺寸等来决定。
积分球量测系统不需暗房条件
此方法适用于量测小尺寸固态照明灯具的全光通量及颜色特性,它的优点是快速、且不需暗房即可量测,在球内量测时空气的扰动可降低,但对于包含散热装置的整合式灯具就要注意散热导致温度的上升。
LM-79对于积分球的选用有几项重点:首先是积分球的尺寸应要够大,以避免灯体发出的热能使温度升高,以及因文件板及待测灯体自行吸收所导致的量测误差。另针对积分球的大小,若是量测小型灯泡(如传统灯泡、省电型灯泡),建议球体直径≧1公尺;量测4呎(约120公分)的荧光灯管、HID灯等较大灯型,建议球体直径≧1.5公尺;量测500W或更大功率的灯型,则建议球体直径≧2公尺。
规范中定义使用积分球各装置的几何架构如图3所示。共有两种,一种为4π,另一种为2π。在4π的几何架构,固态照明产品的总表面积不可超过球壁总面积的2%,例如,在一个2公尺积分球内,待测物若为一个球状物,其直径必须小于30毫米。若为线状产品,其纵向尺寸应小于球直径的三分之二。在2π架构,安装固态照明产品的开口直径应小于球直径的三分之一。另外固定灯具的治具不可导热,以避免影响球体温度。

图3 积分球装置之几何架构。(a)为4π架构,灯体放置于球体中心,(b)为2π架构,适用于前射发光型之光源,灯体放置于球体侧面。
内部涂层反射率则须达90~98%?;智蚰诘耐坎惴瓷渎式细?,于量测时可得到较高的讯号,且对于积分球内不均匀的空间响应及固态照明光强度分布变化所引起的误差也可降低。但反射率高时,球体开口尺寸大小对平均反射率的影响就须予以评估。
积分球内应装有辅助灯,其作用在于评估灯体自吸收的部分,以得到自吸收因子。档板大小应尽量缩小,但须能防止球体所允许量测最大尺寸灯体的光线直射侦测器。而文件板的放置位置,一般建议为从侦测器算起,介于球半径三分之一至二分之一长度的距离为文件板位置。另外辅助灯也须有档板,作用一样是避免光线直射侦测器。
[page]
测量全光光谱辐射通量的标准灯通常是石英钨丝白炽灯(图4)。它有较宽的连续光谱表现,因此用以校正可见光域的光谱辐射计。对于2π球体,仅需前半面发光的标准灯,作法可将石英钨丝白炽灯,加上反射罩使光线为前射型。对于4π球体,通常使用全向发光的标准灯,但也可用前射标准灯。

图4 常见用以校正用之石英钨丝白炽灯
须注意的重点为标准灯的点灯摆放位置将影响结果,也就是说,如果标准灯送往校正单位进行量测时,其摆放位置为何,在传递至待校正的系统时,标准灯摆放的方式要相同。另外对于待测光源的光型分布与标准灯的光型分布差异大时也会影响量测值,例如,待测光源是窄角光型的分布,但标准灯为全向近乎等量的光型分布,若以此种标准灯进行校正,再量测窄角光型灯源,结果必定差异很大,因此可准备多种光型分布的标准灯进行校正,以量测不同光型分布的待测样品。 以积分球形式量测可搭配两种侦测器,一种为V(λ)亮度计(积分球-亮度计系统),另一种为光谱辐射计(即光谱仪)(积分球-光谱辐射计系统)。
与亮度计共享可量测全光通量
积分球-亮度计系统所使用的V(λ)亮度计可用以量测全光通量,但对于亮度计探头上的滤片,其光谱响应S(λ)对人眼的明视觉光谱视效函数V(λ)匹配不佳时,将导致量测上的误差,尤其是固态照明为白光光源时,多以蓝光激发黄色荧光粉产生,在蓝光波段的视效函数匹配不佳时,差异的比例就会加大,图5即说明视效函数匹配问题。亮度计探头的光谱响应与V(λ)曲线不匹配的程度,CIE用来表示f''''''''''''''''1,f''''''''''''''''1值越小两者间不匹配的程度越小。另外,使用V(λ)亮度计为侦测探头时,无法进行光色特性的量测。

图5 白光LED多以蓝光激发黄色荧光粉,在蓝光波段(图中箭号表示)处,亮度计探头的视效函数(虚线表示)响应与CIE V(λ)匹配不佳时,差异的比例就会加大。
撘配光谱仪可消除V(λ)失匹配误差
由光度量定义,只要测出被测光源的光谱功率分布,再与V(λ)加权积分,就可以求出相对应的光度量,这种测量光谱光度量的方法为分光法。用分光法可以消除探头的V(λ)失匹配和被测光源与标准光源的光谱功率分布不一致所带来的误差。光源的光谱辐射功率分布由光谱辐射计测量,分光法测量光度量的精度主要取决于光谱辐射计的线性动态范围、重复性、光谱波长误差、杂散光和标定误差等。
藉由量得的光源光谱辐射功率分布即可进行光色特性数值的计算,包含色度、相对色温及演色性(CRI)。
此类系统必须参照一个有校准到全可见光域分光辐射通量标准灯来进行校正。其量测原理为通过与参照标准ΦREF (λ)比较,可得到被测固态照明产品的总分光辐射通量ΦTEST (λ),关系式如公式(1)。
………………公式(1)
公式(2)中,yTEST (λ)为待测样品在此系统下的光谱辐射计的读值、yREF(λ)为参照标准灯在此系统下的光谱辐射计的读值,α(λ)则为自吸收因子。
………………公式(2)
yaux,TEST (λ)为不点亮待测样品,点亮辅助灯,在此系统下的光谱辐射计的读值;yaux,REF (λ)则为不点亮参照标准灯,点亮辅助灯时,在此系统下的光谱辐射计读值。从测得的ΦTEST (λ)(单位:W/奈米)总分光辐射通量,可使用公式(3)计算总光通量 ΦTEST (单位:流明)。
………………公式、(3)
[page]
欲获得光源光型分布信息 非使用配光曲线量测不可
配光曲线量测系统可提供待测光源灯具光强度在空间中的分布,进而透过积分运算得到光通量,此时的光通量可经计算得到全光通量、区域光通量的信息。
此系统也可支持较大型灯具量测。配光曲线量测系统须有暗房、良好的环境温度控制及避免空气扰动,尤其对于对温度敏感的固态照明灯具尤其重要。因配光曲线仪为量测空间中各点的光强度值再进行运算,相较于积分球,配光曲线量测系统的量测很耗时,但对于必须得知光源光型分布的情况,就不得不使用此系统来量测。
配光曲线量测系统所使用的侦测器与前面所述积分球量测系统一样,可搭配亮度计或光谱辐射计进行量测,于是配光曲线仪-亮度计系统及配光曲线仪-光谱辐射计系统应运而生。LM-79特别要求使用亮度计的f''''''''''''''''1须小于3%。不论是哪种系统都是量测灯源各方向的光强度值,再进行积分而得出光通量值。特别的是,若须要得知各角度的颜色分布,如能源之星针对固态照明要求量测各角度的光色差值时,就一定要使用光谱辐射计,才可得知待测灯源的光色特性。
C-γ配光曲线仪符合LM-79规范
配光曲线仪可分为A-α、B-β、C-γ三种形式,详见图6~8。为确保量测时的光源摆放姿态即为使用时的姿态,仅有C-γ符合需求,LM-79因此规定仅可使用C-γ形式的配光曲线仪。C-γ型配光曲线仪包含移动侦测器探头及移动反光镜的类别。

图6 配光曲线仪A-α量测形式示意图

图7 配光曲线仪B-β量测形式示意图
[page]

图8 配光曲线仪C-γ量测形式示意图
对于大型灯具,若要符合侦测位置须达最大发光尺寸直径十倍距离远的要求(LM-79第10.0节说明宽发光角光源为五倍,窄角光源须更远),碍于实际执行空间的限制,便必须使用反光镜。此时应注意镜子本身存在一轻微极化的因素,若量测发出极化光源的固态照明产品的光通量时,就会造成很大的误差,因此推荐使用不带镜子的配光曲线仪。有些配光曲线仪会在旋转背上直接装设侦测器,如此即不须透过反光镜,当然,若灯具过大则无法使用。
此外,也须注意配光曲线仪在环境杂散光的处理。包含灯具光源在机构件上的反光、灯具本体的反光、地面墙面反光等,都应加以评估并使用适当的架构,如在侦测期前装置光陷阱(Light Trap)避免反射杂光进入侦测器,影响量测值。
配光曲线仪架构发展久远
藉由量测光强度分布I(θ,Φ)如图9所示,光通量可由公式(4)求得。若以亮度探头量测照度值E(θ,Φ)进行校正,光通亮的计算方式可由公式(5)计算出来。其中γ为相对于亮度探头参考平面的旋转半径。量测光强度时,γ须要有足够的长度。
………………公式(4)
………………公式(5)

图9 配光曲线仪测试光通量示意图
常见几种配光曲线仪的运作架构,有中心旋转反射镜式及圆周运动反射镜式。这两种架构都已有几十年的历史了,中心旋转反射镜式其运作方式如图10,待测灯具必须在相当大的空间范围内绕着反射镜反向且同步旋转,在暗室中上部温度高及下部温度低的现象,温差有时达到2~5℃,此时对温度变化和气流敏感的灯具如固态照明灯具,极可能出现不稳定的现象,为降低气流流动对灯具的影响,在运行时须放慢速度,量测时间也就增加了。

图10 中心旋转反射镜式之配光曲线仪架构示意
[page]
圆周运动反射镜式其运作方式如图11,待测灯仅自转不须做大范围的绕行,相对于中心旋转反射镜式的配光曲线较为稳定,但根据CIE-70的规定,入射到侦测器的主光线应被限制在2.5度内,因此须要将量测距离拉长才可满足此要求,但对于光线较弱的小型光源,如此长的量测距离,可能受限侦测器的灵敏度,不易量测。

图11 圆周运动反射镜式之配光曲线仪架构示意
工研院量测中心目前使用配光曲线仪为图12的架构,灯具仅缓步自转,且量测时灯具为使用时的摆放姿态,稳定性佳。量测时有两种模式,一为透过双面反射镜提供大型灯具的远距离量测;另一模式不透过反射镜提供小型灯具如嵌灯、E27灯等的近距离(约1公尺)的量测。

图12 工研院量测中心之配光曲线仪及其量测光源路径示意
配光曲线仪的校正
使用配光曲线仪进行光强度分布的测试,须使用照度或光强度标准灯进行国际标准追溯。若量测全光通量则须使用全光通量标准灯进行标准追溯,原则上标准灯的光型分布建议与待测灯源的光型相似。
LM-79特别说明使用配光曲线仪量得的光强度分布数据,须依照IES LM-63规范定义的格式,形成IES电子文件,以方便后续于照度分度上的模拟计算使用。
发光效率ηv的计算如下列公式(6)所述,为待测固态照明产品的总光通量ΦTEST除以总消耗功率PTEST,此指标是用以评估固态照明电光效能转换的重要指标。
………………公式(6)
固态照明在颜色特性的量测上包含色度坐标、相对色温、演色性,对于固态照明其颜色特性在不同的空间角度可能是不同的,LM-79规范在第12.1至12.2节当中进行定义。
第12.1节为使用积分球-光谱辐射计系统进行分光辐射通量的量测,再计算出颜色特性,此时量得的固态照明颜色特性为空间分布的平均表现。
第12.2节为使用前述配光曲线仪的机构方式,搭配光谱辐射计或是色度计进行空间颜色特性分布量测。这个方式适用于无法使用积分球进行量测,如大型灯具。重要的是,此方法可量得固态照明光源的空间颜色差异。若要得到空间平均的颜色特性,就将空间中各点的颜色数据进行平均即可得到。
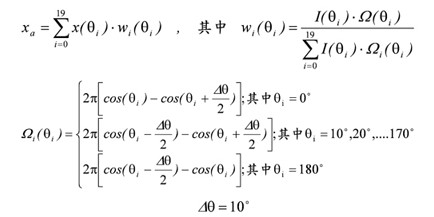
在量测θ=0°和90°(或更多的θ角)的色度坐标和光强度时,首先在每个θ角上取平均,表示为x(θi)、y(θi)以及I(θi),这里的θi=0°、10°、20°等直到180°。然后平均色度坐标xa由下列加权平均式子算出,量测示意图如图13。

图13 图中为使用配光曲线仪量测固态照明颜色特性示意图,该灯具为仅朝下半面发光之形式。
[page]
………………公式(7)
平均色度坐标ya 也是使用相同的算法。此计算方式是近似算法但对于实际应用已算是足够正确。严格说来,若要很精确的进行颜色特性的空间积分须要经由三刺激值计算X、Y、Z。
在使用光谱辐射计进行颜色特性的量测时,LM-79定义光谱辐射计的量测波长范围至少为380~780奈米,这是可见光的波长范围,扫描间隔为5奈米或是更小的间距,如此才可确保量测的精确性。
在两个空间垂直平面(ψ=0o,ψ=90o)量测,空间平均色度坐标是由前述公式(7)取得。LM-79中所定义的固态照明灯具空间色差Δu''''''''''''''''v''''''''''''''''为从计算空间平均色度坐标的所有量测点中,对空间平均色度坐标的最大差异(即在CIE(u''''''''''''''''v'''''''''''''''')坐标图中,两点间最大距离)所决定的。
量测方法一致性可推动产业发展
固态照明的发展目前正如火如荼的进行,为使固态照明取代传统照明能顺利推动,美国能源之星正积极展开相关计划,期望藉由对固态产品特性量测方式定义的一致性,使产品能有一致的手法来评估,而得以分出固态照明产品的优劣,使此产业有正向推动力。国内业者要推动固态照明产业除了国内内需市场、大陆市场,另一部分应是欧美市场。而了解能源之星对固态照明的验证量测方法并进行测试验证,将有助于质量的提升。



